Kindertagespflege in Sachsen

Lexikon von A-Z

A
A - Ahnert, L.; Supper, B.
Titel: Parenting & Co-Parenting unter Einbeziehung der Studie Stendaler Tagesbetreuung und der Wiener Krippenstudie
Autor: Ahnert, L.; Supper, B.
Quellenangabe: Ahnert, L.; Supper, B. (2012): Studie der Universität Wien, AB Entwicklungspsychologie Parenting & Co-Parenting unter Einbeziehung der Studie Stendaler Tagesbetreuung und der Wiener Krippenstudie


In der Studie "Parenting & Co-Parenting" wurden Familien einbezogen, deren Kinder zu Hause betreut werden, aber auch Familien deren Kinder in Kindertagespflege betreut werden. Untersucht werden sollte bei diesen Kindern, wie ihre Entwicklung vor allem im kognitiven und kommunikativen Bereich verläuft. Dabei sollte ein Vergleich zwischen der Betreuung zu Hause und in der Kindertagespflege erzielt werden.

Folgende Ergebnisse konnten dabei gewonnen werden:

  1. Entwicklungsangemessene Kleinkindbetreuung zeichnet sich durch Anregung, Geborgenheit und Strukturiertheit aus.

  2. Kleinkindbetreuung muss an den natürlichen kindlichen Kompetenzen und Lernfähigkeiten anknüpfen und eine stabile Gefühlswelt entwickeln. Weiterhin bedarf es vorhersehbarer Tagesabläufe.

  3. Interaktionsprozesse stehen im Mittelpunkt, die zu Bindungsbeziehungen führen.

  4. Zu Kindertagespflegepersonen entwickeln Kleinkinder häufiger sichere Beziehungen als zu Erzieher:innen in Krippen.

  5. Emotionale Sicherheit, Explorationsunterstützung, individualisierte Kommunikationsabläufe und Körpernähe erfahren Kleinkinder ausgeprägter in der Kindertagespflege als in Krippen. Jungen sind danach in Krippen besonders benachteiligt.

  6. Kleinkinder entwickeln ihre Kompetenzen zügiger in Kindertagespflege als in Krippen.

  7. Bessere Absprachen (zwischen Eltern und ihrer Kindertagespflegeperson bzw. Erzieher:in) sind mit besserer Verhaltensanpassung verbunden.


Bild_Broschüre_Wenn_private_Betreuung

Als Referentin gestaltete DDr. Liselotte Ahnert den Fachtag der Informations- und Koordinierungsstelle Kindertagespflege in Sachsen (IKS) 2012 unter dem Titel "Wenn private Betreuung öffentlich wird – Spannungsfelder zwischen privatem Raum, Selbstständigkeit und öffentlicher Förderung" mit. Zu diesem Fachtag stellte sie Ergebnisse ihrer Studie "Parenting & Co-Parenting" vor.




Bild_Ahnert_Studie_Info
Weitere Informationen zur Studie finden Sie im Download der PowerPoint von DDr. Lieselotte Ahnert

A - Aktionsplan der Sächsischen Staatsregierung zur Umsetzung der UN-Behindertenrechtskonvention (UN-BRK)
Link: https://publikationen.sachsen.de/ bdb/artikel/11025/documents/41022
Abkürzung: SLAP
Ausfertigungsdatum: 2016
Stand: Version 1.0


Weitere Informationen zum Aktionsplan der Sächsischen Staatsregierung zur Umsetzung der UN-Behindertenrechtskonvention (UN-BRK) finden Sie auf der Internetseite des Freistaates Sachsen

A - Aktuelle Empfehlungen des Landesjugendamtes und andere Arbeitshilfen für die Praxis
Link: https://www.kita-bildungsserver.de/wp-content/themes/kbs/inc/dokumente_zum_download_ausliefern.inc.php?did=1342
Ausfertigungsdatum: 16.03.2011
Vollzitat: Kindertagespflege im Freistaat Sachsen. Aktuelle Empfehlungen des Landesjugendamtes und andere Arbeitshilfen für die Praxis
A - Alltag in der Kindertagespflege

Der Alltag in der Kindertagespflege folgt den Bedürfnissen der Kinder. In der Regel beginnt der Tag mit einem ruhigen Ankommen und einem gemeinsamen Frühstück in vertrauter Atmosphäre. Je nach Alter des Kindes wechseln Ruhephasen und Aktivitäten. Kinder lernen im Entdecken und Erkunden, vor allem im freien Spiel. Angebote die sich an dem aktuellen Entwicklungsstand und dem momentanen Interesse der Kinder orientieren, wecken ihre Neugier und Unterstützen ihre Entwicklung. Dabei gilt der Grundsatz "Weniger ist mehr". Auch der Aufenthalt im Freien gehört zum festen Bestandteil des Tages. Der Alltag ist durch ständig wiederkehrende Abläufe an einem Tag (Ankommen, gemeinsames Frühstück, freie Spielzeit, Angebot, Aufenthalt im Freien, gemeinsames Mittagessen, Mittagsschlaf, Spiel bis zum Abholen), innerhalb einer Woche (Sport, Musik,…) bzw. durch jahreszeitliche Rituale (Geburtstage, Feiertage, Ausflüge…) gekennzeichnet. Dies vermittelt Kindern Sicherheit und Geborgenheit, da sie eine Regelmäßigkeit erkennen können. Durch die kleine Kindergruppe ist die Betreuung sehr individuell. Es besteht eine familienähnliche Atmosphäre, in der Kinder auch Hilfsbereitschaft und erste Momente der Verantwortung für kleinere Aufgaben erleben. Lern- und Spielsituationen werden in einer Kindertagespflegestelle nicht künstlich erzeugt, der familienähnliche Alltag, als lebensechtes Lernumfeld, bietet dafür optimale Voraussetzungen.

Bildhafte Eindrücke erhalten Sie in der Dokumentation "Aus dem Alltag einer Tagesmutter. Farben und Färben" einer Tagesmutter aus Leipzig.

Informationen zum alltagsnahen Lernen in der Kindertagespflege finden Sie auf unserer Website im Menüpunkt Wissenswertes unter Alltagsnahes Lernen – „Wie im richtigen Leben…“.

A - Alltagsnahes Lernen – „Wie im richtigen Leben…“

„Es ist 7:00 Uhr. In der Kindertagespflegestelle ist bisher nur Martin da. Wir sind noch in der Küche. Martin hat großes Interesse an den leeren Vorratsdosen. Wie sind sie sortiert? Wie passen sie ineinander? Geht das auch anders? Wie hält der Deckel?Martin, 2 Jahre, sitzt vor dem Küchenschrank, hat die Tür offen und benutzt alle Dosen im Fach. Er weiß, dass er nur diese Dosen aus dieser Tür nehmen darf. Er ist vollkommen vertieft in sein Probieren. Ganz vorsichtig versucht er jede Dose einzeln zu verschließen. Das ist nicht einfach, weil der Deckel vier Mal umgebogen werden muss. Seine kleinen Hände haben viel Kraft. Ich bereite in der Zeit etwas für das Mittagessen vor. Es ist jeden Morgen die kurze Zeit, die wir allein sind. Dabei bin ich aufmerksam für das, was Martin macht. Mit Fragen und Erstaunen unterstütze ich sein tun. An seinen Augen und dem Gesichtsausdruck sehe ich seine Aufmerksamkeit, sein Anstrengen und die Freude, wenn er etwas geschafft hat.“ (Aus dem Tagebuch einer Tagesmutter)

Ein Beispiel für alltagsnahes Lernen, man könnte auch natürliches Lernen sagen. Das Lernen, was einfach passiert, ohne dass künstlich eine Bildungssituation geschaffen wird. Lebensnahes Lernen heißt, dass sich Bildungssituationen in der Kindertagespflege im Alltag mit den Kindern ergeben. Die Schwierigkeit besteht darin, sie zu entdecken, zu verstehen und die Kinder dabei angemessen zu begleiten. Die Situation ist ein Beispiel für die besondere Struktur der familiennahen Kindertagespflege. Nähere Informationen dazu finden Sie im Menüpunkt Wissenswertes unter Familiennahes Profil (Besonderheiten)

Bildungsgelegenheiten im Alltag der Kindertagespflege können sein:

  • Einkaufen
  • Essen zubereiten
  • Wäsche aufhängen
  • Essen einnehmen, Füttern
  • Körperpflege, Wickeln, Hygiene
  • An- und Ausziehen

Was ein Kind zum Lernen braucht:

  • Geborgenheit, sich behütet fühlen
  • den kindlichen Fähigkeiten angemessene Herausforderungen
  • den kindlichen Fähigkeiten angemessene Begleitung, wenn nötig Hilfestellung, Unterstützung
  • angemessenes Verhältnis zwischen Herausforderungen und Wiederholungs-/Übungsphasen
  • Beteiligungsmöglichkeiten, Selbstwirksamkeitserfahrung
  • verbale Begleitung der Handlung (Handlung verbalisieren, Wertschätzung und Bestärkung geben)
  • nonverbale Begleitung der Handlung (Blickkontakt, Wertschätzung)
  • Nähe der Bezugsperson
  • Zulassen der kindlichen Autonomie
  • Einräumen der benötigten Zeit für das Kind und seine Handlung
  • Vorbild

Kinder lernen im Entdecken, Erkunden und Spielen, vor allem im freien Spiel. Angebote die sich an dem aktuellen Entwicklungsstand und dem momentanen Interesse der Kinder orientieren, wecken ihre Neugier und Unterstützen dabei ihre Entwicklung. Dabei gilt der Grundsatz "Weniger ist mehr". Lern- und Spielsituationen werden in einer Kindertagespflegestelle nicht künstlich erzeugt, der familienähnliche Alltag, als lebensechtes und anregendes Lernumfeld, bietet dafür optimale Voraussetzungen. Gabriel Schoyerer betont an dieser Stelle besonders, den „[…] aktiven Einbezug der betreuten Kinder in die Handlungszusammenhänge […]“ sowie den „Ernstcharakter“ der Lernsituationen in der Kindertagespflegestelle und meint damit, dass Lernsituationen nicht künstlich geschaffen, sondern innerhalb der Kindertagespflegestelle durch den Raum, die ggf. weiteren Familienmitglieder, vorhandene Haustiere, zu erfüllende Aufgaben etc. vorhanden sind und damit einen „Gesamtzusammenhang“, eine ganzheitliche Lernsituation schaffen (Schoyerer 2014: 170 – 171). „Dieser Charakter muss auch bei der Nutzung „anderer kindgerechter Räumlichkeiten“ erhalten bleiben.“ Sächsisches Staatsministerium für Kultus 2013: 14

Elisabeth C. Gründler weißt in ihrem Buch „Rohstoff Intelligenz“ darauf hin, dass ein Kind dann am besten lernt, wenn es aus eigenem Antrieb und im eigenen Rhythmus aktiv ist. (Gründler 2008: 8) In der Kindertagespflege ist der Familienalltag und Haushalt lebensnaher Bildungs- und Erfahrungsort für die Kinder.

Durch die Bildungsdirektion des Kanton Zürich finden Sie auf der Internetseite: http://www.kinder-4.ch/de/home Kurzfilme zum Thema frühkindliches Lernen im Alltag. Zusätzlich zu jeder kurzen Filmsequenzen erhalten Sie eine entsprechenden Erläuterungen zum anhören und/oder nachlesen, weiterhin steht ein Begleitheft zu den Filmen bereit.

Bereits eine gemeinsame Mahlzeit bietet zahlreiche Bildungsaspekte, welche Sie auch im Sächsischen Bildungsplan finden:

Somatische Bildung – Leitbegriff: Wohlfühlen

  • Ist die Atmosphäre dem Kinder entsprechend, angenehm und ruhig?
  • Fühlt sich das Kind wohl?
  • Werden seine Bedürfnisse wahrgenommen?
  • Passt der Stuhl, der Tisch, der Platz des Kindes?
  • Ist das Geschirr angemessen?
  • Kann sich das Kind alleine bedienen?
  • Kann es alleine essen?
  • Wo braucht es Unterstützung? Wo benötigt es Zuspruch?

Soziale Bildung – Leitbegriff: Beteiligung

  • Wie beteilige ich die Kinder?
  • Beteiligung beginnt bereits bei der Überlegung:
    • Wo gehen wir einkaufen?
    • Was essen wir in der Woche?
    • Welches Ritual nutzen wir vor dem Essen - ein Gedicht, ein Lied? Wie und von wem wird dieses ausgewählt?
  • Was können sie allein?
  • Wo wollen sie helfen - beim decken des Tisches, beim Zubereiten der Speisen?
  • Welche Bedürfnisse haben die Kinder?
  • Wie ermutige ich sie aktiv zu werden?

Kommunikative Bildung – Leitbegriff: Dialog

  • Wie kommen wir in Kontakt?
  • Wie kommen wir ins Gespräch?
  • Was kann mit den Kindern für die Vorbereitung einer gemeinsamen Mahlzeit geplant und besprochen werden?

Ästhetische Bildung – Leitbegriff: Wahrnehmung

  • Wie und was nehmen wir wahr?
  • Wie sieht der Tisch aus?
  • Wie sieht das Essen aus?
  • Insbesondere beim Essen sind alle Sinne beteiligt:
    • Gleichgewichtssinn (Löffel zum Mund führen)
    • Spüren/Tasten/haptische Wahrnehmung (Form, Konsistenz, Temperatur)
    • Sehen (Farben und Formen der Lebensmittel)
    • Schmecken (süß, sauer, salzig, bitter, umami)
    • Hören (Knacken einer Karotte)

Naturwissenschaftliche Bildung – Leitbegriff: Entdeckung

  • Welche Möglichkeiten bietet das Essen/die Mahlzeit, um Neues zu entdecken?
  • Gerade in Bezug auf das Essen bieten sich vielfältige Entdeckungsmöglichkeiten:
    • Kennenlernen und Probieren neuer Lebensmitteln
    • Der gemeinsame Einkauf.
    • Die gemeinsame Verarbeitung bzw. Zubereitung.
    • Die Kinder erfahren: Was schmeckt mir? Was esse ich gerne? Was kann man essen? Wo kommen die Lebensmittel her? Wie wird es zubereitet?

Mathematische Bildung – Leitbegriff: Ordnen

  • Wie viele Teller müssen auf den Tisch gestellt werden?
  • Wie können Lebensmittel und Zutaten zum Beispiel für einen Kuchenteig abgewogen werden?
  • Welche geometrischen Formen haben die Lebensmittel?
  • Wie kann ich vergleichen – Ist in der Milchpackung noch etwas?

Literatur:
Gründler, E. C. (2008): Rohstoff Intelligenz. Frühkindliche Bildung. 1. Aufl., Berlin, Düsseldorf, Mannheim: Cornelsen.
Sächsisches Staatsministerium für Kultus (2013): Qualitätskriterien für die Kindertagespflege im Freistaat Sachsen.
Schoyerer, G. (2014): Kindertagespflege zwischen Anspruch und Wirklichkeit. Pädagogische Orientierungen in der Fachberatung. Marburg: Tectum Verlag.

A - Altersgrenze

Eine generelle Altersgrenze für das Ausüben der Tätigkeit als Kindertagespflegeperson kann es aufgrund des Grundrechtes der Berufsfreiheit gemäß Art. 12 GG nicht geben. Alleiniges Kriterium bildet die fachliche, persönliche und gesundheitliche Eignung, welche durch das zuständige Jugendamt geprüft wird. Wurde eine Eignung erteilt, erlischt diese nicht automatisch beim Erreichen eines gewissen Alters. Details zur Erteilung einer Eignung finden Sie im Menü Wissenswertes unter Eignung.

Liegen Anhaltspunkte vor, dass die Eignung aus jedweden Gründen infrage gestellt werden muss, kann diese durch das zuständige Jugendamt überprüft werden. Dies betrifft:

  • Kriterien, die das erweiterte Führungszeugnis (gemäß § 3 SächsQualiVO und das Gesundheitszeugnis (gemäß § 3 SächsQualiVO) betreffen,
  • Mitbringen persönlicher Voraussetzungen in Beziehung zu Kindern und Erwachsenen sowie persönliche Eigenschaften und Fähigkeiten (gemäß § 23 Abs. 3, § 43 Abs. 2 SGB VIII),
  • allgemein geordnete Lebenssituation,
  • gute sprachliche und kognitive Fähigkeiten,
  • Zuverlässigkeit, Belastbarkeit, Flexibilität,
  • Toleranz gegenüber anderen Lebensstilen,
  • Erziehungskompetenz und Freude am verantwortungsbewussten, einfühlsamen Umgang mit Kindern,
  • Achtung und Interesse gegenüber Kindern,
  • Erkennen und Eingehen auf die individuellen Bedürfnisse der Kinder,
  • Absicherung einer kindgerechten Ernährung,
  • Bereitschaft und Fähigkeit zur kooperativen Zusammenarbeit mit den Eltern,
  • Kritikfähigkeit und konstruktiver Umgang mit Konflikten,
  • Reflexion des eigenen Handelns,
  • Kooperationsbereitschaft mit dem örtlichen Jugendamt und ggf. dem Träger der freien Jugendhilfe,
  • Bereitschaft zur Teilnahme an Qualifizierungsmaßnahmen, Fortbildungen und zum Erfahrungsaustausch mit anderen Kindertagespflegepersonen.

(Quelle: Empfehlung des Landesjugendamtes Sachsen zu Leistungen der Jugendhilfe in Form von Kindertagespflege 3. Fortschreibung)

Die Festlegung von Altersgrenzen ist unwirksam. "Die 4. Kammer des Verwaltungsgerichts Magdeburg hat mit Urteil vom 10.10.2012 entschieden, dass eine Tagespflegeperson auch nach Vollendung des 65. Lebensjahres für die Kindertagespflege geeignet sein kann (Az. 4 A 169/12 MD). Eine kommunale Richtlinie, wonach eine Pflegeerlaubnis bis zur Vollendung des 65. Lebensjahres befristet wird, stellt nach Ansicht der Richter einen unzulässigen Eingriff in das Grundrecht der Berufsfreiheit nach Art. 12 Abs. 1 GG dar. § 43 SGB VIII sehe keine Altersgrenze vor, deren Überschreitung einen Versagungsgrund für die Erteilung der Tagespflegeerlaubnis darstellt. Es gebe auch keinen allgemeinen Erfahrungssatz, dass Betreuungspersonen nach Überschreitung des 65. Lebensjahres nicht mehr über die zur Ausübung der Kindertagespflege hinreichende psychische Belastbarkeit verfügen." (Quelle: https://www.tagespflege-online.de)

Weitere Kriterien für die Eignungsfeststellung finden Sie in den Qualitätskriterien für die Kindertagespflege im Freistaat Sachsen.

A - Alterssicherung

Personen, die Kindertagespflege gemäß § 3 Abs. 3 SächsKitaG sowie § 23 SGB VIII anbieten, haben Anspruch auf Erstattung der hälftigen Beiträge zur Alterssicherung, wenn die Kosten als angemessen gelten. Diese Erstattung ist nach § 3 Nr. 9 EStG steuerfrei.

Maßstab für die Angemessenheit bildet der Beitragssatz der gesetzlichen Rentenversicherung. Den aktuell erstattungsfähigen Jahresbeitrag finden Sie unter Download der aktualisierten Versicherungsbeiträge.

Auch private Vorsorge ist unter Umständen nach individueller Entscheidung teilweise erstattungsfähig. Das Bundesverwaltungsgericht stellt in einem Urteil fest, dass auch eine Lebensversicherung, unter bestimmten Umständen als Alterssicherung anerkannt werden kann.

Rentenversicherung bei selbständiger Tätigkeit mit zu versteuerndem Einkommen von über 400,00€

Selbständig tätige (öffentlich geförderte und private) Kindertagespflegepersonen haben gemäß § 2 Satz 1 Nr. 1 SGB VI eine Versicherungspflicht in der gesetzlichen Rentenversicherung, wenn sie im Zusammenhang mit ihrer Tätigkeit als Kindertagespflegeperson keine:n versicherungspflichtige:n Arbeitnehmer:in beschäftigen.

Nach Aufnahme der Tätigkeit muss innerhalb von 3 Monaten eine Anmeldung bei der gesetzlichen Rentenversicherung erfolgen.

Beiträge werden in Höhe des Regelbetrages erhoben. Bei Nachweis des tatsächlichen Einkommens kann eine einkommensgerechte Beitragsbemessung beantragt werden.

Rentenversicherung bei selbständiger Tätigkeit mit zu versteuerndem Einkommen von 400,00€ und weniger

Es besteht keine Versicherungspflicht in der gesetzlichen Rentenversicherung. Jedoch ist eine freiwillige Versicherung in der gesetzlichen Rentenversicherung sowie eine private Absicherung möglich. Bei Angemessenheit der Beitragshöhe sowie der Art der Alterssicherung ist eine hälftige Erstattung der Kosten gemäß § 23 Abs. 2 Nr. 3 SGB VIII möglich.

Rentenversicherung der Kindertagespflegeperson bei Tätigkeit im Anstellungsverhältnis

Kindertagespflegepersonen innerhalb eines Anstellungsverhältnisses haben gemäß § 2 Satz 1 Nr. 1 SGB VI eine Versicherungspflicht in der gesetzlichen Rentenversicherung. Entsprechend der Höhe des Verdienstes übernehmen Arbeitgeber:innen und Angestellte je zur Hälfte die Beiträge der gesetzlichen Rentenversicherung bzw. bei geringfügiger Beschäftigung (bis 400,00 €) wird der Rentenversicherungsbeitrag allein durch die:den Arbeitgeber:in als Pauschale beglichen.

Verantwortlichkeiten

Bei Anstellung durch einen Träger/eine:n Arbeitgeber:in liegt die Verantwortung unter anderem für die Beitragszahlungen in die Rentenversicherung beim Arbeitgeber.

Bei selbstständiger Tätigkeit sorgt die Kindertagespflegeperson eigenständig für die Abschlüsse und Beitragszahlungen in die Pflichtversicherungen (unter anderem Rentenversicherung).

Ausführliche Hinweise zu Versicherungen können Sie in den "Fakten und Empfehlungen zu den Neuregelungen in der Kindertagespflege" nachlesen.

A - Amtshilferichtlinie Umsetzungsgesetz
Link: https://www.bgbl.de/xaver/bgbl/start.xav?start=%2F%2F%5B%40attr_id%3D%27bgbl113s1809.pdf %27%5D#bgbl%2F%2F%5B%40attr_id%3D%27bgbl113s1809.pdf %27%5D__1637328974583
Abkürzung: AmtshilfeRLUmsG
Ausfertigungsdatum: 26.06.2013
Vollzitat: Gesetz zur Umsetzung der Amtshilferichtlinie


Das Amtshilfsrichtlinein-Umsetzungsgesetz beinhaltet die Einführung eines neuen elektronischen Datenvermittlungsverfahrens ab dem Veranlagungszeitraum 2016. Das Gesetz soll sicherstellen, dass steuerfreie Zuschüsse zu Vorsorgeaufwendungen (besonders Beiträge zu Kranken-, Pflege- und Rentenversicherung sowie der Erstattung dieser Beiträge) steuerlich zutreffend erfasst werden.

Hier finden Sie eine Übersicht, welche alle wesentlichen Informationen anschaulich zusammenfasst.

A - Anforderungen an die Lebensmittelhygiene in Zusammenhang mit der Prüfung bzw. Erteilung der Erlaubnis für Kindertagespflegepersonen
Link: https://iks-sachsen.de/wissenswertes/a/_a-anforderungen-an-die-lebensmittelhygiene-in-zusammenhang-mit-der-pruefung-bzw-erteilung-der-erlaubnis-fuer-kindertagespflegepersonen/2f15c87432aa72fabd5497cb017192b0.pdf
Ausfertigungsdatum: 08.05.2017
Vollzitat: Information des Sächsischen Staatsministeriums für Kultus und Sport Anforderungen an die Lebensmittelhygiene in Zusammenhang mit der Prüfung bzw. Erteilung der Erlaubnis für Kindertagespflegepersonen - Merkblatt über Lebensmittelhygiene in der Kindertagespflege
A - Anwendung §§ 33-35 und 42-43 Infektionsschutzgesetz in der Kindertagespflege und für pädagogische Fachkräfte in Kindertageseinrichtungen
Link: http://www.kita-bildungsserver.de/downloads/download-starten/?did=652
Ausfertigungsdatum: 01.07.2010
Vollzitat: Anwendung §§ 33-35 und 42-43 Infektionsschutzgesetz in der Kindertagespflege und für pädagogische Fachkräfte in Kindertageseinrichtungen


Neuregelungen im Infektionsschutzgesetz - Stand 09/2017

Mit der Veränderungen des § 34 Absatz 10a des Infektionsschutzgesetzes werden die Leitungen von Kindertageseinrichtungen verpflichtet, das Gesundheitsamt zu benachrichtigen, wenn Eltern bzw. Personensorgeberechtigten keinen Nachweis über eine ärztliche lmpfberatung vorgelegt können. Nach Aussagen des Sächsischen Staatsministeriums für Kultus trifft diese Neuregelung nicht auf die Kindertagespflege zu.

A - Arbeitslosenversicherung

Gemäß § 28a SGB III ist es möglich, als selbständig tätige Person bei einer Wochenarbeitszeit von mind. 15 Stunden einen Antrag auf eine freiwillige Weiterversicherung gegen Arbeitslosigkeit (Versicherungspflichtverhältnis auf Antrag - selbständige Tätigkeit) bei der Bundesagentur für Arbeit zu stellen.

Den aktuell erstattungsfähigen Jahresbeitrag finden Sie unter Download der aktualisierten Versicherungsbeiträge.

B
B - Bedarfsplanung

Gemäß § 8 Abs. 3 SächsKitaG gewährleistet "[...]der zuständige örtliche Träger der öffentlichen Jugendhilfe [...], dass in seinem Gebiet die nach § 3 erforderlichen Plätze in Kindertageseinrichtungen und Kindertagespflege bedarfsgerecht zur Verfügung stehen." Dabei ist zu beachten, dass Sorgeberechtigte zwischen verschiedenen Angeboten und Trägern wählen können, wozu neben der Wahl zwischen verschiedenen Kindertageseinrichtungen und deren Konzepten, auch Plätze in Kindertagespflege zur Auswahl stehen sollen.

Des Weiteren ist nach § 8 Abs. 3 SächsKitaG "[...]die Aufnahme einer Kindertageseinrichtung oder Kindertagespflegestelle in den Bedarfsplan [...] Voraussetzung für die Finanzierung nach §§ 13, 14 Abs. 1 bis 4 und Abs. 6 sowie §§ 15 bis 20" SächsKitaG. Die Aufnahme in den Bedarfsplan ist damit zwingende, aber auch ausreichende Voraussetzung für die staatliche Finanzierung. Die Finanzierungsvereinbarung nach § 14 Abs. 6 S. 2 SächsKitaG konkretisiert lediglich die Finanzierung und gibt Rechtssicherheit für die Beteiligten. Wird Kindertagespflege nach § 3 Abs. 3 SächsKitaG durch die Kommune angeboten, ist die Kindertagespflegestelle im Bedarfsplan der Kommune/des Landkreises aufgenommen und es erfolgt eine (Misch-) Finanzierung durch den Freistaat Sachsen, die Kommune und die Eltern. Ein Anspruch auf Finanzierung eines Bedarfsplanplatzes ergibt sich aus der tatsächlichen Betreuung eines Kindes.

Aufgenommen in den Bedarfsplan wird gemäß § 8 Abs. 1 S. 3 SächsKitaG die Kindertagespflegestelle mit der Anzahl der Betreuungsplätze entsprechend der Erlaubnis. Dies erfolgt analog zur Anzahl der Betreuungsplätze in Kindertageseinrichtungen, welche durch die Betriebserlaubnis definiert werden. Da der örtlichen Trägers der öffentlichen Jugendhilfe einer Sicherstellungsverpflichtung nachkommen muss, sollen mögliche Ausfallzeiten von Kindertagespflegepersonen ebenso in die Planung einfließen, dies können beispielsweise Ersatztagespflegestellen oder Freihalteplätze sein (Quelle: Fortschreibung der Empfehlung des Sächsischen Landesjugendamtes zur Bedarfsplanung für Kindertageseinrichtungen und Kindertagespflege im Freistaat Sachsen).

Planungsgrundlage bildet § 80 SGB VIII sowie § 5 SGB VIII.

Um eine weitere Form der Kindertagespflege handelt es sich, wenn diese nach § 23 SGB VIII bereitgestellt wird und damit ein Angebot des örtlichen Trägers der öffentlichen Jugendhilfe und nicht der Kommune ist. Diese Betreuungsplätze spiegeln sich nicht im Bedarfsplan wider.

Weitere Informationen finden sich in der Fortschreibung der Empfehlung des Sächsischen Landesjugendamtes zur Bedarfsplanung für Kindertageseinrichtungen und Kindertagespflege im Freistaat Sachsen.

B - Beförderung mit dem Fahrrad

Beförderung mit dem Fahrrad in der Kindertagespflege

Quelle: Unfallkasse NRW

Das ist besonders wichtig:
Im Sinne des Förder- und Bildungsauftrages der Kindertagespflege ist die eigenständige Bewegung der Nutzung von Beförderungsmitteln vorzuziehen.
Die sichere Beförderung von Kindern mit dem Fahrrad bedarf einer guten Vorbereitung und deren Umsetzung.

Folgende Informationen mit Links zu weiterführenden Informationen können als pdf-Datei bei der Unfallkasse NRW heruntergeladen werden: Beförderung mit dem Fahrrad in der Kindertagespflege

Warum ist das Thema wichtig?

  • In der Regel zählen Ausflüge (z. B. zum Spielplatz, in den Wald oder zum Einkaufen) in der Kindertagespflege zu den in der Konzeption verankerten Bildungsangeboten.
  • Kindertagespflegepersonen benutzen für Ausflüge mit Tageskindern motorisierte und unmotorisierte Beförderungsmittel wie Fahrräder (mit Fahrradsitz/mit Fahrradanhänger) und Lastenfahrräder, um Wegstrecken (z. B. zum Spielplatz) bewältigen zu können.
  • Fahrräder werden im öffentlichen Verkehrsraum genutzt.
  • Fahrräder können eine hohe Geschwindigkeit erreichen, besonders beladen und bergab. Die Geschwindigkeit elektrischer Fahrräder wird unterschätzt.
  • Veränderte Fahreigenschaften, die durch die zusätzliche Last hervorgerufen werden, lassen sich nur schwer einschätzen und können besonders bei Kurven und bei schnellem Bremsen zur Gefahr werden.
  • Fahrräder können leicht umkippen.
  • Einspurige Lastenfahrräder können im Stand schneller kippen als mehrspurige Lastenfahrräder. Mehrspurige Lastenfahrräder können bei Kurvenfahrten schneller kippen.
  • Im Lastenfahrrad und im Fahrradanhänger können Kinder ggf. nicht in den Blick genommen werden.
  • Kleinkindern fehlt je nach Alter und Entwicklungsstand o ein Regelverständnis sowie ein Gefahrenbewusstsein.
  • Kleinkinder verfügen in der Regel noch nicht über einen großen Erfahrungsschatz im Straßenverkehr.
  • Fahrten mit dem Fahrrad erfordern besondere Achtsamkeit und Kompetenzen, da
    • Kinder in ihrem Verhalten nicht einschätzbar sind.
    • andere Verkehrsteilnehmer/innen in ihrem Verhalten nicht einschätzbar sind.
    • unvorhergesehene Situationen eintreten können.
    • die Kindertagespflegeperson vor Herausforderungen wie einer erhöhten Aufsichtspflicht und einer fremden Umgebung steht.
  • Beim Verlassen des vertrauten Umfeldes in eine neue unbekannte Situation und fremde Umgebung könnten der Kindertagespflegeperson und den Tageskindern Gefahrenquellen wie z. B. Baustellen, schlechte Wegbeschaffenheit, kritische Verkehrsführungen, Herausforderungen durch Jahreszeiten und Witterungen (u.a. Laub, Regen, Schnee, Glätte) begegnen.
  • Pkw-, Lkw- und Bus-Fahrende können Fahrradfahrende insbesondere im toten Winkel übersehen.
  • Die Einnahme von Medikamenten kann die Aufmerksamkeit verringern, Reaktionszeiten verlängern und zu Fehleinschätzungen von Gefahren führen.

Welche Gefährdungen sind möglich?

  • Stürze
  • Hinaus-/Hinabfallen
  • Quetschen/Klemmen (z. B. am Beförderungsmittel)
  • Verkehrsunfall

Handlungsanleitung für die Praxis

Allgemeines

  • Zu beachten sind die Vorgaben zur Personenbeförderung nach § 21 Abs. 3 Straßenverkehrs-Ordnung (StVO).
  • Die Kindertagespflegeperson ist aufgrund ihrer Physis und ihrer Fahrpraxis in der Lage, Kinder mit dem Fahrrad sicher zu befördern.
  • Die Eltern sind grundsätzlich schriftlich darüber informiert und damit einverstanden, dass ihr Kind von der Kindertagespflegeperson mit einem Fahrrad (mit Fahrradsitz/mit Fahrradanhänger/einem Lastenfahrrad) befördert wird.
  • Es wird nachdrücklich darauf hingewiesen, Kinder erst dann zu befördern, wenn sie in der Lage sind, selbstständig zu sitzen und ihren Kopf sicher zu halten.
  • Kindersitze sind entsprechend der Montageanleitung des Herstellers am Fahrrad angebracht.
  • Der Sitz des Kindes ist entsprechend der individuellen Entwicklung, der Größe und des Gewichtes des Kindes anzupassen.
  • Jedes Kind muss mit einem Gurtsystem in seinem Sitz gesichert sein.
  • Es dürfen nicht mehr Kinder befördert werden, als Sitzplätze und Gurtsysteme vorhanden sind.
  • Das Tragen eines Fahrradhelms wird der Kindertagespflegeperson aufgrund ihrer eigenen Sicherheit und ihrer Vorbildfunktion empfohlen.
  • Bei der Beförderung mit dem Fahrrad wird dringend empfohlen, dass jedes Kind durch einen Fahrradhelm geschützt ist. Der Helm entspricht der Kopfgröße des Kindes und sitzt wie vom Hersteller angegeben.
  • Damit die Helme nicht zur Strangulationsgefahr werden, sorgt die Kindertagespflegeperson dafür, dass die Fahrradhelme abgesetzt werden, sobald sie am Ziel (z. B. Spielplatz) angekommen sind.
  • Hnde und Füße der Kinder können beispielsweise durch Radverkleidungen nicht in die Speichen oder andere bewegte Teile geraten.
  • De Geschwindigkeit und die Fahrweise müssen der Verkehrssituation angepasst sein.
  • Bei der Nutzung von Fahrrädern ist der Weg im Vorfeld auf Gefahrenquellen wie Unebenheiten, Engstellen, Verkehrsbeeinträchtigungen etc. einzuschätzen.
  • Die Kindertagespflegeperson berücksichtigt sowohl jahreszeitliche als auch witterungsbedingte Veränderungen der Straßenverhältnisse und reagiert entsprechend.
  • Die Bedienungs- und Betriebsanleitungen für eingesetzte Fahrräder, Kindersitze und Fahrradanhänger sind zu beachten.
  • Das vom Hersteller vorgegebene zulässige Gesamtgewicht ist zu beachten.
  • Die Nutzung mobiler Endgeräte (inklusive Kopfhörer) ist zu unterlassen. Die Konzentration während der Beförderung mit dem Fahrrad liegt bei den Kindern und dem Straßenverkehr.
  • Die regelmäßige Wartung des Fahrrades nach Herstellervorgaben ist erforderlich.
  • Vor Fahrtbeginn wird das Fahrrad auf seine Verkehrstauglichkeit überprüft (z. B. Bremsen, Licht).
  • Das Anbringen und die Nutzung eines Rückspiegels ermöglichen, sowohl Straßenverkehr als auch hinten sitzende Kinder im Blick zu behalten.
  • Während der Fahrt essen und trinken die Kinder nicht, da sie sich unbemerkt verschlucken können.
  • Im Sinne von Sicherheit im Verkehrsraum sind Verhaltensregeln mit den Kindern altersentsprechend zu vereinbaren und einzuüben z. B.:
    • Wir hören auf unsere Kindertagespflegeperson!
    • Wir bleiben als Gruppe zusammen am Rad stehen, bis alle Kinder abgeschnallt und ab- oder ausgestiegen sind.
    • Wir setzen den Fahrradhelm ab, wenn wir ab- oder ausgestiegen sind.

Zusätzlich zu beachten bei der Beförderung mit einem Lastenfahrrad:

  • Lastenfahrräder sind im Vergleich zu herkömmlichen Fahrrädern größer und schwerer. Insbesondere das Gewicht und die Gewichtsverteilung können bei Beladung oder bei Beförderung von Kindern einen Einfluss auf das Fahrverhalten haben. Für den Umgang mit dem Lastenfahrrad ist es daher wichtig, dass das Fahrverhalten in unterschiedlichen Situationen bekannt und beherrschbar ist.
  • Auf die Nutzung von Feststellbremse oder Ständer zum sicheren Abstellen von Lastenfahrrädern ist zu achten. Dies ist insbesondere bei der Sicherung mehrerer Kinder wichtig, damit das Lastenfahrrad während des An- oder Abschnallens nicht wegrollen kann.
  • Um eine sichere Teilnahme am Straßenverkehr zu gewährleisten, ist die Nutzung des Lastenfahrrades zu üben (z. B. Lenkeinschlag, Kurvenradius, Bremsweg und Schräglage bei Kurvenfahrt).

Zusätzlich zu beachten bei der Nutzung von Akku-betriebenen Fahrrädern:

  • Der Akku ist entsprechend der Herstellerangaben zu laden und zu lagern.
  • Der Akku ist auf Beschädigungen (z. B. durch einen Sturz), ungewöhnliche Gerüche und Verformungen zu überprüfen und ggf. zu ersetzen.
  • Ebenfalls zu beachten sind folgende Handlungsanleitungen und Leitfäden:
    • Ausflüge in der Kindertagespflege
    • Notfallkonzept in der Kindertagespflege
    • Gefährdungsbeurteilung in der Kindertagespflege

Diese und weiterführende Informationen erhalten Sie über den oben angeführten Link

B - Beobachtung und Dokumentation

Bei dem Thema Beobachtung geht es immer um eine individuelle Beobachtung, einer individuellen Persönlichkeit.

Um den ganz persönlichen Selbstbildungsprozess eines Kindes wahrnehmen und verstehen zu können, bedarf es der intensiven Beobachtung und dessen Dokumentation. Veränderungen und Entwicklungen eines Kindes können somit erkannt und darauf basierend die weitere pädagogische Arbeit angepasst werden. Zu dem dient es der pädagogisch tätigen Person als Grundlage ihrer eigenen Reflexion. Die Beobachtung und Dokumentation ist damit die Voraussetzung für professionelles pädagogisches Handeln.

Die Beobachtung und Dokumentation gibt sowohl Eltern als auch pädagogisch Tätigen einen Einblick in die Lebenswelt des Kindes und kann als Grundlage einer aktiven Gestaltung der Erziehungspartnerschaft dienen.

Wir verstehen Kinder als aktive Gestalter ihrer Bildungsprozesse. Damit wird es unerlässlich, Kinder an ihrer persönlichen Dokumentation altersentsprechend mitwirken zu lassen. Dies ermöglicht eine Reflexion, gemeinsam mit dem Kind, wodurch sich ein noch individuellerer Blick, in die Welt des Kindes, eröffnet. Zu dem beugt eine gemeinsame Gestaltung und Reflexion Fehlinterpretationen oder Fehlbewertungen, durch die erwachsene Person, vor. Dies setzt voraus, dass das Kind einen freien Zugang zur eigenen Dokumentation hat.

Wichtig ist, dass Beobachtung und Dokumentation immer die individuelle Lebens- und Lernausgangslage des jeweiligen Kindes berücksichtigen. Dies ist unter anderem geprägt durch die physische und psychische Konstitution des Kindes sowie dessen (familiäres) Lebensumfeld.

Die Beobachtung und Dokumentation ist kein (defizitorientiertes) Screeningverfahren, sondern ein hineinschauen in die kindliche Welt.

Beachtet werden sollte bei der Beobachtung und Dokumentation, neben dem Datenschutz, dass die angewandte Methode wissenschaftlich anerkannt und erprobt ist und es sich nicht um ein Diagnoseinstrument handelt. Es kann lediglich bei einer notwendigen Diagnose unterstützen. Um den Datenschutz gewährleisten zu können, bedarf es einer Einverständniserklärung zur Foto- und Videodokumentation. Diese Einwilligung ist freiwillig und jederzeit widerrufbar. Erfolgt keine Zustimmung der Erziehungsberechtigten dürfen Dokumentationen von Bildungs- und Lernprozessen angelegt, jedoch ausschließlich zur fachlichen Verwendung und Planung genutzt werden.

Mögliche Beobachtungsverfahren können beispielsweise sein:

  • Entwicklungstabelle nach Kuno Beller
  • Baum der Erkenntnis
  • Bildungs- und Lerngeschichten von Margaret Carr
  • Engagiertheitsskala nach Ferre Laevers
  • Themen der Kinder nach Hans-Joachim Laewen und Beate Andres
  • Beobachtung und Dokumentation in der Praxis von Gerd Schäfer und Rainer Strätz

Gesetzliche Grundlagen für die Beobachtung und Dokumentation bilden:

(Quelle: Individuelle Lern- und Entwicklungsdokumentation in sächsischen Kindertageseinrichtungen und in der Kindertagespflege)

Weitere Informationen finden sich in der Broschüre „Individuelle Lern- und Entwicklungsdokumentation in sächsischen Kindertageseinrichtungen und in der Kindertagespflege“, „Systematisches Beobachten und Dokumentieren“ sowie im Sächsischen Bildungsplan.

B - Berufshaftpflichtversicherung

Jede Gemeinde und kreisfreie Stadt ist beim Kommunalen Schadensausgleich versichert. Das bedeutet alle öffentlich geförderten Betreuungsverhältnisse sind in diesem Rahmen mitversichert.

Für Schäden die innerhalb der Tätigkeit als Kindertagespflegeperson geschehen, trägt die private Haftpflichtversicherung kein Risiko, hierfür ist es empfohlen, eine Berufshaftpflichtversicherung abzuschließen. Bei dem zuständigen Jugendamt kann erfragt werden, ob eine Sammelhaftpflichtversicherung angeboten wird. Findet die Kindertagespflege nicht im Haushalt der Eltern oder der Kindertagespflegeperson statt, kann eine Betriebshaftpflichtversicherung notwendig werden.

B - Betriebsärztliche und sicherheitstechnische Betreuung der Betriebsstätten (BuS) – Unfallversicherung von Angestellten in einer Kindertagespflegestelle

Ist eine Kindertagespflegeperson als selbständige:r Unternehmer:in tätig, hat diese:r unter Umständen weitergehende Versicherungspflichten. In jedem Fall gilt dies, wenn die Kindertagespflegeperson, Personen im Anstellungsverhältnis - unabhängig des Umfang - beschäftigt.

Was ist zu tun?

Kindertagespflegepersonen, die Angestellte beschäftigen, müssen diese dem zuständigen Unfallversicherungsträger - Berufsgenossenschaft für Gesundheitsdienst und Wohlfahrtspflege (BGW) - mitteilen. Sämtliche angestellte Personen sind durch die gesetzliche Unfallversicherung versichert, unabhängig ob in Vollzeit oder Teilzeit, ob in einem befristeten oder unbefristeten Arbeitsverhältnis oder ob diese geringfügig beschäftigt sind. Die Unfallversicherungspflicht gilt auch für Vertretungsmodelle, bei denen eine Kindertagespflegeperson angestellt ist sowie für sonstige Unterstützungspersonen, wie Hausmeister:in und Reinigungsdienste, es sei denn, die Person ist als selbständige:r Unternehmer:in oder auf Rechnung tätig.

Die Kindertagespflegeperson muss alle angestellten Personen bei der zuständigen Berufsgenossenschaft - der Berufsgenossenschaft für Gesundheitsdienst und Wohlfahrtspflege (BGW) - melden. Die Finanzierung erfolgt über ein Umlageverfahren. Das bedeutet, dass sämtliche Kosten, die bei der Berufsgenossenschaft anfallen, auf die Beitragszahler:innen, also die Unternehmen - somit auch die Kindertagespflegepersonen, die angestellte Personen beschäftigen - umgelegt werden. Die Höhe der Beiträge ist abhängig von sogenannten Gefahrenklassen.

Betriebsärztliche und sicherheitstechnische Betreuung

Als Unternehmer:in ist die Kindertagespflegeperson nicht nur zur Zahlung der Unfallversicherungsbeiträge verpflichtet, sondern auch zur Einhaltung und Umsetzung rechtlicher Normen zum Arbeits- und Gesundheitsschutz. Es ist eine betriebsärztliche und sicherheitstechnische Betreuung (sogenannte BuS-Betreuung) sicherzustellen, sobald ein:e Arbeitnehmer:in beschäftigt wird.

Regelungen zur BuS-Betreuung finden sich im Arbeitssicherheitsgesetz. Sinn der BuS-Betreuung ist die Gefährdungsbeurteilung für die angestellten Personen. Diese dient dazu, durch gezielte und auf den Arbeitsort abgestimmte Schutzmaßnahmen, die Gefährdungslagen für die angestellte Person zu reduzieren.

Abhängig von der Unternehmensgröße können zwei Varianten der Betreuung gewählt werden:

  • Regelbetreuung
  • alternative bedarfsorientierte Betreuung

Beide Modelle sollen hier, besonders unter Aufwands- und Kostengesichtspunkten beleuchtet werden. Die Angaben zu den beiden Modellen beziehen sich auf eine Unternehmensgröße von bis zu zehn Beschäftigten.

Welche Möglichkeiten haben Sie?

1. Regelbetreuung

Die BGW hat ein umfangreiches System an Sicherheitsfachkräften. Diese kommen in die Kindertagespflegestelle zur Grund- und Anlassbezogenen Prüfung mit dem Ziel, die sicherheitstechnische und betriebsärztliche Begutachtung durchzuführen. Zur Grundbetreuung gehört, dass die Kindertagespflegeperson eine Gefährdungsbeurteilung erstellt und bei gravierenden Änderungen aktualisiert. Um die Gefährdungsbeurteilung zu erstellen, muss sich die Kindertagespflegeperson von einem Betriebsarzt oder einer Fachkraft für Arbeitssicherheit unterstützen lassen. Die dafür anfallenden Kosten müssen von der Kindertagespflegeperson getragen werden. Mit der Fachkraft für Arbeitssicherheit ist ein Honorar zu vereinbaren. Es muss eine Fachkraft (Betriebsarzt oder Fachkraft für Arbeitssicherheit) mit einem Vertrag als „Erstberater“ beauftragt werden. Die beauftragte Fachkraft muss im Einzelfall mit weiteren Fachkräften zusammenarbeiten. und das Unternehmen mindestens alle fünf Jahre persönlich besuchen, um die Gefährdungsbeurteilung zu erstellen oder zu erneuern. Bei besonderen Anlässen, beispielsweise bei Umbauten oder bei der Untersuchung von Unfällen, ist ebenfalls eine Betreuung notwendig. Die erstellte Gefährdungsbeurteilung gilt für fünf Jahre, wenn es keine anlassbezogenen Ereignisse gibt.

2. Alternative bedarfsorientierte Betreuung

Die alternative bedarfsorientierte Betreuung ermöglicht der Kindertagespflegeperson, als Unternehmer:in im Sinne der Unfallversicherung, deutlich größeren Handlungsspielraum, als es bei der Regelbetreuung der Fall ist. Es muss weder eine Fachkraft für Arbeitssicherheit noch ein Betriebsarzt dauerhaft vertraglich verpflichtet werden. Die Kindertagespflegeperson schließt sich einer Betreuung an, welche von Arbeitsschutzdienstleistern angeboten wird. Diese unterstützen die Kindertagespflegeperson bei konkreten Anlässen. Voraussetzung der alternativen bedarfsorientierten Betreuung ist, dass die Kindertagespflegeperson als Unternehmer:in aktiv in das Betriebsgeschehen eingebunden ist, was praktisch regelmäßig der Fall ist, wenn sie als Kindertagespflegeperson in einer Kindertagespflegestelle tätig ist.

Bildet sich die Kindertagespflegeperson in Schulungen bestehend aus sechs Lehreinheiten von jeweils 45 Minuten im Gesundheitsschutz und der Arbeitssicherheit weiter und nimmt sie anschließend regelmäßig an Fortbildungsveranstaltungen teil, kann die Kindertagespflegeperson die oben beschriebene Gefährdungsbeurteilung, nach der Erstschulung selbst durchführen. Nur bei besonderen Anlässen ist die Betreuung durch Experten für Arbeitsschutz notwendig. Die Schulung gilt in der Regel für fünf Jahre. Für die Schulung fallen Teilnahmegebühren an. Falls ein besonderer Anlass besteht, fallen gegebenenfalls zusätzlich Honorarkosten für die Sicherheitsexpert:innen an. Im Rahmen der Erstschulung erhalten die Teilnehmer:innen umfangreiches Material, welches Informationen enthält, die für die Gefährdungsbeurteilung wichtig sind.

Gesetzliche Grundlagen

Die gesetzliche Unfallversicherung, als eine von fünf Säulen der Sozialversicherungen, ist im SGB VII normiert. Träger der gesetzlichen Unfallversicherung sind für den hier interessierenden Bereich die gewerblichen Berufsgenossenschaften (Berufsgenossenschaft für Gesundheitsdienst und Wohlfahrtspflege (BGW)) sowie die Unfallversicherungsträger der öffentlichen Hand (Unfallkasse Sachsen). Die gewerblichen Berufsgenossenschaften sind nach Gewerbezweigen gegliedert. Die Berufsgenossenschaften und überwiegend auch die Unfallversicherungsträger der öffentlichen Hand sind Körperschaften des öffentlichen Rechts. Die Unfallversicherungen finanzieren sich, anders als die sonstigen Sozialversicherungsträger aus Beiträgen der Unternehmer:innen. Im Versicherungsfall, wenn also ein Arbeitsunfall oder eine Berufskrankheit eingetreten ist, übernimmt die Unfallversicherung die Regulierung des Versicherungsfalls und der:die Unternehmer:in ist von der zivilrechtlichen Haftung gegenüber dem:der angestellten Arbeitnehmer:in befreit. Jede:r Unternehmer:in ist binnen einer Woche verpflichtet, die Eröffnung des Unternehmens an den zuständigen Unfallversicherungsträger zu melden.

Versicherung: Unternehmer:in/Kindertagespflegeperson

Im gewerblichen Bereich ist der:die Unternehmer:in selbst in der Regel nicht über die Unfallversicherung gesetzlich pflichtversichert. Für den Bereich der Kindertagespflege gelten hierzu Sonderregelungen. So besteht für die Kindertagespflegeperson eine gesetzliche Unfallversicherungspflicht und demzufolge im Versicherungsfall auch ein gesetzlicher Unfallversicherungsschutz. Die Regelung findet sich in §2 Abs. 1 Nr. 9 SGB VII. Die Beiträge zur gesetzlichen Unfallversicherung (Unfallkasse des Freistaates Sachsen sowie die BGW) werden vom zuständigen Jugendamt beziehungsweise der Kommune (bei Kindertagespflegepersonen die nach SächsKitaG finanziert werden) erstattet.

Versicherung: betreute Kinder

Auch die Kinder, welche von der Kindertagespflegeperson betreut werden, sind in der gesetzlichen Unfallversicherung versichert. Die gesetzliche Unfallversicherung der betreuten Kinder ist sowohl für die Eltern als auch für die Kindertagespflegeperson kostenfrei. Der zuständige Versicherungsträger der Unfallversicherung der betreuten Kinder ist die Unfallkasse im Freistaat Sachsen. Mit Beginn des Betreuungsvertrages sind die Kinder automatisch versichert und müssen nicht durch ihre Eltern oder die Kindertagespflegeperson extra angemeldet werden. Es bedarf lediglich einer Erstanmeldung durch die Kindertagespflegeperson bei Aufnahme der Tätigkeit mit dem ersten zu betreuenden Kind.

B - Bildung

Grundlage der Arbeit der Kindertagespflegeperson bildet der Sächsische Bildungsplan mit seinem „Neuen Bild vom Kind“ und den sechs Bildungsbereichen.

Der Sächsische Bildungsplan beschreibt das „Kind als Akteur seiner selbst“. Jedes Kind bringt von Geburt an Kompetenzen und Potenziale mit. Die Kindertagespflegeperson beobachtet das Kind genau und nimmt dessen Kompetenzen und Entwicklungsschritte wahr.

Welche Interessen hat das Kind momentan?
Welchen nächsten Schritt beginnt es?

Aufgabe der Kindertagespflegeperson ist es, passgenaue Anregungen und Materialien zur Verfügung zu stellen, das Kind zu begleiten und bei Bedarf zu unterstützen sowie zeitliche und räumliche Ressourcen zur Verfügung zu stellen.

In der Kindertagespflege ist der Familienalltag und Haushalt lebensnaher Bildungs- und Erfahrungsort für die Kinder. Bildungsprozesse in der Kindertagespflege ergeben sich im Alltag mit den Kindern. Dafür ist es notwendig, dass sich das Kind geborgen und behütet fühlt.

Bildung kann nicht vermittelt werden. Das Kind setzt sich aktiv mit den Angeboten und Impulsen seiner Lebenswelt auseinander und erforscht deren Zusammenhänge. Der Selbstbildungspro- zess vollzieht sich, indem das Kind ein Bild von sich und der Welt konstruiert. Deshalb braucht das Kind für seine Lernprozesse Anregungen, Herausforderungen, Ermutigung und Unterstützung. (Quelle: Sächsisches Staatsministerium für Kultus (2017): Individuelle Lern- und Entwicklungsdokumentation in sächsischen Kindertageseinrichtungen und in der Kindertagespflege)

Bildungsgelegenheiten im Alltag der KTP:

  • Einkaufen
  • Essen zubereiten
  • Wäsche aufhängen
  • Essen einnehmen oder reichen
  • Hygiene (Körperpflege, Wickeln)
  • An- und Ausziehen



Die sechs Bildungsbereiche des Sächsischen Bildungsplanes:

  • somatische Bildung (Körper, Bewegung, Gesundheit)
  • soziale Bildung (soziale Beziehungen gestalten)
  • kommunikative Bildung (mitteilen, zuhören, verstehen)
  • ästhetische Bildung (sinnliche - fühlen, sehen, hören, riechen, schmecken - Wahrnehmung, Empfindungsvermögen)
  • naturwissenschaftliche Bildung (Naturerscheinungen, technische Erfindungen, Forscherdrang der Kinder)
  • mathematische Bildung (mathematisches Verständnis)


Mehr zum Thema Bildung finden Sie im Artikel der IKS "Lebenslanges Lernen in der Kindertagespflege" aus dem Verbandsmagazin "anspiel".

Weitere Informationen befinden sich in den Artikeln "Beobachtung und Dokumentation" sowie "Alltagsnahes lernen..."

B - BMFSFJ: Publikationen zur Kindertagespflege

kindertagespflege-leitfaden-tagespflegepersonen
Kindertagespflege: die familiennahe Alternative - Ein Leitfaden für Tagespflegepersonen Link zum Download


kindertagespflege-leitfaden-eltern
Kindertagespflege: die familiennahe Alternative - Ein Leitfaden für Eltern Link zum Download


kindertagespflege-leitfaden-jugendaemter
Kindertagespflege: die familiennahe Alternative - Ein Leitfaden für Jugendämter Link zum Download


kindertagespflege-leitfaden-unternehmen
Kindertagespflege: die familiennahe Alternative - Ein Leitfaden für Unternehmen Link zum Download |

B - Bürgerliches Gesetzbuch
Link: https://www.gesetze-im-internet.de/bgb/
Abkürzung: BGB
Ausfertigungsdatum: 18.08.1896
Vollzitat: "Bürgerliches Gesetzbuch in der Fassung der Bekanntmachung vom 2. Januar 2002 (BGBl. I S. 42, 2909; 2003 I S. 738), das zuletzt durch Artikel 2 des Gesetzes vom 21. Dezember 2021 (BGBl. I S. 5252) geändert worden ist"
Stand: Neugefasst durch Bek. v. 2.1.2002 I 42, 2909; 2003, 738; zuletzt geändert durch Art. 4 Abs. 6 G v. 7.5.2021 I 850


B - Bundesdatenschutzgesetz
Link: https://www.gesetze-im-internet.de/bdsg_2018/
Abkürzung: BDSG
Ausfertigungsdatum: 30.06.2017
Vollzitat: "Bundesdatenschutzgesetz vom 30. Juni 2017 (BGBl. I S. 2097), das durch Artikel 10 des Gesetzes vom 23. Juni 2021 (BGBl. I S. 1858) geändert worden ist"
Stand: Geändert durch Art. 12 G v. 20.11.2019 I 1626


Weitere Informationen wurden durch das Bayerische Landesamtes für Datenschutzaufsicht im Verlag C.H.BECK unter dem Titel: „Erste Hilfe zur Datenschutz-Grundverordnung für Unternehmen und Vereine“ (ISBN 978-3-406-71662-1) veröffentlicht.

Relevante Inhalte der Datenschutz-Grundverordnung (DSGVO) wurden weiterhin durch die Rechtsanwältin Frau Tabrogge-Essaida für die Kindertagespflege zusammengefasst und finden sich unter dem Link: https://www.tagespflege-online.de/index.php?b=p&k=sd&action=v&file=1&key=668&cont=f.

B - Bundeselterngeld- und Elternzeitgesetz
Link: https://www.gesetze-im-internet.de/beeg/
Abkürzung: BEEG
Ausfertigungsdatum: 05.12.2006
Vollzitat: "Bundeselterngeld- und Elternzeitgesetz in der Fassung der Bekanntmachung vom 27. Januar 2015 (BGBl. I S. 33), das zuletzt durch Artikel 1 des Gesetzes vom 15. Februar 2021 (BGBl. I S. 239) geändert worden ist"
Stand: Neugefasst durch Bek. v. 27.01.2015 I 33 Zuletzt geändert durch Art. 1 G v. 15.2.2021 I 239


B - Bundeskinderschutzgesetz
Link: https://www.gesetze-im-internet.de/kkg/
Abkürzung: KKG
Ausfertigungsdatum: 22.12.2011
Vollzitat: "Gesetz zur Kooperation und Information im Kinderschutz vom 22. Dezember 2011 (BGBl. I S. 2975), das zuletzt durch Artikel 2 des Gesetzes vom 3. Juni 2021 (BGBl. I S. 1444) geändert worden ist"
Stand: Zuletzt geändert durch Art. 2 G v. 3.6.2021 I 1444


C
C - Communiqué „Frühe Bildung weiterentwickeln und Finanzierung sichern“

Im November 2014 haben Bund und Länder einen gemeinsamen Qualitätsentwicklungsprozess für die Kinderbetreuung und das Communiqué „Frühe Bildung weiterentwickeln und Finanzierung sichern“ verabschiedet. Darin wurde u. a. die Erarbeitung eines Zwischenberichtes als Grundlage für die weitere Arbeit am Qualitätsentwicklungsprozess vereinbart.

Den Zwischenbericht und die Erklärung der Bund-Länder-Konferenz finden Sie hier.

C - Curriculum

§ 23 Abs. 3 SGB VIII gibt Auskunft darüber, welche Voraussetzungen notwendig sind, um als geeignet für die Tätigkeit als Kindertagespflegeperson angesehen zu werden. Neben der entsprechenden Persönlichkeit, sollten Sachkompetenz und entsprechende Räumlichkeiten vorhanden sein. Weiterhin wird die notwendige Kooperationsbereitschaft gegenüber Eltern und anderen Kindertagespflegepersonen vorausgesetzt. Im Gesetz wird zudem gefordert:

„Sie sollen über vertiefte Kenntnisse hinsichtlich der Anforderungen der Kindertagespflege verfügen, die sie in qualifizierten Lehrgängen erworben oder in anderer Weise nachgewiesen haben.“

Vertiefende Kenntnisse können angehende Kindertgaespflegepersonen durch die Teilnahme an einer Qualifizierung in der Kindertagespflege, auf Grundlage des DJI-Curriculum „Fortbildung von Tagespflegepersonen“ erwerben und nachweisen.

Diese Anforderungen sind für Kindertagespflegepersonen in Sachsen im § 3 der Sächsischen Qualifikations- und Fortbildungsverordnung pädagogischer Fachkräfte konkretisiert.

Das DJI-Curriculum wurde einer Überarbeitung unterzogen und unter dem Titel „Kompetenzorientiertes Qualifizierungshandbuch für die Kindertagespflege", kurz: QHB veröffentlicht. Hinweise zu Inhalten, Einführung und Umsetzung dazu finden sich auf der Internetseites des Bundesverbandes für Kindertagespflege sowie in der Handreichung des Deutschen Jugendinstitutes (DJI) "Eignung von Kindertagespflegepersonen" (Vollständig überarbeitete und aktualisierte Fassung des Praxismaterials Nr. 2 von 2021)

D
D - Datenschutz

Am 25. Mai 2018 trat die Verordnung des Europäischen Parlaments und des Rates, die Datenschutz-Grundverordnung, kurz DSGVO sowie das neue Bundesdatenschutzgesetz in Kraft.

Relevante Inhalte der Datenschutz-Grundverordnung wurden durch die Rechtsanwältin Frau Tabrogge-Essaida für die Kindertagespflege zusammengefasst und finden sich unter www.tagespflege-online.de.

Weiterhin veröffentlichte die Senatsjugendverwaltung und der Berliner Landesbeauftragte für Datenschutz eine Broschüre unter dem Titel "Datenschutz bei Bild-, Ton- und Videoaufnahmen. Was ist in der Kindertageseinrichtung zu beachten?".

Prof. Beate Naake verfasste 2018 in der ZeT - Zeitschrift für Tagesmütter und -väter den Artikel "Fotografieren erlaubt? Über das Recht am eigenen Bild". Ebenfalls in dieser Ausgabe wurde der Artike "Einwilligung in Foto- und Filmaufnahmen" veröffentlicht, in welchem Hinweise und Tipps enthalten sind.

Folgende Muster-Dokumente zum Datenschutz stehen Ihnen zum Download zur Verfügung und wurden durch Prof. Beate Naake zur Verfügung gestellt:

Fragen zum Thema Datenschutz können an die:den sächsische:n Datenschutzbeauftragte:n gestellt werden. Die Kontaktdaten finden Sie unter https://www.saechsdsb.de/

Ein Urteil zum Datenschutz finden Sie hier.

D - DJI-Curriculum

§ 23 Abs. 3 SGB VIII gibt Auskunft darüber, welche Voraussetzungen notwendig sind, um als geeignet für die Tätigkeit als Kindertagespflegeperson angesehen zu werden. Neben der entsprechenden Persönlichkeit, sollten Sachkompetenz und entsprechende Räumlichkeiten vorhanden sein. Weiterhin wird die notwendige Kooperationsbereitschaft gegenüber Eltern und anderen Kindertagespflegepersonen vorausgesetzt. Im Gesetz wird zudem gefordert:

„Sie sollen über vertiefte Kenntnisse hinsichtlich der Anforderungen der Kindertagespflege verfügen, die sie in qualifizierten Lehrgängen erworben oder in anderer Weise nachgewiesen haben.“

Vertiefende Kenntnisse können angehende Kindertgaespflegepersonen durch die Teilnahme an einer Qualifizierung in der Kindertagespflege, auf Grundlage des DJI-Curriculum „Fortbildung von Tagespflegepersonen“ erwerben und nachweisen.

Diese Anforderungen ist für Kindertagespflegepersonen in Sachsen im § 3 der Sächsischen Qualifikations- und Fortbildungsverordnung pädagogischer Fachkräfte konkretisiert.

Das DJI-Curriculum wurde einer Überarbeitung unterzogen und unter dem Titel „Kompetenzorientiertes Qualifizierungshandbuch für die Kindertagespflege", kurz: QHB veröffentlicht. Hinweise zu Inhalten, Einführung und Umsetzung dazu finden sich auf der Internetseites des Bundesverbandes für Kindertagespflege sowie in der Handreichung des Deutschen Jugendinstitutes (DJI) "Eignung von Kindertagespflegepersonen" (Vollständig überarbeitete und aktualisierte Fassung des Praxismaterials Nr. 2 von 2021)

D - Dokumentation

Bei dem Thema Beobachtung geht es immer um eine individuelle Beobachtung, einer individuellen Persönlichkeit.

Um den ganz persönlichen Selbstbildungsprozess eines Kindes wahrnehmen und verstehen zu können, bedarf es der intensiven Beobachtung und deren Dokumentation. Veränderungen und Entwicklungen eines Kindes können somit erkannt und darauf basierend die weitere pädagogische Arbeit angepasst werden. Zu dem dient es der pädagogisch tätigen Person als Grundlage ihrer eigenen Reflexion. Die Beobachtung und Dokumentation ist damit die Voraussetzung für professionelles pädagogisches Handeln und gibt sowohl Eltern als auch pädagogisch Tätigen einen Einblick in die Lebenswelt des Kindes. Sie kann als Grundlage einer aktiven Gestaltung der Erziehungspartnerschaft dienen.

Wir verstehen Kinder als aktive Gestalter ihrer Bildungsprozesse. Damit wird es unerlässlich, Kinder an ihrer persönlichen Dokumentation altersentsprechend mitwirken zu lassen. Dies ermöglicht eine Reflexion gemeinsam mit dem Kind, wodurch sich ein noch individuellerer Blick in die Welt des Kindes eröffnet. Zu dem beugt eine gemeinsame Gestaltung und Reflexion Fehlinterpretationen oder Fehlbewertungen, durch die erwachsene Person, vor. Dies setzt voraus, dass das Kind einen freien Zugang zur eigenen Dokumentation hat.

Wichtig ist, dass Beobachtung und Dokumentation immer die individuelle Lebens- und Lernausgangslagen des jeweiligen Kindes berücksichtigen. Dies ist unter anderem geprägt durch die physische und psychische Konstitution des Kindes sowie dessen (familiäres) Lebensumfeld.

Die Beobachtung und Dokumentation ist kein (defizitorientiertes) Screeningverfahren, sondern ein hineinschauen in die kindliche Welt.

Beachtet werden sollte bei der Beobachtung und Dokumentation, neben dem Datenschutz, dass die angewandte Methode wissenschaftlich anerkannt und erprobt ist und es sich nicht um ein Diagnoseinstrument handelt. Es kann lediglich bei einer notwendigen Diagnose unterstützen. Um den Datenschutz gewährleisten zu können, bedarf es einer Einverständniserklärung zur Foto- und Videodokumentation. Diese Einwilligung ist freiwillig und jederzeit widerrufbar. Erfolgt keine Zustimmung der Erziehungsberechtigten dürfen Dokumentationen von Bildungs- und Lernprozessen angelegt, jedoch ausschließlich zur fachlichen Verwendung und Planung genutzt werden.

Mögliche Beobachtungs- und Dokumentationsverfahren können beispielsweise sein:

  • Entwicklungstabelle nach Kuno Beller
  • Baum der Erkenntnis
  • Bildungs- und Lerngeschichten von Margaret Carr
  • Engagiertheitsskala nach Ferre Laevers
  • Themen der Kinder nach Hans-Joachim Laewen und Beate Andres
  • Beobachtung und Dokumentation in der Praxis von Gerd Schäfer und Rainer Strätz
  • Portfolioarbeit
  • Marte Meo

Gesetzliche Grundlagen für die Beobachtung und Dokumentation bilden:

(Quelle: Individuelle Lern- und Entwicklungsdokumentation in sächsischen Kindertageseinrichtungen und in der Kindertagespflege)

Informative und weiterführende Veröffentlichungen:

E
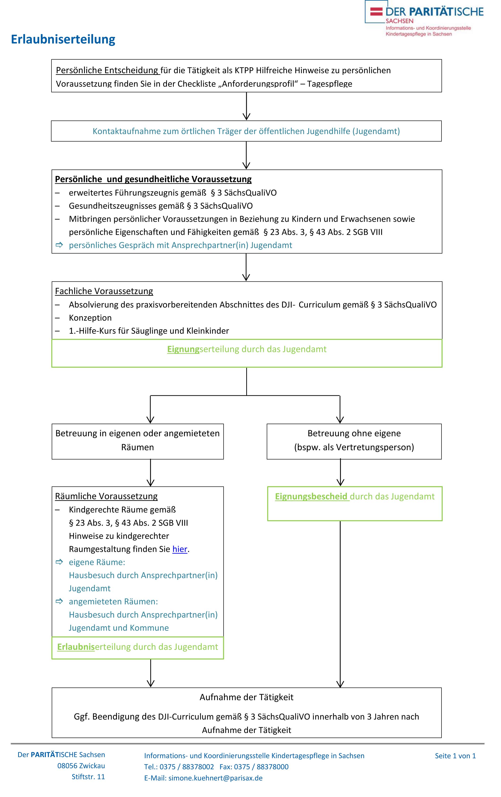
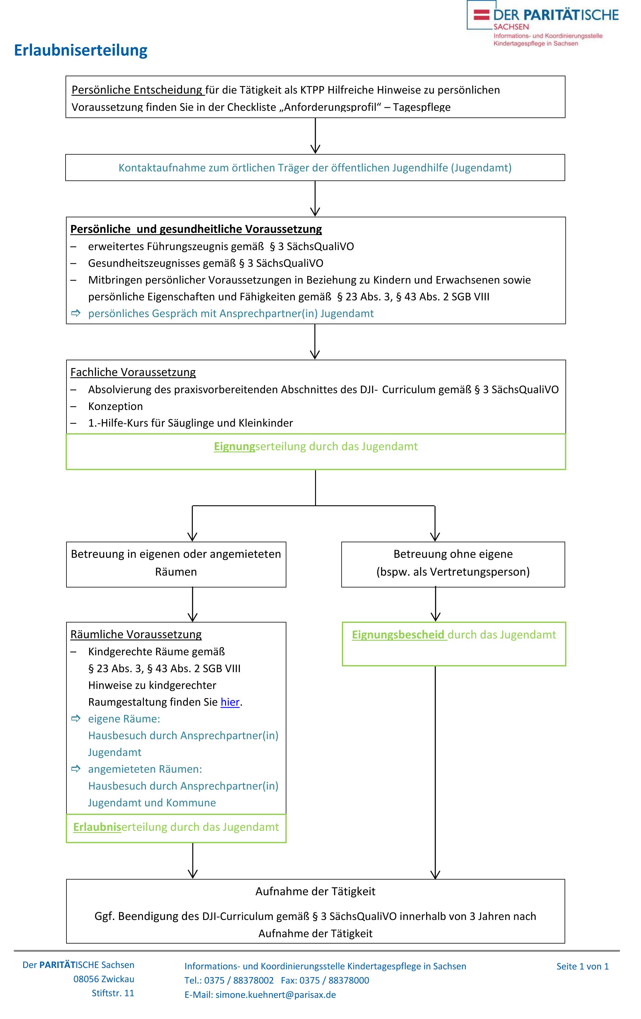
E - Eignung

Um eine Eignung als Kindertagespflegeperson zu erhalten, bedarf es der Erfüllung persönlicher, gesundheitlicher sowie fachlicher Voraussetzungen.

Möchte eine Person gemäß § 43 Abs. 1 SGB VIII ein Kind oder mehrere Kinder außerhalb des Haushalts des Erziehungsberechtigten während eines Teils des Tages und mehr als 15 Stunden wöchentlich gegen Entgelt länger als drei Monate betreuen, bedarf es zu dem der Erlaubnis, unabhängig davon, wie die Finanzierung erfolgt (privat/öffentliche Mittel).

Bild_Grafik_Erlaubniserteilung1Die nachfolgende Grafik bietet einen Überblick über das Eignungs- und Erlaubniserteilungsverfahren: Grafik Eignung und Erlaubnis.
Ausführliche Hinweise zu den einzelnen Stufen der Grafik (Voraussetzungen) befinden sich in den Qualitätskriterien für die Kindertagespflege im Freistaat Sachsen sowie in der Empfehlung des Landesjugendamtes Sachsen zu Leistungen der Jugendhilfe in Form von Kindertagespflege.

E - Eingewöhnung
Keine Betreuung ohne Eingewöhnung!

Durch einer am Kind orientierten Eingewöhnung und der kleinen Gruppengröße in der Kindertagespflegestelle, welche eine intensive Nähe ermöglicht, kann sich zwischen Kind und Kindertagespflegeperson eine enge und sichere Bindung/Beziehung entwickeln. Diese sichere Bindung ermöglicht es dem Kind, die Trennung von den Eltern zu bewältigen, ohne sich verlassen zu fühlen und sich somit auf das Abenteuer des Tages in der Kindertagespflegestelle einzulassen.

Bild_Flyer_Eingewoehnung

Bezugs- und Betreuungspersonen sollten beachten, dass es sich um eine große Aufgabe und Anpassungsleistung des Kindes handelt, eine Beziehung zu einer fremden Personen und Umgebung aufzubauen. Grundlegend für jede Eingewöhnung ist, dass sie sich an den Bedürfnissen des Kindes, bspw. hinsichtlich der benötigten Zeit, orientieren und eine Regelmäßigkeit aufweisen sollte, um den Stress für das Kind zu minimieren. (Hilfreich kann dafür der Fragebogen zur Eingewöhnung sein. Diesen finden Sie hier.)

Alle weiteren Kinder innerhalb der Gruppe sollten im Vorfeld auf die Veränderung vorbereitet werden. Ziel der Eingewöhnungsphase sollte es sein, dass das Kind während der Anwesenheit seiner vertrauten Bezugsperson eine gute Beziehung zur fremden Person aufbauen kann. Eltern bietet die Eingewöhnungszeit die Möglichkeit eine gute Erziehungspartnerschaft zur KTPP aufzubauen. Auch die Bedürfnisse der Eltern sollte während der Eingewöhnungszeit beachtet werden, da auch sie eine Trennungsphase durchleben.

Verweisen möchten wir an dieser Stelle auf das Berliner Eingewöhnungsmodell nach infans (Institut für angewandte Sozialisationsforschung/Frühe Kindheit e.V.), dieses basiert auf den Erkenntnissen der Bindungstheorie von John Bowlby.

Kurzvorstellung des Berliner Eingewöhnungsmodells:
  • Dauer der Eingewöhnungsphase bestimmt das Kind
  • Die Dauer des Aufenthalts in der neuen Umgebung sollte langsam gesteigert werden, innerhalb der Eingewöhnungszeit sowie in der ersten Zeit nach Beendigung der Eingewöhnung jedoch eine Halbtagsbetreuung nicht übersteigen
  • Unterschiede in Bindungsqualitäten werden beachtet
  • Unterstützung des Kindes bei der Bewältigung der Anpassungsleistung
  • Beachtung von freien Tagen (Wochenende, Feiertage, ggf. Krankheit,…) in der Planung der Eingewöhnung
Sechs Schritte der Eingewöhnung:
1. Vorbereitungsphase: Wichtigkeit sowie grober Ablauf und ihre Rolle in der Eingewöhnungszeit wird den Eltern im Vorfeld mitgeteilt. Hilfreich ist es an dieser Stelle, wenn die zukünftige Bezugsperson in der KTP-Stelle im Vorfeld einige Informationen über das Kind erhält bspw. in Form eines Fragebogens.
2. Grundphase (ca. 3 Tage): Die Bezugsperson ist immer anwesend und erreichbar für das Kind, verhält sich aber passiv. Die KTPP unterbreitet dem Kind Spielangebote. Pflegemaßnahmen werden durch die vertraute Bezugsperson durchgeführt.
3. Erster Trennungsversuch: Nach einem gemeinsamen Aufenthalt verabschiedet sich die Bezugsperson vom Kind und verlässt den Raum/die KTP-Stelle. Je nach Reaktion des Kindes sollte dieser erste Trennung 3 bis 30 Minuten betragen.
4. Stabilisierungsphase: Unter Beachtung der kindlichen Reaktionen können die Trennungszeiten kontinuierlich verlängert werden. Die KTPP bietet sich als Spielpartner an und übernimmt (zu Beginn noch unter Beisein der Bezugsperson) auch die weitere Versorgung des Kindes (Füttern, Wickeln, …). Beginnt das Kind in der KTP-Stelle zu schlafen sollte anfänglich die Bezugsperson beim Einschlafen und Aufwachen anwesend sein.
5. Schlussphase: In dieser Phase ist die Bezugsperson nicht mehr anwesend, allerdings für Notfälle erreichbar. Die KTPP steht dem Kind zur Verfügung, tröstet es, unterstützt die Erkundung der neuen Umgebung sowie die Einbindung in die Gruppe. Die KTPP wird zum verlässlichen Pol für das Kind.
6. Abschluss: Kommt das Kind gern in die KTP-Stelle, lässt sich von der KTPP trösten und ist aktiv am Alltag und Gruppengeschehen beteiligt, kann die Eingewöhnung als abgeschlossen angesehen werden.

Detailinformationen zum Berliner Eingewöhnungsmodell finden Sie hier.

Bild_Flyer_Eingewoehnung Den Flyer der Informations- und Koordinierungsstelle Kindertagespflege in Sachsen "GUT FESTHALTEN?!" zum Thema Eingewöhnung finden Sie hier.

Der Bundesverband für Kindertagespflege veröffentlicht Materialien zum Thema Eingewöhnung in verschiedenen Sprachen, diese finden Sie hier.

E - Einkommenssteuergesetz

Link:EStG - Einkommensteuergesetz

Abkürzung: EStG

Ausfertigungsdatum: 16.10.1934

Vollzitat: Einkommensteuergesetz in der Fassung der Bekanntmachung vom 8. Oktober 2009 (BGBl. I S. 3366, 3862), das zuletzt durch Artikel 1 des Gesetzes vom 15. Juli 2013 (BGBl. I S. 2397) geändert worden ist"

Stand: Neugefasst durch Bek. v. 8.10.2009 I 3366, 3862; zuletzt geändert durch Art. 1 G v. 15.7.2013 I 2397

Broschüre "Was bleibt?! Tipps und Informationen zur Besteuerung des Einkommens für Kindertagespflegepersonen und die sozialversicherungsrechtlichen Auswirkungen", herausgegeben vom Deutschen Paritätischen Wohlfahrtsverband und dem Deutschen Verein.

  1. überarbeitete Auflage. Kostenlos hier zum Download.
E - Elternbeitrag

Die Kosten der Betreuung von Kindern in Kindertageseinrichtungen oder Kindertagespflege werden vom Freistaat, von den Eltern und den Gemeinden gemeinsam übernommen. Der Elternbeitrag ist kommunal festgesetzt. Dafür gelten gemäß § 15 SächsKitaG folgende Regelungen: <BR< • Bei Krippenplätzen soll dieser jedoch 15 Prozent der erforderlichen Personal- und Sachkosten der Plätze nicht überschreiten. Die Obergrenze ist auf 23 Prozent festgesetzt. • Bei Kindergartenplätzen liegt die Untergrenze ebenfalls bei 15 Prozent, die Obergrenze bei 30 Prozent. • Bei Kindern im Schulvorbereitungsjahr wird auf eine Untergrenze verzichtet, die Obergrenze ist hier analog zu Kindergartenplätzen bei 30 Prozent. • Für Alleinerziehende und Eltern mit mehreren Kindern, die eine Kindertageseinrichtung besuchen, gibt es Absenkungen. • Ist die Belastung durch den Beitrag den Eltern wegen zu geringem Einkommen nicht zumutbar, wird er auf Antrag vom Jugendamt übernommen. • Der Elternbeitrag für die Kindertagespflege soll dem Betrag für die entsprechende Kindertageseinrichtung vergleichbar sein und ist abhängig vom Alter des Kindes.

E – Elternentscheidung - Befragung von Eltern der Stadt Dresden

In einer 7. Dresdner Elternbefragung 2022 wurden Eltern digital zu ihrer Zufriedenheit mit den Angeboten der Kindertagesbetreuung befragt. 2.634 Eltern (33, 1 Prozent) haben an der Studie teilgenommen. Die Studie stellt Fragen in unterschiedlichen Rubriken wie bspw. zur aktuellen Familien- und Betreuungsform, zu Informationsquellen, zu Auswahlfaktoren, zur Wertigkeit Unterstützung, Zuwendung und Wertschätzung oder pädagogischen Aktivitäten. Die Antworten zu diesen und zu vielen weiteren Kriterien werden mit einer Vielzahl von Grafiken ausgewertet. Die Studie umfasst 77 Seiten.

Was ist Eltern laut Studie besonders wichtig für ihre Entscheidung?

Die Betreuung soll qualitativ

  • ein „Wohlfühlort“ sein
  • Einfühlungsvermögen besitzen
  • soziale Einbindung ermöglichen
  • eine gute Entwicklungsbegleitung sein

Äußere Rahmenbedingungen sind

  • gute Erreichbarkeit
  • Wohnortnähe
  • Öffnungszeiten

Kriterien für die Wahl der Betreuung

  • Empfehlung aus dem eigenen Umfeld
  • Persönlicher Kontakt

An die Betreuungsperson werden altersunabhängig und mit hoher Gewichtung folgende Ansprüche geäußert (S. 28f)

  • Vertrauen des Kindes
  • Mitgefühl
  • Wertschätzung und Zuwendung
  • Befriedigung der Grundbedürfnisse
  • Ausreichend Zeit

Zu der Studie gelangen sie hier.

E - Empfehlungen des Landesjugendamtes Sachsen zur Fachberatung in Kindertageseinrichtungen und in Kindertagespflege

Empfehlungen zur Fachberatung

Seite 24-25

Vollzitat: Empfehlung des Landesjugendamtes Sachsen zu Leistungen der Jugendhilfe in Form von Kindertagespflege - 3. Fortschreibung - Stand: verabschiedet vom Landesjugendhilfeausschuss am 05.12.2019

E - Empfehlung des Sächsischen Landesjugendamtes zur Bedarfsplanung für Kindertageseinrichtungen und Kindertagespflege im Freistaat Sachsen

Download: Fortschreibung der Empfehlung des Sächsischen Landesjugendamtes zur Bedarfsplanung für Kindertageseinrichtungen und Kindertagespflege im Freistaat Sachsen | Sächsischer Kita-Bildungsserver Ausfertigungsdatum: 10.03.2016

Vollzitat: Fortschreibung der Empfehlung des Sächsischen Landesjugendamtes zur Bedarfsplanung für Kindertageseinrichtungen und Kindertagespflege im Freistaat Sachsen

Stand: verabschiedet vom Landesjugendhilfeausschuss am 10.03.2016

E - Empfehlung zur laufenden Geldleistung für die Kindertagespflege

Bitte beachten Sie, dass es sich bei dieser Empfehlung des SSG um eine nicht mehr aktuelle Fassung handelt. Die aktuelle Version steht ausschließlich Mitgliedern des Sächsischen Städte- und Gemeindetages zur Verfügung. Die hier dargestellte Fassung kann ggf. trotzdem als Orientierung und Richtungsweisung dienen.

Link: 470736aa543e757c0d28c12c62002f3b.pdf, http://www.familienfreund.de/news-fuer-dienstleister/empfehlung-des-saechsischen-staedte-und-gemeindetags-ev-zur-laufenden-geldleistung-fuer-die-kindertagespflege.html

Ausfertigungsdatum: 01.01.2013

Vollzitat: Empfehlung des Sächsischen Städte- und Gemeindetags e.V. zur laufenden Geldleistung für die Kindertagespflege gemäß § 23 Abs. 2 SGB VIII

Stand: vom 01.01.2013

E - Empfehlung zur Medikamentengabe

Link: 974e05cf4ed1334d0d432783e2e69884.pdf

Ausfertigungsdatum: 27.04.2005

Vollzitat: Empfehlungen zur Medikamentengabe des Sächsischen Staatsministeriums für Soziales in Kindertageseinrichtungen in Sachsen

E - Empfehlungen des Deutschen Vereins zur Ausgestaltung der Kindertagespflege nach den §§ 22, 23, 24 SGB VIII

Link: 135d9a6d0f4eab717476ce5e4c15f2b4.pdf

Ausfertigungsdatum: 28.09.2005

Vollzitat: Überarbeitete Empfehlungen des Deutschen Vereins zur Ausgestaltung der Kindertagespflege nach den §§ 22, 23, 24 SGB VIII

E - Empfehlungen des Landesjugendamtes Sachsen zur Fachberatung in Kindertageseinrichtungen und in Kindertagespflege

Link: http://www.kita-bildungsserver.de/fileadmin/inc/do_download.php?did=831

Ausfertigungsdatum: 01.03.2012

Vollzitat: Empfehlungen des Landesjugendamtes Sachsen zur Fachberatung in Kindertageseinrichtungen und in Kindertagespflege

Stand: verabschiedet vom Landesjugendhilfeausschuss am 01.03.2012

E - Empfehlungen des Landesjugendamtes und andere Arbeitshilfen für die Praxis

Empfehlung_LJA_Arbeitshilfe

Aktuelle Empfehlungen des Landesjugendamtes und andere Arbeitshilfen für die Praxis by familienfreund KG - Issuu

Ausfertigungsdatum: 16.03.2011

Vollzitat: Kindertagespflege im Freistaat Sachsen Aktuelle Empfehlungen des Landesjugendamtes und andere Arbeitshilfen für die Praxis

E - Empfehlungen zur Qualität der Bildung, Erziehung und Betreuung der unter Dreijährigen in Kindertageseinrichtungen und Kindertagespflege

Qualität U-3 in Kitaeinrichtungen, -pflege

Stand: beschlossen auf der 107. Arbeitstagung der Bundesarbeitsgemeinschaft der Landesjugendämter vom 04. bis 06. November 2009 in Hamburg

E - Erlaubnis

Möchte eine Person gemäß § 43 SGB VIII ein Kind oder mehrere Kinder außerhalb des Haushalts des Erziehungsberechtigten während eines Teils des Tages und mehr als 15 Stunden wöchentlich gegen Entgelt länger als drei Monate betreuen, bedarf es der Erlaubnis, unabhängig davon, wie die Finanzierung erfolgt (privat/öffentliche Mittel). Zur Erteilung einer Erlaubnis sind zusätzlich zur Eignung als Kindertagespflegeperson (KTPP), d. h. der Erfüllung persönlicher, gesundheitlicher sowie fachlicher Voraussetzungen, kindgerechte Räumlichkeiten vorzuweisen. Die Erlaubnis ist gemäß § 43 Abs. 3 SGB VIII auf fünf Jahre befristet.

Eine Grafik zum Verfahren der Eignungs- und Erlaubniserteilung finden Sie hier. Ausführliche Hinweise zu den einzelnen Stufen der Grafik (Voraussetzungen) finden Sie in Kapitel 2 der Qualitätskriterien für die Kindertagespflege im Freistaat Sachsen.

Zuständigkeit der Erlaubniserteilung bei abweichendem Wohnort der Kindertagespflegeperson und dem Ort der Kindertagespflegestelle

Das Sächsische Staatsministerium für Kultus (SMK) veröffentlichte eine Positionierung zur „Zuständigkeit der Erlaubniserteilung Kindertagespflege bei abweichendem Wohnort der Kindertagespflegeperson und dem Ort der Kindertagespflegestelle“

Darin wird mitgeteilt, dass „örtlich zuständig für die Erlaubniserteilung nach § 43 SGB VIII oder alternativ die Eignungsfeststellung der Kindertagespflegeperson in diesen Fällen in teleologisch erweiterter Auslegung von § 87a Abs. 1 SGB VIII der örtliche Träger der öffentlichen Jugendhilfe ist, in dessen Zuständigkeitsbereich die Kindertagespflegestelle gelegen ist.“ Begründet wird dies unter anderem mit der räumlichen Nähe und dem Kontakt zum Jugendamt vor Ort, welche für eine gute fachliche Zusammenarbeit unerlässlich sind. Weiterhin wird darauf hingewiesen, dass eine enge Abstimmung zwischen beiden Jugendämtern erfolgen sollte. Das Schreiben des SMK finden Sie hier.

E - Ernährung in der Kindertagespflege

Essen ist so viel mehr als Nahrungsaufnahme…

„Der Ursprung für die gesunde Entwicklung des kindlichen Körpers liegt in der Befriedigung der basalen Bedürfnisse durch […], ausreichende und gesunde Nahrung […]. Die Befriedigung der Grundbedürfnisse ist Bedingung für das Wohlbefinden und damit Grundlage der somatischen (Körper, Bewegung, Gesundheit) Bildung.“ (Sächsische Bildungsplan S. 46)

Mit einem gelungenen Essen stehen viele positive Empfindungen in Verbindung: Genuss, Neugierde Neues zu probieren, Gemeinschaftsgefühl, …

Eine Mahlzeit verbindet viele wertvolle Bildungsaspekte und ist Teil einer ganzheitlichen Erziehung. Im Folgenden finden Sie Beispiele für die einzelnen Bildungsbereiche:
  • Soziale Bildung: Rituale vor, bei und nach dem Essen als Gruppen- und Zugehörigkeitsmerkmal (gemeinsames Tischdecken, Tischkultur, Gedichte, Sprüche, etc.)
  • Kommunikative Bildung: gemeinsames Vorbereitung und Zubereitung einer Mahlzeit bietet Sprachanlässe, Gedichte und Reime als Ritual vor dem Essen
  • Somatische Bildung: Greifbewegung, z. B. des Löffels sowie das lernen, welche Speisen gesund sind
  • Ästhetische Bildung: Beim Essen sind alle Sinne beteiligt:
    • Gleichgewichtssinn (Löffel zum Mund führen)
    • spüren/tasten/haptische Wahrnehmung (Form, Konsistenz, Temperatur der Lebensmittel)
    • sehen (Farben und Formen der Lebensmittel
    • schmecken (süß, sauer, salzig, bitter, umami)
    • hören (Knacken einer Karotte)
  • Naturwissenschaftliche Bildung: Welche Lebensmittel kann man essen? Wo kommen die Lebensmittel her?
  • Mathematische Bildung: Wie viele Teller müssen auf den Tisch gestellt werden? Abwiegen von Komponenten für den Kuchenteig, geometrischen Formen der Lebensmittel, Vergleichen – Ist in der Milchpackung noch etwas?
Wie können die einzelnen Bildungsbereiche beim Essen unterstützt werden?

Die Kindertagespflegestelle ist ein Ort in dem "lebensnahes" Lernen möglich ist. Insbesondere bei der Vor- und Nachbereitung einer Mahlzeit können die Kinder intensiv beteiligt werden und so von der Planung des Speiseplans, über den Einkauf der Zutaten, dem Zubereiten usw. teilhaben. So kann bspw. das gemeinsame vorbereiten einer Mahlzeit zum Ritual in der Kindertagespflegestelle werden. Ein schönes Ambiente schaffen, den Tisch durch oder gemeinsam mit den Kindern ansprechend decken. Jedes Kind kennt seinen Platz. Tischsprüche und kleine Verse können ebenfalls dazu beitragen, dass sich alle auf die bevorstehende gemeinschaftliche Mahlzeit einstellen und dies als gemeinschaftliche Aktivität verstehen. Das gemeinsame Essen soll in einer entspannten und fröhlichen Gruppe Freude machen. Dazu gehört, dass die Kinder ihre Selbstbestimmtheit erfahren können. Dies setzt voraus, dass jeder in seinem eigenen Tempo isst, sich zum frühesten Zeitpunkt die gewollte Menge der ggf. verschiedenen Komponenten auf den Teller gibt und selbstbestimmt nachholen darf. Weiterhin ist es hierfür auch erforderlich, dass die Individualität des Geschmackes und der Vorlieben der Kinder geachtet werden. Dies schließt keinesfalls eine gesunde Ernährung aus, denn Kinder lassen sich gern von Freund oder Bezugsperson verleiten auch Unbekanntes zu probieren. Haben die Kinder die Gewissheit, sie können probieren, es aber auch auf dem Teller lassen, wenn es nicht ihrem Geschmack entspricht, werden sie gern und freudig Neues probieren.

Essen heißt auch Besteck und Lebensmittel kennenlernen – mit allen Sinnen. Daher ist es empfehlenswert, dass Kindern so früh wie möglich ihr Besteck selbst halten. Das was auf den ersten Blick wirkt, als spiele das Kind mit dem Essen, ist ein konzentriertes kennenlernen, wahrnehmen, experimentieren und üben. Um konzentriert diesen Bildungsweg zu gehen, ist es notwendig, die Kinder mit der Auswahl der angebotenen Lebensmittel, die sie auf dem Tisch vorfinden, nicht zu überfordern.

Es ist aber auch ein gemeinschaftslernen, welches am Esstisch stattfindet. Welche Werte und Normen gelten in unserer Kultur (Wir essen i. d. R. sitzend am Tisch und nutzen Besteck) und welche Regeln gelten in der kleinen Kindertagespflegegruppe – dieses gilt es zu lernen und zu achten (Die Mahlzeit wird mit einem gemeinsam Tischspruch begonnen).

Hinweise rund um das Thema Ernährung (Qualitätsstandards, Rezepten, Saisonkalender, Bastelanleitungen etc.) finden Sie auf der Internetseite der Deutschen Gesellschaft für Ernährung (DGE) – „Fitkid“sowie in der Broschüre der SLfG „Essen und Trinken in der Kindertagespflege. Eine Handlungsempfehlung für Tageseltern“

Die Art der Verpflegung – selbst gekocht oder geliefert – sollte sich im Konzept der Kindertagespflegestelle finden. Bei einer Umstellung innerhalb der Verpflegung sollten die Eltern frühzeitig informiert und über die Beweggründe aufgeklärt werden.

Im Sinne des Lebensmittelrechts gelten KTPP als „Lebensmittelunternehmer“, damit unterliegen Sie der Verordnung über Lebensmittelhygiene (EG Nr. 852/2004). Ausgenommen ist hiervon KTP im Haushalt der Erziehungsberechtigten.

Hinweise zur Aufbewahrung, Be- und Verarbeitung, zum Einfrieren und Auftauen von Speisen, zu besonderen Produktgruppen sowie zu Besonderheiten in der Gemeinschaftsverpflegung unter Beachtung der geltenden Rechtsvorschriften finden Sie hier sowie in der Broschüre des Bundesverbandes für Kindertagespflege „Die Leitlinie für eine gute Lebensmittelhygienepraxis in der Kindertagespflege“.

Eine Übersicht zu den Verpflegungsbesonderheiten innerhalb der Altersstufen zwischen 0 und 3 Jahren finden Sie hier.


1153749A

Die Verbraucherzentrale Nordrhein-Westfalen bietet eine Ideen-Box mit dem Titel "Die Welt der Lebensmittel entdecken mit Krümel und Klecksi"

Die Ideen-Box beinhaltet kindgerechtes Material für Kinder zum Thema Ernährung und bietet Ideen für Aktionen. Die Ideen-Box ist abgestimmt auf den Jahreskreis.

Weitere Informationen erhalten Sie hier.


Ein Artikel aus dem Online- Familienhandbuch des Das Staatsinstitut für Frühpädagogik (IFP) , beschäftigt sich mit den vielen Facetten des gemeinsamen Essens mit Kindern und wirft die Frage auf:

„Wie kann das Familienessen zu einem positiven Erlebnis für alle werden?“

Was brauchen Kinder, um eine gesunde Esskultur zu entwickeln? Was lernen Kinder bei gemeinsamen Mahlzeiten? Was sollen Erwachsene dabei beachten? Wie kann ein gemeinsames Essen zu einer positiven Erfahrung für das Kind werden?

Den Artikel finden Sie hier

E - Ersatzbetreuung

Damit Kinder auch in Ausfallzeiten der vertrauten Kindertagespflegeperson (KTPP) sicher und gut betreut werden, ist es wichtig, dass jede KTPP in ein funktionierendes Vertretungssystem eingebunden ist. Hierbei sollte beachtet werden, dass den Eltern und vor allem den Kindern die Ersatzbetreuungsperson vertraut ist und es möglich war, bereits im Vorfeld eine Beziehung zu dieser Person aufzubauen. Hierfür bedarf es einer intensiven Eingewöhnung.

Um Vertretungszeiten möglichst gering zu halten, sollten Urlaubszeiten und andere planbare Ausfallzeiten rechtzeitig mit den Eltern abgestimmt werden, so dass eine Ersatzbetreuung bestenfalls nur für kurzfristige, unvorhersehbare Ausfallzeiten genutzt werden muss.

Das Erheben eines zusätzlichen Elternbeitrages für die Ersatzbetreuung ist rechtlich nicht zulässig.

Wird Kindertagespflege (KTP) nach § 3 SächsKitaG angeboten handelt es sich um ein kommunales Angebot. Die Verantwortung für die Bereitstellung einer Vertretung sowie deren Finanzierung trägt die Kommune in Abstimmung mit dem Jugendamt.

Wird KTP nach § 23 SGB VIII - und nicht nach SächsKitaG finanziert - angeboten, trägt der örtliche Träger der öffentlichen Jugendhilfe (Jugendamt) die Verantwortung für die Bereitstellung einer Vertretung sowie deren Finanzierung. Die Betreuung von Kindern einer zugelassenen KTPP durch eine nicht zugelassene Ersatzperson, in deren Abwesenheit, gilt als nicht gesetzeskonform und kann den fristlosen Entzug der Zulassung zur Folge haben.

Die Ausfallzeiten von KTPP sollten bereits in der Bedarfsplanung gemäß § 8 SächsKitaG berücksichtigt werden.

Weiterhin ist zu beachten, dass der Vertretungsperson die Geeignetheit für die Tätigkeit vom örtlichen Träger der öffentlichen Jugendhilfe (Jugendamt) bestätigt wurde. Dies erfolgt mittels Eignungsbescheid. Vertretungspersonen müssen immer vom Jugendamt zugelassen sein, ausgenommen davon sind Notfallsituationen.

Weitere Informationen zum Thema Vertretung (Vertretungsregelungen/-systeme) finden Sie in der Broschüre der Informations- und Koordinierungsstelle Kindertagespflege in Sachsen (IKS) "Vertretung in der Kindertagespflege. Grundlagen und Ansätze – eine sächsische Arbeitshilfe"

Sowie in der Handreichung des DJI zum Thema Vertretung in der Kindertagespflege. Diese finden Sie hier.

E - Erste-Hilfe

Entsprechend der Empfehlung des Landesjugendamtes Sachsen zu Leistungen der Jugendhilfe in Form von Kindertagespflege ist die Teilnahme an einem Erste-Hilfe-Kurs für Säuglinge und Kleinkinder als Voraussetzung zur Aufnahme der Tätigkeit als Kindertagespflegeperson nachzuweisen.

Die im Erst-Hilfe-Kurs für Säuglinge und Kleinkinder erworbenen Kenntnisse und Fertigkeiten sollen regelmäßig, mindestens im Rhythmus von fünf Jahren, aufgefrischt werden.

Im Alltag mit Säuglingen und Kleinkindern folgende Vorsichtsmaßnahmen beachtet werden:

  • geeignetes Erste-Hilfe-Material, bspw. ein Verbandkasten nach DIN 13157, verfügbar sein (Achten Sie dabei bitte auf das Ablaufdatum!)
  • geeignetes Erste-Hilfe-Material, bspw. bei Ausflügen mitzuführen
  • tragen Sie beim Verlassen der Wohnung (bspw. zum Spielen im Garten, einem Ausflug auf den Spielplatz etc.) ein Telefon bei sich, um in Notfällen schnell Hilfe anfordern zu können

Die Unfallkasse Sachsen hält Ihnen folgende unterstützende Materialien zur Verfügung:

Die BGW-online hält Ihnen folgende unterstützende Materialien zur Verfügung:

Weitere Informationen zur Unfallversicherung erhalten Sie hier .

E - Erstwunsch Kindertagespflege - Eine Studie zum Entscheidungsverhalten von Dresdner Eltern

Der Eigenbetrieb Kindertageseinrichtungen Dresden sowie die Beratungs- und Vermittlungsstelle für Kindertagespflege des Malwina e. V. stellen in einer Studie das Entscheidungsverhalten von Dresdner Eltern hinsichtlich der gewählten Betreuungsform für ihre Kinder vor.

Für die Studie wurden ca. 1700 Eltern in Dresden-Blasewitz, Dresden-Pieschen und Dresden-Neustadt befragt. 50 Prozent der Eltern nahmen an der Befragung teil.

Mittels Fragebogen wurden für die Eltern wichtige Betreuungsmerkmale sowie die Wahrscheinlichkeit deren Umsetzung erfragt.

Im Ergebnis der Studie konnte u. a. festgestellt werden, dass vor allem die individuelle Betreuung durch eine einzelne Bezugsperson sowie die vertrauensvolle Atmosphäre entscheidend für die Wahl des Angebotes waren und sind. Im Allgemeinen sind über 90 Prozent der Dresdner Eltern mit ihrer gewählten Betreuungsform sehr zufrieden.

Sabine Bibas, Betriebsleiterin des Eigenbetriebs Kindertageseinrichtungen Dresden, sagte zu den Ergebnissen: „Die hohe Zufriedenheit der Eltern aus Kindertagespflegestellen verdeutlicht erneut, dass Kindertagespflege sehr geeignet für unter dreijährige Kinder ist. Wir haben erkannt, dass die frühzeitige Information von Eltern zu den jeweiligen Struktur- und Qualitätsmerkmalen sie noch besser befähigt, das beste Angebot für ihre Familien zu finden.“

Die Studie wurde vom Institut für Soziologie der TU Dresden durchgeführt.

Weitere Informationen können Sie dem Presseartikel der Dresdner Neueste Nachrichten (DNN) am 25.06.2015 entnehmen. Sie finden den Artikel hier.

Weitere Inhalte zur Studie finden Sie hier.

E - Ertragssteuerliche Behandlung der Kindertagespflege

Am 06. April 2023 veröffentlichte das Bundesministerium für Finanzen eine aktuelle Information zur ertragssteuerlichen Behandlung der Kindertagespflegepersonen. Folgende Informationen sind darin u. a. enthalten:

  • Kindertagespflegepersonen können weiterhin statt der tatsächlichen Betriebsausgaben von den erzielten Einnahmen 400 € je Kind und Monat pauschal als Betriebsausgaben abziehen
  • Regelungen zum Umgang mit der Betriebskostenpauschale im Vertretungsfall und bei Finanzierung eines Freihalteplatzes

Die Information des Bundesministeriums steht Ihnen hier zum Download bereit.

Beachtung steuerliche Regelungen:

Wir möchten Sie darüber informieren, dass zwingend alle Einnahmen im Rahmen der Kindertagespflege angeben werden müssen. Hierzu zählen u. a. auch alle Einnahmen des Essengeldes – auch, wenn sie selbst kochen. Das Finanzamt hat die Möglichkeit Rückforderungen bis zu 10 Jahre zu erheben.

F
F - Fachberatung
Fachberatung in der Kindertagespflege

Gemäß § 23 SGB VIII gehört es zu den Aufgaben des öffentlichen Trägers der Kinder- und Jugendhilfe Fachberatung im Themenfeld Kindertagespflege anzubieten. Fachberatung ist ein Unterstützungsinstrument zur Aktivierung der eigenen Ressourcen der Kindertagespflegeperson (KTPP), zur weiteren Entwicklung der Arbeit in der Kindertagespflege (KTP)-Stelle.

Die Beratung im Themenfeld KTP zeichnet sich durch einen sehr vielfältigen Beratungsinhalt aus. Gemäß § 23 Abs. 1 SGB VIII handelt es sich um „fachliche Beratung, Begleitung und weitere Qualifizierung“, in § 23 Abs. 4 SGB VIII wird dies noch einmal um den Aspekt erweitert, dass sich die Beratung auf „alle Fragen der Kindertagespflege“ bezieht. Hierbei kommt es auch zu professionsübergreifenden Fragestellungen bspw. zum Sozialversicherungs- oder Steuerrecht. Da im Themenfeld KTP zwischen KTPP und Fachberatung kein Einrichtungsleiter oder i. d. R. Träger zwischengestellt ist, beinhaltet das Aufgabengebiet der Fachberatung auch die Sicherung der pädagogischen Qualität sowie die Umsetzung des Förderauftrages, wodurch ihr vorrangig eine Unterstützungsfunktion zugeschrieben wird.

Aufgabenfelder der Fachberatung Kindertagespflege:

a) Beratung gegenüber den am System Beteiligten Personen (Eltern, KTPP, Mitarbeiter/in in der Kommune)

b) Organisation der Vertretung der KTPP

c) Eignungs- und Erlaubniserteilung

d) Kontaktperson bei (Verdacht auf) Kindeswohlgefährdung

e) Beteiligung am Prozess der Bedarfsplanung/ Schaffung von Betreuungsplätzen in KTP

a) Beratung gegenüber den am System Beteiligten Personen

Die Beschreibung der Beratungsinhalte sowie der Voraussetzungen basieren auf DJI 2012, BVKTP 2011, SMS 2012 sowie SMK 2013. Diese sind nicht abschließend.

Fachliche Beratung/Begleitung und weitere Qualifizierung (gemäß § 23 Abs. 1 SGB VIII):
  • Pädagogische und psychologische Beratung (z. B. pädagogischer Alltag mit den Kindern, (früh-) kindliche Bildung, Bildungsauftrag, Kindeswohl, Kinder mit besonderen Bedarfen)

  • Persönliche Begleitung und Unterstützung

  • Unterstützung in der qualitativen Weiterentwicklung- Konfliktberatung (z. B. in Zusammenarbeit mit Eltern)

  • Supervisorische und selbstreflexive Beratung (Dieser kommt eine besondere Bedeutung zu, da es sich bei KTPP nicht um pädagogische Fachkräfte im Sinne des § 72 SGB VIII und SächsQualiVO handelt)

  • Beratung zum Aufbau einer KTP-Stelle sowie zum Erwerb und Erhalt der Pflegeerlaubnis

  • Konzeptions(weiter-)entwicklung

  • Organisatorische Beratung (z. B. Alltagsstrukturierung)

  • Beratung für Kindertagespflege im Verbund (z. B. Netzwerke)

  • Ersatzbetreuung

  • Aktuelle rechtliche, wissenschaftliche und allgemeine Informationen

  • Angebot und/oder Durchführung von Fortbildungen

  • Ausarbeitung eines Profils der KTP/ KTPP

    Beratung in allen Fragen der Kindertagespflege (§ 23 Abs. 4 SGB VIII)

  • Organisatorische Beratung von KTPP

    • Beratung zu rechtlichen Rahmenbedingungen und Grundlagen (Bundes-, Landesrecht, kommunale Regelungen, Sonderregelunge etc.)
    • Administrative Beratung (Versicherungen, Abrechnung, steuerliche und betriebswirtschaftliche Fragen etc.)
    • Sonstige rechtliche Regelungen (Betriebskostenpauschale, nebenberufliche Tätigkeit, Vorschriften und Empfehlungen etc.
    • Vertragsgestaltung
  • Beratung von Zusammenschlüssen

    • Beratung bei Gründung von (Vereinen, Interessengemeinschaften etc.)
    • Unterstützung bei der Organisation von Gesprächsgruppen (Netzwerke etc.)
    • Begleitung und Beratung bei gruppendynamischen Prozesseno Förderung der Gruppen- und Gesprächsleitungskompetenzen für KTPP die Koordination eines Zusammenschlusses übernehmen
    • Anleitung zur kollegialen Beratung
    • Niedrigschwellige Angebote zum Erfahrungsaustausch
  • Beratung von Eltern

    • Erstberatung über strukturelle und pädagogische Gegebenheiten der Betreuung in KTP
    • Nachhaltige, passgenaue u. U. Kreis- oder Kommune übergreifende Vermittlung eines Betreuungsplatzes unter Beachtung:
    • der Erziehungsvorstellungen
    • der Betreuungszeiten
    • der Persönlichkeit
    • der geografischen Nähe
    • des Verfahrens bei besonderen Bedarfen des § 1 Abs. 3 SGB VIII, der eine Vermittlung ohne persönlichen Kontakt nahezu ausschließt
    • Aufzeigen erforderlicher Handlungsschritte Fachliche Begleitung der Betreuungsverhältnisses
    • Fachliche Begleitung der Betreuungsverhältnisses
    • Beratung bei:
    • Konflikten
    • Familialen Veränderungen
    • Bedarfsänderungen
    • Mangelnder Passung zwischen KTPP und Erziehungsberechtigten
    • Übergang in andere Betreuungsform
  • Beratung von Trägern und Kommunen

Der Anspruch auf Beratung gemäß § 23 Abs. 4 SGB VIII bezieht sich auf alle KTP-Verhältnisse, auch auf privat vermittelte und erlaubnisfreie KTP sowie auf Personen die sich mit der Ausübung der Tätigkeit aktuell auseinander setzen.

Um eine entsprechende Beratungsqualität gewährleisten zu können sind verschiedenste Voraussetzung notwendig:

  • Selbstverständnis der Fachberatungsstelle
  • Klares Aufgaben- und Leistungsspektrum sowie deren Verteilung innerhalb des Teams/der Abteilung
  • Klarer rechtlicher Rahmen
  • Klare Haltung und Einstellung (vor allem bei Beratungen außerhalb der Sach- und Fachebene, in welchen eigene Wertmaßstäbe und Normen die Basis der Beratung bilden)
  • Rollenverständnis
  • Verhältnis der Kontrolle bzw. Aufsicht zu Prozessen der vertrauensvollen, fachlichen Beratung
  • Verhältnis von Fachberatung als Lobbyarbeit
b) Organisation der Vertretung der KTPP

Der Anspruch auf Vertretung ist in § 23 SGB VIII verankert und formuliert einen klaren Auftrag an den Träger der öffentlichen Jugendhilfe für Ausfallzeiten einer Tagespflegeperson rechtzeitig, d. h. vor dem Eintreten eines Vertretungsfalls, eine andere Betreuungsmöglichkeit für das Kind sicherzustellen. Zudem befindet sich der öffentlichen Träger der örtlichen Jugendhilfe in der fachlichen Verantwortung der Implementierung einer Vertretungslösung sowie der damit verbundenen Erteilung der Eignung und/oder Erlaubnis.

c) Eignungs- und Erlaubniserteilung

Gemäß § 43 Abs. 1 SGB VIII bedarf eine Person, die ein Kind oder mehrere Kinder außerhalb des Haushalts des Erziehungsberechtigten während eines Teils des Tages und mehr als 15 Stunden wöchentlich gegen Entgelt länger als drei Monate betreuen will, der Erlaubnis. Voraussetzung für die Erteilung der Erlaubnis ist die Feststellung der Eignung. Beides erfolgt durch den örtlichen Träger der öffentlichen Jugendhilfe.

d) Kontaktperson bei (Verdacht auf) Kindeswohlgefährdung

Es bedarf eines unterstützenden Netzwerkes und einer wertschätzenden Begleitung durch die Fachberater, in dem die KTPP die Beobachtung mitteilen kann. Dem Jugendamt obliegt die Verantwortung, dass die Fachberatung in der Region Kontakte zur Verfügung stehen, bei welchen sie Unterstützung in fachrelevanten Fragen einholen kann.

In den Qualitätskriterien für die Kindertagespflege im Freistaat Sachsen wird ausgeführt, dass es Ziel einer kontinuierlichen fachlichen Beratung und Begleitung der KTPP ist, einen fachkompetenten Umgang mit kindeswohlgefährdenden Situationen zu erlangen und Beratung zum Schutzauftrag nach § 8a SGB VIII zu erhalten.

Persönliche und fachliche Voraussetzungen der Mitarbeiter/innen in der Fachberatung:
  • Qualifikation gemäß § 4 SächsQualiVO in Verbindung mit § 6 SächsQualiVO sowie der Fachberaterqualifikation
  • Kenntnis des Arbeitsfeldes Kindertagespflege
  • Kenntnisse zur Umsetzung des Sächsischen Bildungsplanes
  • Besonderheiten bei Kindern unter 3 Jahren (Bildung, Eingewöhnung etc.)
  • Erfahrung im Beratungskontext
  • Methodenkompetenz
  • Bereitschaft zur Supervision
  • Positive Haltung gegenüber der Betreuungsform Kindertagespflege
  • Transparentes, authentisches und wertschätzendes Auftreten gegenüber allen Beteiligten im Themenfeld
  • Dialogische Offenheit
  • Empathie
  • Reflexionsbereitschaft
  • Akzeptanz gegenüber Verschiedenheit (Lebensentwürfe, Raumgestaltung, Herkunft, Religion etc.)
  • Ausgeglichenheit
  • Belastbarkeit
Rahmenbedingungen:
  • Personelle Ausstattung (Empfehlung nach Jurczyk et al. 2004: 40 Kindertagespflegeverhältnisse (= Kinder) : 1 Fachberater/in
  • Trennung zwischen Beratungs- und Aufsichts-/Entscheidungsfunktion

Broschuere_Fachberatung_BVKTP

In der Broschüre "Für alle Fälle: Fachberatung in der Kindertagespflege. Eine Bestandsaufnahme" fasst der Bundesverband für Kindertagespflege seine Studienergebnisse zu den vielfältigen Anforderungen an Fachberatung zusammen. Die Broschüre zur Studie finden Sie hier.

F - Fachliche Empfehlungen zur Qualität der Bildung, Erziehung und Betreuung der unter Dreijährigen in Kindertageseinrichtungen und Kindertagespflege
Link: 0c9e2531f1b9ed2c5d93633a871116be.pdf
Stand: beschlossen auf der 107. Arbeitstagung der Bundesarbeitsgemeinschaft der Landesjugendämter vom 04. bis 06. November 2009 in Hamburg
F - Fakten und Empfehlungen zu den Neuregelungen in der Kindertagespflege

Link: https://www.bmfsfj.de/resource/blob/89194/5cf88fb5f7746b182b26935f371088e6/fakten-kindertagespflege-data.pdf

Die Fakten und Empfehlungen zu den Neuregelungen in der Kindertagespflege geben Auskunft über folgende Themen:

  • Besteuerung
  • Kranken- und Pflegeversicherung
  • Rentenversicherung
  • Vergütung
  • Erstattung von Sozialversicherungsbeiträgen
  • Kostenbeiträge
  • Erläuterungen zu § 43 SGB VIII (Pflegeerlaubnis)
  • Nutzung gemeinsamer Räumlichkeiten (§ 22 Abs. 1 SGB VIII)
  • Masernschutzgesetz / Impfpflicht
F - Familiennahes Profil (Besonderheiten)

In Sachsen orientiert sich die Kindertagespflege (KTP) an einem „familiennahen Profil“. Familiennah impliziert eine Betreuung in einer kleinen Gruppe, von maximal fünf fremden, gleichzeitig anwesenden Kindern. Die Nutzung privater Räume kann mit einer engeren Anbindung an das familiäre Umfeld der Kindertagespflegeperson (KTPP) einhergehen.

Die Betreuung von Kindern innerhalb einer kleinen Gruppe ist flexibel, individuell und überschaubar. Eltern und Kinder haben eine feste Bezugsperson, eine(n) Ansprechpartner(in). Diese wechselt i. d. R. tagsüber nicht. Dadurch wird die Tagesorganisation und das Umfeld für das Kind überschaubar. Es finden intensive Interaktionen zwischen der KTPP und dem einzelnen Kind statt. Das Kind erlebt dadurch einen familienähnlichen Alltag. Es kann sich in einer ruhigen, geborgenen Atmosphäre behütet entwickeln. Orientiert am Entwicklungsstand des Kindes bietet die KTPP eine anregende, alltagsnahe Bildungsumgebung.

Besonderheit: Die familiennahe Betreuung in der KTP leistet einen, in nationalen und internationalen Studien nachgewiesenen qualitativ hochwertigen Beitrag zur individuellen Förderung und selbstbestimmten Entwicklung der Kinder. Die Qualität der Beziehungen in der KTP ist durch nur eine Bezugsperson außerhalb der familiären Betreuung und deren Verständnis zum Zusammenhang von Bindung und Bildung geprägt und garantiert.

F - Fluchterfahrungen bei Kindern

Der Bundesverband für Kindertagespflege startete das begleitete Internetforum zum Thema "Kinder mit Fluchthintergrund".

Fachberater:innen sind herzlich eingeladen sich unter dem Link www.bvktp.de/forum-kimf anzumelden, um Fragen zum Thema zu stellen, Ihre Erfahrungen weiter zu geben und mit Kolleg:innen in den Austausch zu gehen. Moderiert wird das Forum von Mitarbeiter:innen des Bundesverbandes für Kindertagespflege.

Hinweise zu unbegleiteten Kindern und Jugendlichen mit Fluchterfahrungen finden Sie hier.

Durch das Erzbistum Köln wurde eine Orientierungshilfe zur Betreuung von Flüchtlingskindern in Kindertageseinrichtungen veröffentlicht. Diese finden Sie hier.

F - Fortschreibung der Empfehlung des Sächsischen Landesjugendamtes zur Bedarfsplanung für Kindertageseinrichtungen und Kindertagespflege im Freistaat Sachsen
Link: Download Fortschreibung der Empfehlung des Sächsischen Landesjugendamtes zur Bedarfsplanung für Kindertageseinrichtungen und Kindertagespflege im Freistaat Sachsen
Ausfertigungsdatum: 10.03.2016
Vollzitat: Fortschreibung der Empfehlung des Sächsischen Landesjugendamtes zur Bedarfsplanung für Kindertageseinrichtungen und Kindertagespflege im Freistaat Sachsen
Stand: verabschiedet vom Landesjugendhilfeausschuss am 10.03.2016
F - Foto- und Filmerlaubnis

Prof. Beate Naake verfasste 2018 in der ZeT - Zeitschrift für Tagesmütter und -väter den Artikel "Fotografieren erlaubt? Über das Recht am eigenen Bild". Ebenfalls in dieser Ausgabe sind Hinweise gegeben, was bei der Einwilligung von Foto- und Filmaufnahmen zu beachten ist. Hier gelangen Sie zu dem Artikel.

Beachten Sie bitte auch die Hinweise zum Datenschutz hier.

F - Führungszeugnis

Um eine Eignung als Kindertagespflegeperson (KTPP) zu erhalten, bedarf es unter anderem der Erfüllung persönlicher Voraussetzungen. Die persönliche Eignung wird anhand eines erweiterten Führungszeugnisses gemäß § 72a Abs. 1 SGB VIII sowie eines Gesundheitszeugnisses geprüft.

Das erweiterte Führungszeugnis muss persönlich bei der Wohnsitz zuständigen Meldebehörde beantragt werden.

Das Führungszeugnis gemäß § 30 BZRG, § 30a BZRG sowie das Europäische Führungszeugnis sind grundsätzlich gebührenpflichtig.

Gebühren müssen nicht entrichtet werden, wenn ein Führungszeugnis zur Ausübung einer ehrenamtlichen Tätigkeit benötigt wird. Darüber hinaus kann das Bundesamt für Justiz auf Antrag die Gebühr ermäßigen oder von der Erhebung der Kosten absehen, wenn die Antragstellerin oder der Antragsteller mittellos ist oder das Führungszeugnis für einen besonderen Zweck verwendet wird und daher von den Gebühren aus Billigkeitsgründen abgesehen werden kann.

Besonders bei Pflegeeltern und Tagespflegepersonen gab es in den letzten Jahren immer wieder Fragen zu den Gebühren für Führungszeugnisse, die vom Bundesamt für Justiz zum Teil unterschiedlich beantwortet wurden. Im Oktober 2013 veröffentlichte das Bundesamt für Justiz ein neues Merkblatt, aus welchem hervorgeht, dass Vollzeitpflegepersonen keine Gebühr für die Führungszeugnisse bezahlen müssen, Tagespflegepersonen jedoch Gebühren entrichten müssen.

Weitere Informationen finden Sie im Schreiben "Erhebung von Gebühren für ein Führungszeugnis des Sächsischen Staatsministeriums für Soziales und Verbraucherschutz".

G
G - Gerichtsentscheidung

Gerichtsentscheidung des BVerwG zu den Geldleistung gemäß § 23 Abs. 2 SGB VIII bei öffentlich geförderter Kindertagespflege

Das Bundesverwaltungsgericht (BVerwG) hat sich im November 2022 erneut mit der laufenden Geldleistung befasst, die Kindertagespflegepersonen bei öffentlich geförderter Kindertagespflege gemäß § 23 Abs. 2 SGB VIII von den Jugendhilfeträgern erhalten. Diesmal stand vor allem die Sachkostenerstattung (§ 23 Abs. 2 Nr. 1 SGB VIII) im Fokus dreier Entscheidungen, darunter eine Entscheidung aus NRW. Die Entscheidungen des BVerwG sind veröffentlicht worden. Die Rechtsanwältin Iris Vierheller hat auf Anfrage des Landesverbandes Kindertagespflege NRW e.V. (LV KTP NRW) eine Kurz-Information dazu verfasst, die wir Ihnen zur Verfügung stellen dürfen.

Kurzinformation Sachaufwand

G - Gesetz: SächsKitaG - mit Hinweisen zu den Änderungen

Das SächsKitaG – In der aktuellen Fassung vom 1. Juni 2023: Gesetz über Kindertageseinrichtungen – SächsKitaG

Synopse zum neuen SächsKitaG – Darstellung und Begründung der Änderungen zur vorangegangenen Fassung in einer Gegenüberstellung

Einzelne Erläuterungen der Veränderungen durch das Sächsische Ministerium für Kultus, Referat 42 vom 16.06.2023

H
H - HACCP- Konzept in der Kindertagespflege

HACCP = Hazard Analysis and Critical Control Points-Konzept

Hazard = Gefahr = Analyse der denkbaren Gefahren
Analysis = Analyse = Analyse der denkbaren Gefahren
Critical = kritisch (bezogen auf die Gesundheit des Verbrauchers) = Ein Prozessschritt, bei dem Gesundheitsgefahr vermieden, beseitigt oder reduziert werden kann.
Control = lenken, steuern, beherrschen = Ein Prozessschritt, bei dem Gesundheitsgefahr vermieden, beseitigt oder reduziert werden kann.
Point = Stufe, Schritt im Herstellungsprozess = Ein Prozessschritt, bei dem Gesundheitsgefahr vermieden, beseitigt oder reduziert werden kann.

HACCP, ist ein Ansatz, um die Risiken die im Zusammenhang mit Lebensmitteln sowie deren Verarbeitung stehen, zu verstehen sowie deren Vermeidung durch gezielte Maßnahmen aktiv zu beeinflussen.

Als Anforderung aus der Verordnung (EG) Nr. 852/2004 müssen auf Basis der HACCP-Grundsätze Maßnahmen zur Eigenkontrolle, zur Analyse von Gefahren und zur Definierung „kritischer Kontrollpunkte“ zur Reduktion oder Beseitigung von Gefahren getroffen werden.

Achtet die KTPP auf die Einhaltung der Anforderungen zur Lebensmittelhygiene und die damit verbundene Realisierung der Kontrollen sowie der ggf. notwendigen Maßnahmenumsetzung, kann auf die vollständige Umsetzung eines HACCP-Konzeptes verzichtet werden.

H - Hausbesuche durch das zuständige Jugendamt in Kindertagespflegestellen

An Verantwortliche im Themenfeld Kindertagespflege werden immer wieder Anfragen gerichtet, welche sich auf Hausbesuche in der Kindertagespflegestelle durch Mitarbeitende des öffentlichen Trägers der örtlichen Jugendhilfe (Jugendamt) beziehen.

Neben den in der Stellungnahme zur Rechtlichen Einordnung unangemeldeter Hausbesuche des Jugendamts bei Tagespflegepersonen des Deutschen Instituts für Jugendhilfe und Familienrecht e.V. von 2010 veröffentlichten Aspekte zum Hausbesuch, welche sich auf:

  • die Zeit vor Erteilung einer Erlaubnis,
  • die Zeit nach Erteilung einer Erlaubnis,
  • die Abgrenzung zwischen Vollzeitpflege und Kindertagespflege sowie
  • den Grundsatz der Verhältnismäßigkeit beziehen, möchten wir den Aspekt des Schutzauftrages nach § 8a SGB VIII in Verbindung mit § 20 SGB X ergänzen.

Zu unterscheiden sind angekündigte und unangekündigte Hausbesuche.

Angekündigte Hausbesuche

Vor Erteilung einer Erlaubnis

Für die Erlaubniserteilung ist es notwendig, die:

  • persönliche Voraussetzung (Eigenschaften und Fähigkeiten gemäß § 23 Abs. 3 und § 43 Abs. 2 SGB VIII),
  • gesundheitliche Voraussetzung (erweitertes Führungszeugnis gemäß § 3 SächsQualiVO; Gesundheitszeugnis gemäß § 3 SächsQualiVO),
  • fachliche Voraussetzung (mind. Absolvierung des praxisvorbereitenden Abschnittes des DJI-Curriculum gemäß § 3 SächsQualiVO, Konzeption, 1.-Hilfe-Kurs für Säuglinge und Kleinkinder) sowie
  • kindgerechten Räumlichkeiten zu überprüfen.

Für Letzteres ist ein angekündigter Hausbesuch unerlässlich. Sollte dieser verweigert werden, ist die Verwaltung gezwungen einen Ablehnungsbescheid zu erlassen.

Nach Erteilung der Erlaubnis

Zur Ausgestaltung der Aufsicht über die Betreuung von Kindern gibt das SGB VIII keine Auskünfte.

Auftrag des Jugendamtes ist es:

  • den Schutz der betreuten Kinder zu sichern sowie
  • die Qualitätsentwicklung und
  • die Standardsicherung sicherzustellen.

Mit der Aufsicht verfolgt das Jugendamt den Zweck der Informationsgewinnung. Hierbei soll sichergestellt werden, dass die zum Zeitpunkt der Erlaubniserteilung nachgewiesenen Voraussetzungen noch bestehen:

  • vorliegende Fach- und Sachkompetenz
  • kindgerechte Räumlichkeiten
  • Übereinstimmung Betreuungsangebot und Erlaubnis (Anzahl der betreuten Kinder, Betreuungsperson etc.)

Hierbei ist jedoch darauf hinzuweisen, dass die Erlaubnis i. d. R. für die Dauer von fünf Jahren erteilt wird. D. h. eine Überprüfung der Voraussetzungen ist im Regelfall auch erst nach diesem Zeitraum notwendig. Überprüfungen innerhalb des Zeitraumes sind nur im konkreten begründeten Einzelfall möglich, bspw. wegen Änderungsmeldungen der Kindertagespflegeperson, welche eine Überprüfung notwendig macht oder eine begründete Annahme, die zu der Vermutung führt, dass „unerlaubte Kindertagespflege“ durchgeführt wird.

Abgrenzung Vollzeitpflege vs. Kindertagespflege

Die Kindertagespflege ist im Gegensatz zur Vollzeitpflege eine professionelle Dienstleistung im Kontakt mit Kindern.

Die Erlaubnistatbestände der Vollzeitpflege sind hinsichtlich ihrer Ausrichtung – im Fall der Vollzeitpflege konkret auf das einzelne Kind – abgrenzbar zur Kindertagespflege, welche sich abstrakt auf die Kindertagespflegeperson beziehen.

Auch hinsichtlich Dichte und Methoden der Überprüfung sind zwischen Vollzeitpflege und Kindertagespflege konkrete Unterscheidungen vorzunehmen, da in der Kindertagespflege dem Informationsbedarf des Jugendamtes die Persönlichkeitsrechte der Kindertagespflegeperson gegenüberstehen.

Unangekündigte Hausbesuche

Grundsatz der Verhältnismäßigkeit

Besteht ein begründeter Anlass, der mittels eines Hausbesuches zu untersuchen ist, kann ein unangemeldetes Aufsuchen der Kindertagespflegestelle vorgenommen werden. Verhältnismäßig ist diese nur dann, wenn kein „milderes Mittel zu Verfügung steht“.

Schutzauftrag (§ 8a SGB VIII, § 20 SGB X)

Gemäß des Urteils des Verwaltungsgerichtes Freiburg (VG Freiburg 2013) sind unangemeldete Hausbesuche durch den örtlichen Träger der öffentlichen Jugendhilfe (Jugendamt) zulässig, wenn ihm gewichtige Anhaltspunkte für eine Kindeswohlgefährdung bekannt sind. Demnach ist das Jugendamt zur Aufklärung des Sachverhaltes im Rahmen der Gefährdungseinschätzung verpflichtet. Dies kann u.U. durch einen Hausbesuch erfolgen, wenn dieser zur Informationsgewinnung (für die Gefährdungseinschätzung) sowie zum Verschaffen eines ausreichenden Bildes über die tatsächliche Situation dient.

Ziel des § 8a SGB VIII ist dabei, Kinder vor Gefahren für ihr Wohl zu schützen („Schutzauftrag“). Im ersten Schritt geht es noch nicht um eine direkt schützende Wirkung für das Kind, sondern „[…] um die Aufklärung von Verdachtsmomenten […]. Dabei haben „[…] Fachkräfte des [Jugendamtes] […] zu prüfen […], ob es Anhaltspunkte gibt, ob eine Gefährdung also möglich erscheint [„Gefährdungseinschätzung“]. […] Eine Kindeswohlgefährdung i.S.d. § 1666 Abs. 1 BGB liegt (erst) dann vor, wenn eine gegenwärtige oder zumindest unmittelbar bevorstehende Gefahr für die Kindesentwicklung abzusehen ist, die bei ihrer Fortdauer eine erhebliche Schädigung des körperlichen, geistigen und seelischen Wohls des Kindes mit ziemlicher Sicherheit voraussehen lässt. “ (Wiesner, Wapler, et al. 2022: 127f.)

Wiesner und Wapler führen dabei noch einmal explizit aus, dass es in erster Linie auf Basis vorhandener Informationen um eine Abschätzung der Situation geht, wobei zu berücksichtigen ist, dass Kindeswohl(-gefährdung) das Ergebnis eines Bewertungsprozesses ist. Für die Einleitung des Prozesses bedarf es „gewichtiger Anhaltspunkte“ („Eingangsvoraussetzung“). „Unter gewichtigen Anhaltspunkten sind konkrete Hinweise zu verstehen, die auf eine Gefährdung, bzw. eine Dynamik, die eine Gefährdung auslösen kann, hindeuten.“ (Wiesner, Wapler, et al. 2022: 129) Jede Information wird daraufhin überprüft, ob sie gewichtige Anhaltspunkte enthält. Ist dies der Fall, ist eine Gefährdungseinschätzung vorzunehmen.

Hinweis der IKS

Die IKS möchte an dieser Stelle darauf hinweisen, dass die Fachberatung unterschieden wird, in:

  1. Fachberatung im Sinne der Dienstaufsicht (insbesondere Eignungsfeststellung, Erlaubniserteilung etc.)
  2. Fachberatung als beratende und fachlich begleitende Institution

Diese Unterscheidung ist wesentlich. Dabei scheint es besonders wichtig, Rolle, Haltung und Zielsetzung eines Hausbesuches im Vorfeld klar zu definieren.

Hinsichtlich der Fachberatung als beratende und fachlich begleitende Institution gelten folgende rechtliche Grundlagen:

§ 23 Abs. 1 SGB VIII „Die Förderung in Kindertagespflege nach Maßgabe von § 24 SGB VIII umfasst die Vermittlung des Kindes zu einer geeigneten Tagespflegeperson […], deren fachliche Beratung, Begleitung und weitere Qualifizierung […].“

„Ziel ist es, die soziale und pädagogische Kompetenz der Tagespflegeperson zu erhöhen und sie bei der Umsetzung des gesetzlichen Förderauftrags […] zu unterstützen.“ (Münder 2006: 347) Nach Auffassung von Wiesner „[…] brauchen KiTagespflegepersonen ein „training on the job“. […] Die fachliche Unterstützung der KiTagespflegeperson richtet sich auf „alle Fragen der KiTagespflege“ und umfasst insbesondere praxisbegleitende Fachberatung, zeitnahe Konfliktberatung, konzeptionelle Anregungen, Vermittlung von (früh)pädagogischem Fachwissen und Können sowie (fachlich angeleitete) kollegiale Beratung und Supervision.“ (Wiesner, Wapler, et al. 2022: 458)

§ 21 Abs. 3 SächsKitaG „Für die Fachberatung im Bereich der Kindertagespflege ist der örtliche Träger der öffentlichen Jugendhilfe zuständig“

„Ein weiteres zentrales Element der Sicherung und Weiterentwicklung der Qualität der pädagogischen Arbeit in den Einrichtungen und in der Tagespflege ist die praxisbegleitende Fachberatung. […] Zu den Aufgaben der Fachberatung gehört unter anderem die fachliche Begleitung und Unterstützung aller an der Bildungs-, Erziehungs- und Betreuungsarbeit Beteiligten […]“ (Schlosser, A. et al (2007: 61)

„Die Verpflichtung, Fachberatung anzubieten, besteht nicht nur beim Aufbau einer Kindertagespflegestelle oder im Vorfeld eines konkreten Betreuungsverhältnisses, sondern umfasst auch die fachliche Begleitung bei der Ausgestaltung der Kindertagespflegeverhältnisse im Alltag sowie die Konfliktlösung in bestehenden Betreuungsverhältnissen. Die Beratungspflicht beinhaltet alle Fragen zur Kindertagespflege und die in diesem Zusammenhang auftretenden Probleme. Ziel der fachlich qualifizierten Beratung ist neben der Qualitätssicherung und -entwicklung auch das Zustandekommen und Aufrechterhalten stabiler Betreuungsverhältnisse.“ (Sächsisches Staatsministerium für Soziales und Verbraucherschutz Landesjugendamt 2019: 24).

Weitere Hinweise finden sich in der „Empfehlung des Landesjugendamtes Sachsen zur Fachberatung“ sowie in den „Qualitätskriterien für die Kindertagespflege im Freistaat Sachsen“.

In Letzterem wurde die kontinuierliche fachliche Beratung und Begleitung der Kindertagespflegepersonen beschrieben. U.a. bspw. das gegenseitige Kennenlernen - der Hausbesuch ist hier EINE Möglichkeit unter vielen anderen.

In einer wertvollen Begleitung ist der Hausbesuch ein kontinuierliches Element, um Kontakt aufzubauen, eine Beziehung herzustellen und eine fachliche Begleitung anzubieten. Im Konfliktfall braucht es Alternativen.

Quellen:

Das Achte Buch Sozialgesetzbuch – Kinder und Jugendhilfe – in der Fassung vom 11. September 2012, zuletzt geändert am 24. Juni 2022.

Deutsches Institut für Jugendhilfe und Familienrecht e.V. (2010): Stellungnahme vom 21. Dezember 2010. Rechtliche Einordnung unangemeldeter Hausbesuche des Jugendamts bei Tagespflegepersonen. URL: https://www.pfad-bv.de/dokumente/DIJuF-Rechtsgutachten%2021.12.2010%20-%20J%205.420%20unangek%c3%bcndigte%20Hausbesuche.pdf [Stand: 13.07.2022].

Münder, J. (2006): Frankfurter Kommentar zum SGB VIII: Kinder- und Jugendhilfe, Beltz Juventa.

Sächsisches Gesetz zur Förderung von Kindern in Tageseinrichtungen (Gesetz über Kindertageseinrichtungen – SächsKitaG) – in der Fassung vom 1. Januar 2009.

Sächsisches Staatsministerium für Kultus (2013): Kindertagespflege. Qualitätskriterien für die Kindertagespflege im Freistaat Sachsen.

Sächsisches Staatsministerium für Soziales und Verbraucherschutz, Landesjugendamt (2012): Empfehlungen des Landesjugendamtes Sachsen zur Fachberatung in Kindertageseinrichtungen und in Kindertagespflege.

Sächsisches Staatsministerium für Soziales und Verbraucherschutz, Landesjugendamt (2019): Empfehlung des Landesjugendamtes Sachsen zu Leistungen der Jugendhilfe in Form von Kindertagespflege - 3. Fortschreibung.

Sächsische Qualifikations- und Fortbildungsverordnung pädagogischer Fachkräfte – SächsQualiVO – in der Fassung vom 20. September 2010.

Schlosser, A. et al (2007): Sächsisches Gesetz zur Förderung von Kindern in Tageseinrichtungen. Kohlhammer Deutscher Gemeindeverlag. VG Freiburg, Beschluss vom 02.10.2013 - 4 K 1168/13. URL: https://openjur.de/u/679706.html [Stand: 13.07.2022].

Wiesner, R.; Wapler, F.; et al. (2022): SGB VIII. Kinder- und Jugendhilfe. Kommentar., 6. Aufl., C. H. Beck.

H - Haustiere in der Kindertagespflegestelle

Der Umgang mit Haustieren ist in der Kindertagespflegestelle grundsätzlich so zu gestalten, dass keinerlei Gefahren bzw. hygienische Bedenken (regelmäßige Impfschutzmaßnahmen und Entwurmungen beim Tier, guter Pflegezustand etc.) zu erwarten sind. Eine ausnahmslos unmittelbare Beaufsichtigung der Kinder im Zusammenhang mit Haustieren ist zu gewährleisten. Die Eltern der Tageskinder sind vor Abschluss der Betreuungsverträge über die Anwesenheit eines Haustieres zu informieren. Vor Aufnahme eines Haustieres in die Tagespflegestelle muss die Tagespflegeperson die Akzeptanz seitens der Eltern, mögliche allergische Risiken bei den Kindern oder sonstige Bedenken abklären. Die Fachberatung des Jugendamtes muss vor der Aufnahme eines Haustieres in die Tagespflegestelle darüber informiert werden.

Weitere Informationen zu Haustieren in der Kindertagespflegestelle finden Sie u.a. hier:

BMFSFJ: "Handbuch Kindertagespflege. Sicherheits-Checkliste Sicherheit und Unfallverhütung"

Das sichere Haus. Deutsches Kuratorium für Sicherheit im Heim und Freizeit e.V. (Hrsg.) (2016): "Informationen für Tagesmütter und Tagesväter. Kinder sicher betreuen". Hamburg S.12

I
I - Impfen

Das Sächsisches Staatsministerium für Soziales und Verbraucherschutz (SMS) veröffentlicht ein Schreiben zum Sonderheft der Zeitschrift ,,Kinderstube" welches sich dem Thema Impfen intensiv widmet.

Das Anschreiben des SMS finden Sie hier.

Das Sonderheft der Zeitschrift "Kinderstube" steht hier als PDF zur Verfügung.

I - Individuelle Lern- und Entwicklungsdokumentation in sächsischen Kindertageseinrichtungen und in der Kindertagespflege

Ausfertigungsdatum: 30.04.2014

Bild_Indiv_Lern_u_Entw_doku

Zur Anwendung in der pädagogischen Praxis, soll die Broschüre dabei unterstützen, Beobachtungen aus der Perspektive des Sächsischen Bildungsplans durchzuführen. In der Broschüre wird neben gesetzlichen Rahmenbedingungen, der Zusammenhang zwischen Beobachtung, Dokumentation und der Qualitätsentwicklung in der Kinderbetreuung in den Blick genommen. Die Broschüre gibt zu dem Orientierungs– sowie Praxishinweise für die Auswahl eines geeigneten Beobachtungsinstrumentes.

An der Erstellung der Broschüre waren Fachberater(innen), Trägervertreter(innen) sowie Leiterinnen und Erzieherinnen beteiligt.

I - Infektionsschutzgesetz

Link: Infektionsschutzgesetz

Abkürzung: IfSG

Ausfertigungsdatum: 20.07.2000

Vollzitat: "Infektionsschutzgesetz vom 20. Juli 2000 (BGBl. I S. 1045), das durch Artikel 4 Absatz 21 des Gesetzes vom 7. August 2013 (BGBl. I S. 3154) geändert worden ist"

Stand: Zuletzt geändert durch Art. 3 G v. 21.3.2013 I 566 (Hinweis: Änderung durch Art. 5 Abs. 2 G v. 20.4.2013 I 868 (Nr. 19) textlich nachgewiesen, dokumentarisch noch nicht abschließend bearbeitet Änderung durch Art. 2 Abs. 36 G v. 7.8.2013 I 3154 (Nr. 48) textlich nachgewiesen, dokumentarisch noch nicht abschließend bearbeitet Änderung durch Art. 4 Abs. 21 G v. 7.8.2013 I 3154 (Nr. 48) noch nicht berücksichtigt )

Ein Hinweisschreiben des Sächsischen Staatsministerium für Kultus und Sport zur „Anwendung §§ 33-35 und 42-43 Infektionsschutzgesetz in der Kindertagespflege und für pädagogische Fachkräfte in Kindertageseinrichtungen" finden Sie hier.

Neuregelungen im Infektionsschutzgesetz - Stand 09/2017

Mit der Veränderungen des § 34 Absatz 10a des Infektionsschutzgesetzes werden die Leitungen von Kindertageseinrichtungen verpflichtet, das Gesundheitsamt zu benachrichtigen, wenn Eltern bzw. Personensorgeberechtigten keinen Nachweis über eine ärztliche lmpfberatung vorgelegt können. Nach Aussagen des Sächsischen Staatsministeriums für Kultus trifft diese Neuregelung nicht auf die Kindertagespflege zu.

I - Information des SMK zu den Anforderungen zur Lebensmittelhygiene

Link: SMK-Lebensmittelhygiene

Ausfertigungsdatum: Juli 2012

Vollzitat: Information des Sächsischen Staatsministeriums für Kultus und Sport Anforderungen an die Lebensmittelhygiene in Zusammenhang mit der Prüfung bzw. Erteilung der Erlaubnis für Kindertagespflegepersonen - Merkblatt über Lebensmittelhygiene in der Kindertagespflege

I - Inklusion

"Grundsätzlich steht Kindertagespflege allen Kindern in ihrer jeweiligen Verschiedenheit offen. Für Kinder, die aufgrund besonderer Lebenslagen ein zahlenmäßig überschaubares Angebot brauchen, kann Kindertagespflege besonders entwicklungsförderlich sein. Das Zusammensein in der Kindertagespflege soll den Kindern Differenzerfahrungen ermöglichen. Insofern ist Kindertagespflege in gleicher Weise wie die Kindertageseinrichtung ein inklusives Angebot." (Empfehlung des Landesjugendamtes Sachsen zu Leistungen der Jugendhilfe in Form von Kindertagespflege)

Zur Unterstützung im Thema inklusive Betreuung stehen Ihnen die folgenden Checklisten zur Verfügung:

K
K - Kinderrechtskonvention

Link: Kinderrechtskonvention Ausfertigungsdatum: 20.11.1989

Vollzitat: "Übereinkommen über die Rechte des Kindes"

Stand: am 26. Januar 1990 von der Bundesrepublik Deutschland unterzeichnet; (Zustimmung von Bundestag und Bundesrat durch Gesetz vom 17. Februar 1992 – BGBl. II S. 121); am 6. März 1992 Hinterlegung der Ratifikationsurkunde beim Generalsekretär der Vereinten Nationen; am 5. April 1992 für Deutschland in Kraft getreten (Bekanntmachung vom 10. Juli 1992 – BGBl. II S. 990); am 15. Juli 2010 Rücknahme der Vorbehalte zum Übereinkommen (Beschluss Bundesrat vom 26. März 2010; Kabinettsbeschluss vom 3. Mai 2010; formale Übergabe des Rücknahmeschreibens an die Vereinten Nationen am 15. Juli 2010)

K - Kindertagespflege: die familiennahe Alternative - Ein Leitfaden für Eltern
Kindertagespflege: die familiennahe Alternative - Ein Leitfaden für Eltern

Bild_Leitfaden_Eltern

2013 veröffentlichte das Bundesministeriums für Familie, Senioren, Frauen und Jugend eine Broschürenreihe, welche als Leitfäden für Kindertagespflegepersonen, Eltern, Unternehmen und Jugendämtern dienen sollen.

In dieser Broschüre "Kindertagespflege: die familiennahe Alternative - Ein Leitfaden für Eltern" finden Eltern Wissenswertes über das flexible und familiennahe Betreuungsangebot der Kindertagespflege. Sie informiert darüber, wie man eine geeignete Tagesmutter oder einen geeigneten Tagesvater findet und erläutert anhand von Praxisbeispielen, wie die Erziehungspartnerschaft zwischen Eltern und Tagespflegepersonen gestaltet werden kann.

Den Leitfaden zum Download für Eltern.

Weitere Broschüren dieser Veröffentlichungsreihe

Bild_Leitfaden_KTPP

Kindertagespflege: die familiennahe Alternative - Ein Leitfaden für Kindertagespflegepersonen

Link zum Download - Kindertagespflegepersonen

Bild_Leitfaden_Jugendamt

Kindertagespflege: die familiennahe Alternative - Ein Leitfaden für Jugendämter

Link zum Download - Jugendämter

Bild_Leitfaden_Unternehmen

Kindertagespflege: die familiennahe Alternative - Ein Leitfaden für Unternehmen

Link zum Download - Unternehmen

K - Kindertagespflege: die familiennahe Alternative - Ein Leitfaden für Jugendämter
Kindertagespflege: die familiennahe Alternative - Ein Leitfaden für Jugendämter

Bild_Leitfaden_Jugendamt

2013 veröffentlichte das Bundesministeriums für Familie, Senioren, Frauen und Jugend eine Broschürenreihe, welche als Leitfäden für Kindertagespflegepersonen, Eltern, Unternehmen und Jugendämtern dienen sollen.

Die Broschüre "Kindertagespflege: die familiennahe Alternative - Ein Leitfaden für Jugendämter" richtet sich an Jugendämter, die erfahren möchten, wie sie die Kindertagespflege in ihrem Jugendamtsbezirk qualitativ und quantitativ ausbauen können. Viele anschauliche Beispiele aus der Praxis geben Anregungen und zeigen, wie der Ausbau gelingen kann. Praxistipps und Argumentationshilfen sollen helfen, die verschiedenen Akteure in den Ausbauprozess einzubeziehen und zu beraten.

Link zum Download - Jugendämter.

K - Kindertagespflege: die familiennahe Alternative - Ein Leitfaden für Tagespflegepersonen
Kindertagespflege: die familiennahe Alternative - Ein Leitfaden für Kindertagespflegepersonen

Bild_Leitfaden_KTPP

2013 veröffentlichte das Bundesministeriums für Familie, Senioren, Frauen und Jugend eine Broschürenreihe, welche als Leitfäden für Kindertagespflegepersonen, Eltern, Unternehmen und Jugendämtern dienen sollen.

Die Broschüre "Kindertagespflege: die familiennahe Alternative - Ein Leitfaden für Tagespflegepersonen" richtet sich sowohl an Personen, die Interesse an einer Tätigkeit in der Kindertagespflege haben, als auch an bereits tätige Tagesmütter und Tagesväter. Sie finden alle Informationen rund um die Kindertagespflege: vom Einstieg über die Qualifizierung bis hin zu Weiterbildungen und Möglichkeiten der Vernetzung. Link zum Download - Kindertagespflegepersonen.

K - Kindertagespflege: die familiennahe Alternative - Ein Leitfaden für Unternehmen
Kindertagespflege: die familiennahe Alternative - Ein Leitfaden für Unternehmen

Bild_Leitfaden_Unternehmen

2013 veröffentlichte das Bundesministeriums für Familie, Senioren, Frauen und Jugend eine Broschürenreihe, welche als Leitfäden für Kindertagespflegepersonen, Eltern, Unternehmen und Jugendämtern dienen sollen.

Die Broschüre "Kindertagespflege: die familiennahe Alternative - Ein Leitfaden für Unternehmen" informiert über Potentiale und Möglichkeiten der Kindertagespflege für Unternehmen und freie Träger und gibt Anregungen, wie attraktive und bedarfsgerechte Betreuungsangebote eingerichtet werden können. Beispiele aus der Praxis veranschaulichen, wie die Zusammenarbeit mit Tagesmüttern und Tagesvätern konkret aussehen kann.

Link zum Download - Unternehmen.

K - Kindertagespflege im Freistaat Sachsen. Aktuelle Empfehlungen des Landesjugendamtes und andere Arbeitshilfen für die Praxis

Empfehlung_LJA_Arbeitshilfe

Link: https://publikationen.sachsen.de/bdb/artikel/11975

Ausfertigungsdatum: 16.03.2011

Vollzitat: Kindertagespflege im Freistaat Sachsen Aktuelle Empfehlungen des Landesjugendamtes und andere Arbeitshilfen für die Praxis

K - Kindeswohl und Kindeswohlgefährdung

Grafik_Kindeswohl

Besonders Kindertagespflegepersonen kommt hinsichtlich der Einordnung des Kindeswohls und einer Kindeswohlgefährdung eine besondere Verantwortung zu. Da Kindertagespflegepersonen in der Regel allein tätig sind, können sie Beobachtungen nicht unmittelbar mit Kollegen oder Kolleginnen besprechen sondern müssen sich auf ihre Beobachtung verlassen.

Kindertagespflegepersonen sind zu dem auch Ansprechpartner für Eltern bei pädagogischen Fragestellungen, häufig auch über die Betreuung und Förderung hinaus. Es entstehen oft vertrauensvolle Beziehungen zwischen Eltern und Kindertagespflegeperson, die dem anvertrauten Kind und der Familie zu Gute kommen können. Durch diese Nähe, hat die Kindertagespflegeperson häufig einen sehr detaillierten Einblick in das Familiengeschehen, so dass ihr in prekären Situationen eine ganz besondere Verantwortung zukommt.

Es bedarf eines unterstützenden Netzwerkes und einer wertschätzenden Begleitung durch die Fachberatung, in dem die Kindertagespflegeperson die Beobachtung mitteilen kann.

In den Qualitätskriterien für die Kindertagespflege im Freistaat Sachsen wird ausgeführt, dass die Kindertagespflegepersonen die regionalen Verfahrensabläufe sowie die Ansprechpartner die im Verdacht auf Kindeswohlgefährdung kontaktiert werden sollen, kennen muss. (Sächsisches Staatsministerium für Kultus (2013): Qualitätskriterien für die Kindertagespflege im Freistatt Sachsen, S. 10) Ein Ablaufdiagramm eines idealtypischen Vorgehens finden Sie hier.

Weiterhin wird in den Qualitätskriterien für die Kindertagespflege im Freistaat Sachsen ausgeführt, dass es Ziel einer kontinuierlichen fachlichen Beratung und Begleitung der Kindertagespflegeperson ist, einen fachkompetenten Umgang mit kindeswohlgefährdenden Situationen zu erlangen und Beratung zum Schutzauftrag nach § 8a SGB VIII zu erhalten. (Sächsisches Staatsministerium für Kultus (2013): Qualitätskriterien für die Kindertagespflege im Freistatt Sachsen, S. 31)

Der öffentliche Träger der Jugendhilfe schließt gemäß § 8a Abs. 4 SGB VIII „[…] Vereinbarungen mit den Trägern von Einrichtungen und Diensten, die Leistungen nach diesem Buch erbringender […]“. Die Leistungen „nach diesem Buch“ umfassen alle Leistungen des Achten Buches Sozialgesetzbuch – Kinder und Jugendhilfe. Tagespflegepersonen werden auf Grund der vorausgesetzten Erlaubniserteilung durch das Jugendamt und zur Wahrnehmung des Schutzauftrages nach § 8a SGB VIII, mit Fachkräften in Einrichtungen gleichgestellt. (vgl. Wiesner, R. (2011): SGB VIII Kinder- und Jugendhilfe Kommentar 2011, S. 99)

§ 42 des SGB VIII definiert, in welchen Situationen der öffentliche Träger der Jugendhilfe berechtigt und verpflichtet ist, ein Kind oder einen Jugendlichen in seine Obhut zu nehmen. Folgende Situation können zur Inobhutnahme führen, wenn:

  • das Kind/der Jugendliche um Obhut bittet oder
  • eine dringende Gefahr für das Wohl des Kindes/Jugendlichen besteht oder
  • die Personensorgeberechtigen einer Inobhutnahme nicht widersprechen oder
  • eine Entscheidung des Familiengerichts nicht rechtzeitig eingeholt werden kann oder
  • ein ausländisches/r Kind/Jugendlicher unbegleitet nach Deutschland kommt und weder Personensorge– noch Erziehungsberechtige sich in Deutschland aufhalten

„Die Würde des Menschen ist unantastbar. […]“ (GG Art. 1 Abs. 1)

„Jeder hat das Recht auf […] körperliche Unversehrtheit“ (GG Art. 2 Abs. 2)

„Kinder haben ein Recht auf gewaltfreie Erziehung. Körperliche Bestrafungen, seelische Verletzungen und andere entwürdigende Maßnahmen sind unzulässig.“ (§ 1631 Abs. 2 BGB)

In diesen und weiteren Gesetzen sowie der UN-Kinderrechtskonvention finden sich konkrete Regelungen zum Schutz von Kindern und Jugendlichen.

Diese Gesetzestexte verpflichten alle Menschen zu einem achtsamen und wertschätzenden – gewaltfreien – Umgang mit Kindern, unabhängig in welcher Rolle sie den Kindern gegenüber treten (Eltern, Kindertagespflegeperson, Erzieher/in, Lehrer/in,…)

Trägern und Personen, welche Leistungen gemäß Sozialgesetzbuch VIII erbringen, kommt im Sinne des § 8a SGB VIII sowie des § 7 Abs. 3 SächsKitaG ein besonderer Schutzauftrag zu. § 43 Abs. 3 Satz 6 SGB VIII verpflichtet den benannten Personenkreis dazu, bei Anzeichen von Kindeswohlgefährdungen eine insoweit erfahrene Fachkraft (Träger der öffentlicher Jugendhilfe (JA) oder von diesem beauftragte Stelle zu informieren und in den Sachverhalt einzubeziehen.

Kindeswohl bezieht sich auf:
  • Körperliche Misshandlung: „[…] alle Arten bewusster oder unbewusster Handlungen, die zu nicht zufälligen körperlichen Schmerzen, Verletzungen oder gar zum Tode führen.“ (Kinderschutz-Zentrum Berlin e. V. (2009): Kindeswohlgefährdung. Erkennen und Helfen. 11. überarb. Aufl., S. 38)
  • Sexuelle Misshandlung: „unter Ausnutzung einer Macht- und Autoritätsposition grenzüberschreitende sexuelle Handlung eines Erwachsenen oder Jugendlichen an einem Kind“ (Ebd., S. 39)
  • Psychische und/oder emotionale Misshandlung: „[…]auf psychischem Druck basierenden Erziehungspraktiken (z. B. Hausarrest, Liebesentzug, Schimpfen)“ (Ebd., S. 45)
  • Vernachlässigung: „[…]situative oder andauernde Unterlassung fürsorglichen Handelns. Der Begriff beschreibt die Unkenntnis oder Unfähigkeit von Eltern, die körperlichen, seelischen, geistigen und materiellen Grundbedürfnisse eines Kindes zu befriedigen, es angemessen zu ernähren, zu pflegen, zu kleiden, zu beherbergen, für seine Gesundheit zu sorgen, es emotional, intellektuell, beziehungsmäßig und erzieherisch zu fördern. Kindesvernachlässigung ist im Kern eine Beziehungsstörung.“ (Ebd., S. 43)
  • Beeinträchtigungen der elterlichen Erziehungskompetenz: „Die Erziehungskompetenz von Eltern kann durch psychische Erkrankung, Substanzabhängigkeit oder geistige Behinderung eingeschränkt sein, was jeweils spezifische Auswirkungen auf die betroffenen Kinder haben kann.“ (Ebd., S. 48)
Indikatoren für das Vorliegen einer Kindeswohlgefährdung können unter anderem sein:
  • Körperliche Indikatoren (Unterernährung, unangenehmer Geruch, unversorgte Wunden, chronische Müdigkeit, nicht witterungsgemäße Kleidung, Hämatome, Narben, Krankheitsanfälligkeit, Knochenbrüche, auffällige Rötungen oder Entzündungen, körperliche Entwicklungsverzögerung)
  • Kognitive Indikatoren (eingeschränkte Reaktion auf optische und akustische Reize, Wahrnehmungs- und Gedächtnisstörungen, Konzentrationsschwäche, Verzögerung der Sprach- und Intelligenzentwicklung usw.)
  • Psychische Indikatoren (apathisch, traurig, aggressiv, schreckhaft, unruhig, schüchtern, verschlossen)
  • Soziale Indikatoren (kein Einhalten von Regeln und Grenzen, distanzlos, Blickkontakt fehlt, beteiligt sich nicht am Spiel)

Bei der Bewertung und Einordnung der Indikatoren soll an dieser Stelle auf eine Definition von Dettenborn verwiesen werden, welcher unter „familienrechtspsychologischem Aspekt als Kindeswohl die für die Persönlichkeitsentwicklung eines Kindes oder Jugendlichen günstige Relation zwischen seiner Bedürfnislage und seinen Lebensbedingungen zu verstehen“. (Dettenborn, H. (2007): Kindeswohl und Kindeswille. Psychologische und rechtliche Aspekte, S. 50) Es soll dabei darauf hingewiesen, die konkrete kulturell, ökonomische, individuelle und familiäre Situation des Kindes zu beobachten und zu bewerten.

K - Kita-Bildungsserver

Der Sächsische Kita Bildungsserver hält für Sie weitere Informationen rund um das Themengebiet Kinderbetreuung unter http://www.kita-bildungsserver.de bereit:

  • Pädagogischen Themen
  • Weiterbildungen
  • Ansprechpartner
  • Aktuelles
K - Konzeption

Die Grundlage für die pädagogische Arbeit in einer Kindertagespflegestelle (KTP-Stelle) bildet die schriftliche Konzeption. Sie gibt einen detaillierten Einblick in die KTP-Stelle und zur Betreuungsperson - Tagesmutter oder Tagesvater. Sie enthält Hinweise zum Inhalt der täglichen Arbeit sowie zur Struktur der KTP-Stelle. Basis der Konzeption bildet der Sächsische Bildungsplan.

Die Konzeption erfasst Ressourcen und Stärken sowie Entwicklungspotenziale. Die Konzeption ist u. a. ein Leitfaden zur Gestaltung der ersten Tage.

Eine Konzeption ist nicht statisch, sondern sollte regelmäßig evaluiert, korrigiert, geändert und ergänzt werden. Eine Konzeption betrifft immer eine ganz konkrete Kindertagespflegestelle und ist nicht übertragbar. Sie ist Grundlage einer partnerschaftlichen und transparenten Zusammenarbeit mit den Eltern.

Bild_Checkliste_Konzeption

Eine Checkliste, die bei der Erstellung und Weiterentwicklung einer Konzeption hilfreiche Unterstützung geben kann finden Sie hier.

K - Kranke Kinder in Kindertageseinrichtungen
Broschüre "Kranke Kinder in Kindertageseinrichtungen"

In der Broschüre des Ministeriums für Soziales, Gesundheit, Frauen und Familie des Saarlandes finden Sie verschiedenste Informationen zur Aufnahme und Betreuung von akuten und chronisch kranken Kindern. Zudem wird auf einzelne Krankheitsbilder detailliert eingegangen.

Sie finden die Broschüre zum Download hier

Hinweise zur Medikamentengabe vom Sächsischen Staatsministerium für Soziales finden Sie hier.

K - Kranken-/Pflegeversicherung

Eine KTPP gilt gemäß § 10 SGB V sowie § 240 SGB V als nicht hauptberuflich selbständig tätige Person.

KTPP haben die Möglichkeit in der gesetzlichen Krankenversicherung über ihren Ehepartner einer Familienversicherung beizutreten. Für Mitglieder einer Familienversicherung gelten monatliche Einkommenshöchstgrenzen.

Weiterhin besteht die Möglichkeit sich freiwillig zu versichern. Maßgeblich für die Beitragshöhe ist die Höhe des steuerrechtlichen Gewinns bzw. der Einkünfte. KTPP die gemäß § 23 SGB III bzw. § 3 Abs. 3 SächsKitaG tätig sind haben Anspruch auf Erstattung der hälftigen Beiträge zur Pflege- und Krankenversicherung. KTPP haben kein Anrecht auf Krankengeld, außer es besteht eine freiwillige Absicherung, zu welcher der öffentliche Träger der Jugendhilfe einen angemessenen Beitrag gemäß § 23 Abs. 2 Nr. 4 SGB VIII erstatten muss, ist die KTPP nach § 23 SGB VIII bzw. § 3 Abs. 3 SächsKitaG tätig. Diese Erstattungen sind steuerfrei.

Den aktuell erstattungsfähigen Jahresbeitrag finden Sie unter: Download der aktualisierten Versicherungsbeiträge.

Ein Urteil zur hälftigen Erstattung der Beiträge zur Krankenversicherung finden Sie hier.

Hinweis zum Krankversicherungsstatus von Kindertagespflegepersonen:

Die Frage der Einordnung der Tagespflegepersonen als neben- oder hauptberuflich selbständig Tätige ist maßgeblich für die Höhe des zugrunde gelegten Mindesteinkommens bei der Berechnung des Versicherungsbeitrages in der GKV (gemäß § 10 SGB V i.V. § § 240 SGB V). Bisher wurde über eine Sonderreglung für Tagespflegepersonen davon ausgegangen, dass diese bei bis zu fünf gleichzeitig betreuten Kindern als nebenberuflich selbständig Tätige eingestuft werden und sich ihr gesetzlicher Krankenversicherungsbeitrag an einem geringerem Mindesteinkommen bemisst. Diese Regelung wäre Ende 2015 ausgelaufen. Erfreulicherweise gibt es Entwicklungen, die Anlass zu berechtigtem Optimismus geben. Der Bundestagsausschuss für Gesundheit hat sich am 10. Juni 2015 im Rahmen der Beratungen zum Entwurf eines Gesetzes zur Stärkung der Versorgung in der gesetzlichen Krankenversicherung (GKV Versorgungsstärkungsgesetz - GKV-VSG) darauf verständigt die bestehende Sonderregelung für Tagespflegepersonen bis 31.12.2018 zu verlängern. Der Gesetzentwurf soll abschließend Mitte Juli 2015 im Bundesrat beraten werden und könnte dann zum 1. August 2015 wirksam werden.
Weiterführende Hinweise zu dieser Sonderregelung für Kindertagespflegepersonen finden Sie hier.

Hinweise zur Krankentagegeldversicherung finden Sie hier.

Neuregelung Krankenversicherung

Seit 01.01.2019 gilt die neue Regelung für die gesetzliche Krankenversicherung. Informationen für Kindertagespflegepersonen finden Sie im Schlaglicht des BVKTP vom 14.12.2018.

Das Schlaglicht finden Sie hier.

Hinweis aus der IKS:

Die Praxis zeigt, dass es mit der Neuregelung Fälle gibt, in denen der Verbleib in einer Familienversicherung nicht möglich ist. Kriterien für den Verbleib in der Familienversicherung sind sowohl der geringe Verdienst als auch der zeitliche Umfang der Tätigkeit. Betreut eine KTPP 2 Kinder für nur 6 Std. täglich, ist bereits ein Verbleib in der Familienversicherung in manchen Versicherungen nicht mehr möglich. Begründet wird dies damit, dass es sich bei einer täglichen Betreuungszeit von 6 Std. nicht mehr um eine nebenberufliche Tätigkeit handeln kann.
In diesen Fällen haben die KTPP ein nur sehr geringes Einkommen, müssen aber trotzdem den Mindestbeitragssatz bezahlen, da sie nicht in der Familienversicherung bleiben können. Hierzu fehlen allerdings aktuell konkrete Regelungen, so dass die Entscheidung über den Verbleib in einer Familienversicherung unterschiedlich getroffen wird.
Wir wissen um diese Situation und haben auch bereits entsprechend darauf aufmerksam gemacht.

K - Krankengeld

Information zur Krankenversicherung und zum Krankentagegeld in der Kindertagespflege

Anfrage:

Welche Möglichkeiten gibt es für Kindertagespflegepersonen (KTPP), sich für den finanziellen Ausfall bei Krankheit abzusichern? Welche Kosten werden vom öffentlichen Träger der Jugendhilfe/der Kommune übernommen?

Überblick:

uebersicht%20Krankenversicherung

Der ermäßigte Krankenversicherungsbeitrag in der freiwilligen gesetzlichen Krankenversicherung (GKV) für KTPP:

KTPP werden bei einer Betreuung von bis zu fünf Kindern bei der Krankenkasse als nebenberuflich selbständig eingestuft – auch, wenn sie mehr als 30 Stunden arbeiten und die KTP als Haupterwerbsquelle dient. Es wird ein ermäßigter Krankenversicherungsbeitrag berechnet. Die KTPP erhält damit eine finanzielle Entlastung im Vergleich zu anderen Selbständigen.

Das Privileg des ermäßigten Krankenversicherungsbeitrags soll für geeignete Personen als Anreiz dienen, die Tätigkeit als Kindertagespflegeperson aufzunehmen (vgl. Wiesner, Kommentar zum SGB VIII - Kinder- und Jugendhilfe -, 4. Auflage, München 2011, § 23, RDNRN 45, 46).

Diese Sonderstellung der KTPP in der GKV gilt bis zum 31.12.2018.

Der ermäßigte (privilegierte) Beitragssatz beträgt derzeit (2017) 14,0%. Wenn die KTPP ein monatlich zu versteuerndes Einkommen zwischen 450 € und 991,67 € erzielt, beträgt der zu zahlende Mindestbeitrag aktuell (2017) 138,83 € (Mindestbeitragsbemessungsgrenze pro Monat: 991,67 €; 14,0 % entsprechen 138,83 €). Wer über 991,67 € monatlich zu versteuerndes Einkommen erzielt, wird entsprechend seiner Einkünfte mit einem Krankenversicherungsbeitrag in Höhe von 14,0% eingestuft. In beiden Fällen erhält die KTPP bei Krankheit keine Ausfallzahlungen.

Da es im ermäßigten Tarif der gesetzlichen Krankenversicherung keine Ausfallzahlungen im Krankheitsfall gibt, ist ein Basisschutz im Rahmen der gesetzlichen Krankenversicherung nur mit dem Verlassen des ermäßigten Tarifs möglich. Die KTPP könnte sich dann in hauptberuflicher Einstufung versichern.

Möglichkeiten zur Absicherung im Krankheitsfall:

Krankengeld%20Krankentagegeld

Selbstständige KTPP haben kein grundsätzliches Anrecht auf Lohnfortzahlung oder Krankengeld. Es kann zu finanziellen Engpässen führen, wenn die laufende Geldleistung wegen Krankheit nicht mehr gewährt wird. Selbstständige KTPP müssen sich daher eigenständig um eine finanzielle Absicherung im Krankheitsfall kümmern.

Teilweise erhalten KTPP in Sachsen im nachgewiesenen Krankheitsfall bspw. für bis zu 14 Tage pro Jahr weiterhin die volle laufende Geldleistung durch explizite Vereinbarungen mit der Kommune (siehe z.B. Richtlinie der Landeshauptstadt Dresden zur Förderung von Kindern in der Kindertagespflege).

1. Wechsel von der nebenberuflichen Einstufung zur hauptberuflichen Einstufung:

Erzielt die KTPP ein monatliches zu versteuerndes Einkommen in Höhe von 2.231,25 € (Regelbemessungsgrenze 2017), kann sie bei ihrer Krankenkasse beantragen, als hauptberuflich selbstständig eingestuft zu werden. Sie zahlt dann statt des ermäßigten Beitragssatzes von 14% den allgemeinen Beitragssatz von 14,6%. Dadurch erwirbt sie ab der 7. Woche Arbeitsunfähigkeit einen Anspruch auf Krankengeld (Basisschutz). Diese Leistung ist vergleichbar mit dem Schutz eines Arbeitnehmers ab dem 43. Tag der Arbeitsunfähigkeit. Voraussetzung für diesen Basisschutz ist eine Erklärung gegenüber der Kasse, dass diese Leistung explizit gewünscht wird (Wahlerklärung).

Als Erweiterung dieses Basisschutzes dient ein zusätzlicher Wahltarif mit Krankentagegeldanspruch. Das Krankentagegeld wird schon früher gezahlt und schließt die Lücke bis zur 7. Woche der Arbeitsunfähigkeit. Ab wann und in welcher Höhe die KTPP im Krankheitsfall Geld durch die Krankenversicherung erhält, ist abhängig von den konkreten Vereinbarungen zwischen KTPP und der jeweiligen Krankenkasse.

2. private Krankentagegeldversicherung:

Privat versicherte KTPP sowie freiwillig gesetzlich Versicherte können eine zusätzliche, private Krankentagegeldversicherung abschließen. Hier berechnet sich die Höhe des monatlichen Versicherungsbeitrags aus dem Zeitpunkt der Zahlung im Krankheitsfall (z.B. ab dem 8. Krankheitstag) und der Höhe des Krankentagegeldes (z.B. 100 Euro/Tag) im Krankheitsfall.

Der IKS sind zwei Modelle bekannt. Ein Modell in der Stadt Dresden und ein weiteres in der Stadt Chemnitz.

Ob es bei einer privaten Versicherung im Krankheitsfall zu einer vollen Auszahlung des Krankentagegeldes kommt, ist fraglich. Die Berechnungen orientieren sich an reellem Einkommen. Die laufenden Geldleistungen der KTPP ist nicht identisch mit einem reellen Einkommen, daher ist es notwendig im Vorfeld zu prüfen, was als Grundlage für die Auszahlungshöhe im Krankheitsfall genutzt wird und wie hoch der zu erwartende Auszahlungsbetrag ist.

Erstattung:

Zur hälftigen Erstattung des allgemeinen Tarifs geben die „Fakten und Empfehlungen zu den Neuregelungen in der Kindertagespflege“ des Bundesministeriums für Familie, Senioren, Frauen und Jugend von 09.01.2017 (Seite 4) folgendes vor:

„Zu beachten ist, dass aufgrund der Einstufung als nicht hauptberuflich selbstständige Tätigkeit kein Anspruch auf Krankengeld nach §§ 44 ff. SGB V besteht. Hier sollten sich Tagespflegepersonen von ihrer Krankenkasse beraten lassen und sich gegebenenfalls freiwillig absichern. Nach dem Sinn und Zweck des § 23 Abs. 2 Nr. 4 SGB VIII hat das Jugendamt auch hierzu angemessene Beiträge zu erstatten (so auch OVG Sachsen, 21.06.2016 - 4 A 42/15 und VG Münster, 23.05.2012 – Az. 6 K 801/10)“

Ein angemessener Beitrag gemäß § 23 Abs. 2 Nr. 4 SGB VIII muss von der Kommune hälftig erstattet werden, wenn die KTPP im Bedarfsplan aufgenommen ist. Hier erfolgt die Finanzierung nach dem SächsKitaG. Die hälftige Erstattung wird vom öffentlichen Träger der Jugendhilfe getragen, wenn die KTPP nicht im Bedarfsplan ist und ausschließlich auf Basis des § 23 SGB VIII arbeitet. Diese Erstattungen sind in beiden Fällen steuerfrei.

Der Begriff „angemessen“ ist ein unbestimmter Rechtsbegriff. Als angemessen gilt, was erforderlich, aber auch ausreichend ist.

Urteile:
  • OVG Sachsen, Urteil vom 21.06.2016, 4 A 242/15 https://www.justiz.sachsen.de/ovgentschweb/document.phtml?id=4501 Im Einzelfall können auch die Beiträge zu einer Krankenversicherung mit Krankengeldanspruch angemessen sein. Die Absicherung eines krankheitsbedingten Verdienstausfalls sei laut OVG notwendig gewesen, da die Tätigkeit der klagenden Tagespflegeperson der Haupterwerb sei und mit den Einkünften ein längerer krankheitsbedingter Ausfall nicht ausgeglichen werden könne.
  • VG Münster, Urteil vom 23. Mai 2012, Az. 6 K 801/10 https://openjur.de/u/587215.html

Um den Basisschutz zu erlangen, versicherte sich eine KTPP im allgemeinen Beitragssatz. Die Kommune wollte nur den ermäßigten Beitragssatz hälftig erstatten, musste nach Urteil aber alle tatsächlich an die Krankenkasse gezahlten Beiträge einschließlich der Krankengeldversicherung bewilligen.

Bitte beachten Sie:
  • Sie sind selbständige Personen und entscheiden selbst, wie Se sich absichern möchten.
  • Bei einem Wechsel des Tarifs in der gesetzlichen Krankenversicherung erfragen Sie bitte im Vorfeld, ob Sie auch wieder in den günstigeren Tarif zurück wechseln können.
  • Bei einem Abschluss einer privaten Zusatzversicherung informieren Sie sich bitte genau über die Konditionen und die Auszahlungshöhe im Krankheitsfall. Bitte besprechen Sie vor dem Abschluss mit der Kommune, dass eine hälftige Erstattung übernommen wird.
  • Die Beantwortung dieser Anfrage zur Krankenversicherung und zum Krankentagesgeld in der Kindertagespflege erfolgt nicht durch eine(n) Juristen/Juristin. Es besteht die Möglichkeit die kostenlose telefonische Rechtsberatung der IKS in Anspruch zu nehmen.

Diese Information steht Ihnen hier als PDF zum Download bereit.

K - Kündigungs- & Vertragsrecht

Tagespflegepersonen haben ein nachvollziehbares Interesse an einer möglichst optimalen Auslastung ihrer Einrichtung, um finanzielle Verluste infolge Minderauslastung zu vermeiden bzw. gering zu halten. Oft verwenden Tagespflegepersonen im Betreuungsvertrag bezüglich der Vertragslaufzeit eine Formulierung, „bis zur Vollendung des 3. Lebensjahres“ oder „bis zum Eintritt in den Kindergarten“. Beide Formulierungen können durchaus problematisch sein und zu einer vorzeitigen Auflösungsmöglichkeit durch die sorgeberechtigten Eltern führen. Die nachfolgenden Erörterungen sollen verdeutlichen, wo Schwächen derartiger Vertragsklauseln liegen können.

Der Betreuungsvertrag, der zwischen den Eltern und der Tagespflegeperson geschlossen wird, ist rechtlich gesehen ein Dienstvertrag nach § 611 BGB. Demzufolge richtet sich die rechtliche Beurteilung einer Befristung ebenfalls nach den Regelungen des Dienstvertrages. Der Gesetzgeber nennt in § 620 Abs. 1 BGB zunächst keine Einschränkung einer Befristung. So formuliert er in der genannten Vorschrift, dass das Dienstverhältnis mit dem Ablauf der Zeit endet, für die es eingegangen ist. Daraus könnte man schlussfolgern, dass eine zeitliche Befristung problemlos möglich ist.

Allerdings sind neben den gesetzlichen Regelungen des Dienstvertrages auch die Regelungen über die Allgemeinen Geschäftsbedingungen nach §§ 305 ff. BGB zu beachten. Ein Betreuungsvertrag, den die Tagespflegeperson verwendet, gilt als allgemeine Geschäftsbedingung, weil eine mehrfache Verwendung geplant ist und die selbständig tätige Tagespflegeperson rechtlich als „Verwender“ angesehen wird. Für Befristungen von Verträgen ist damit auch die Vorschrift von § 309 Nr. 9 a) BGB einschlägig. Eine länger als zwei Jahre bindende Vertragslaufzeit ist danach unwirksam. Für Kinder, die noch jünger als ein Jahr sind, wenn sie zur Tagespflegeperson kommen und die oben genannte Formulierung verwendet wird, bedeutet das, dass es sich um eine Befristung von länger als zwei Jahren handelt. In diesem Fall ist diese Klausel unwirksam. Für den Fall der Unwirksamkeit ordnet § 306 BGB an, dass dann die normalen gesetzlichen Regelungen gelten.

Das ist für die Tagespflegepersonen besonders misslich, denn dann können die Eltern den Betreuungsvertrag entsprechend § 621 Nr. 3 BGB spätestens am 15. eines Kalendermonats zum Ende des Monats kündigen, was eine zweiwöchigen Frist zum Monatsende bedeutet. Daher ist in Konstellationen, bei Kindern unter einem Jahr von einer Befristung bis zum dritten Lebensjahr auf jeden Fall abzuraten. Allenfalls in Kombination mit normalen Kündigungsfristen sollten derartige Klauseln verwendet werden.

Aber auch in den Konstellationen, in denen die Kinder das erste Lebensjahr schon vollendet haben, wenn sie zur Tagespflege kommen, ist eine Befristung, dann also für weniger als zwei Jahre, nicht ohne Risiken für die Tagespflegepersonen, wenn sie nicht noch zusätzlich eine fristgemäße Kündigung einräumen. Denn es gilt eine sogenannte Generalklausel in § 307 BGB, die besagt, dass bei einer unangemessenen Benachteiligung einer Partei, die fragliche Klausel unwirksam ist.

So wäre es denkbar, eine zweijährige Bindungsfrist im Rahmen eines Betreuungsvertrages könnte eine solche Benachteiligung darstellen, da auch die Befindlichkeiten der betreuten Kinder berücksichtigt werden müssen. Fühlen sie sich, aus welchen Gründen auch immer, in der Tagespflege nicht wohl, muss es eine Möglichkeit der Vertragsauflösung geben. Daher sollte stets eine ordentliche Kündigungsmöglichkeit eingeräumt werden.

Für die ordentliche, auch fristgerechte Kündigung genannt, stellt sich die Frage nach der Dauer der Kündigungsfrist. Die Kündigungsfrist sollte keinesfalls länger als drei Monate sein. Für beide Vertragsparteien scheint eine Kündigungsfrist von zwei Monaten angemessen. So hat die Tagespflegeperson die Möglichkeit, den Platz anderweitig zu besetzen. Eltern, die den Wunsch haben, den Betreuungsvertrag zu beenden, müssen sich noch eine überschaubare Zeit mit der Tagespflegeperson arrangieren. Eine einmonatige Frist, auf die manche Kommunen regelwidrig in den Betreuungsverträgen geregelt haben wollen, ist für die Tagespflegeperson deutlich zu kurz bemessen, um den freien Platz anderweitig zu vergeben.

Sind beide Vertragsparteien sich einig, kann in einem Aufhebungsvertrag auch einvernehmlich auf vertraglich vereinbarte Kündigungsfristen verzichtet werden. In der Praxis liegt bei einem einseitigen Auflösungswunsch einer Vertragspartei allerdings meist keine Bereitschaft zum Abschluss eines Aufhebungsvertrages vor. Befristungen in Verträgen sollten daher immer nur im Zusammenhang mit einer regulären Kündigungsmöglichkeit geregelt werden.

(Autorin: Frau Prof. Beate Naake - Evangelischen Hochschule Dresden)

K - Kinderschutz

Mit der Änderung des SGB VIII 2021 wurde insbesondere der Kinderschutz in den Blick genommen.

Am 5. Dezember 2022 veröffentlichte der Bundesverband für Kindertagespflege das "Positionspapier: Vereinbarungen zum Kinderschutz in der Kindertagespflege".

Neben rechtlichen Veränderungen hinsichtlich des Themas Kinderschutz, werden mit diesem Positionspapier die sich daraus ergebenden Folgen dargestellt. Weiterhin enthalten sind Informationen zum Kinderschutzkonzept, Aufgaben sowie Empfehlungen.

Zum Positionspapier

L
L - Landesjugendhilfegesetz

Landesjugendhilfegesetz

Abkürzung: LJHG

Ausfertigungsdatum: 04.09.2008

Vollzitat: Landesjugendhilfegesetz

Stand: Fassung vom 01.Januar 2023

L - Laufende Geldleistungen in der öffentlich geförderten Kindertagespflege. Ergebnisse einer Follow up-Studie 2015.

Titel: Laufende Geldleistungen in der öffentlich geförderten Kindertagespflege. Ergebnisse einer Follow up-Studie 2015.

Autor: Stefan Sell, Nicole Kukula

Quellenangabe: Kukula, N.; Sell, S. (2015): Laufende Geldleistungen in der öffentlich geförderten Kindertagespflege. Ergebnisse einer Follow up-Studie 2015. Remagen: Institut für Bildungs- und Sozialpolitik der Hochschule Koblenz (IBUS)

Herausgeber: Institut für Bildungs- und Sozialpolitik der Hochschule Koblenz (IBUS)

Hinweis: Im Auftrag des Bundesverbandes für Kindertagespflege. Die Erstellung der Expertise wurde durch das Bundesministerium für Familien, Senioren, Frauen und Jugend gefördert.

Bild_Studie_2015

Im Jahr 2012 legten Nicole Kukula und Prof. Dr. Stefan Sell vom Institut für Bildungs- und Sozialpolitik der Hochschule Koblenz (IBUS) im Auftrag des Bundesverbandes für Kindertagespflege Zahlen zur leistungsorientierten Vergütung in der Kindertagespflege vor. Die damalige Studie erregte viel Aufmerksamkeit, denn zum ersten Mal gab es eine deutschlandweite Erhebung, die belastbare Fakten zur Höhe und Struktur der Bezahlung von Kindertagespflegepersonen lieferte.

Für den Bundesverband ist von besonderem Interesse, wie sich die Vergütung seit 2012 entwickelt hat. Deshalb hat sich der Bundesverband entschlossen, das IBUS mit der Durchführung einer Follow up-Studie zu beauftragen, um die Dynamik der Entwicklung erkennen zu können.

Die Untersuchung zeigt nicht nur die ausgesprochene Heterogenität der Entwicklungen in den einzelnen Bundesländern auf, sie macht auch deutlich, dass die im § 23 SGB VIII festgeschriebene leistungsgerechte Ausgestaltung der Förderungsleistung noch nicht erreicht ist.

Die Studie steht zum kostenlosen Download auf der Seite des Bundesverbandes zur Verfügung. Sie finden den Link hier.

Bild_Studie_Sell

Die vorangegangene Studie aus dem Jahr 2012 "Vergütung der Kindertagespflege. Bestandsaufnahme und Modelle einer leistungsorientierten Vergütungssystematik" von Stefan Sell und Nicole Kukula finden Sie hier.

L - Lebensmittelhygiene

Für Kinder bis drei Jahren hat die Beachtung der Lebensmittelhygieneregeln eine besondere Bedeutung. „Kinder im Alter bis drei Jahren stellen aufgrund ihres noch unausgereiften Immunsystems eine besonders sensible Verbrauchergruppe dar, die eines speziellen Schutzes bedarf. Die Beachtung wesentlicher Lebensmittelhygieneregeln ist für die Gesundheit von Kindern von großer Bedeutung.“ (Bundesverband für Kindertagespflege e. V. (o. J.): Die Leitlinie für eine Gute Lebensmittelhygienepraxis in der Kindertagespflegestelle. Bundesverband für Kindertagespflege e. V.: Berlin S. 7.)

Gesetzliche Grundlagen:

KTPP die Kinder in der eigenen, privat genutzten Wohnung oder angemieteten Räumen betreuen und verköstigen gelten als Lebensmittelunternehmer und unterliegen damit der Verordnung (EG) Nr. 852/2004 des Europäischen Parlaments und des Rates vom 29. April 2004 über Lebensmittelhygiene. Dies trifft nicht auf KTPP zu, die im Haushalt der Erziehungsberechtigten arbeiten.

Bild_Lebensmittelunternehmer

Die Bundesländer definieren, welche Form der Kindertagespflege dem Lebensmittelrecht unterliegt. Die KTPP steht in der Verantwortung, mit der örtlichen Lebensmittelüberwachung in Kontakt zu treten und ihren Status zu erfragen.

Die KTP-Stelle (Kindertagespflegestelle) gilt als „Ausgabestelle“ der Lebensmittel. Damit trägt die KTPP die Verantwortung für die Lebensmittelsicherheit und –hygiene. Das bedeutet, die KTPP muss die Anforderungen einhalten, Eigenkontrollmaßnahmen durchführen und dokumentieren sowie ggf. notwendige Maßnahmen ergreifen. Die Dokumentation dient hierbei als Nachweis für die Sorgfaltspflicht.

Als Empfehlung für Sachsen gilt die Information des Sächsischen Staatsministerium für Kultus: Anforderungen zur Lebensmittelhygiene im Zusammenhang mit der Prüfung bzw. Erteilung der Erlaubnis für Kindertagespflegepersonen

Registrierungspflicht:

Die KTPP ist gemäß Verordnung (EG) Nr. 852/2004 verpflichtet, sich bei der Lebensmittelüberwachungsbehörde anzumelden. Bitte erkundigen Sie sich bei Ihrer zuständigen Behörde (Gesundheit-/ Jugendamt) zum Verfahren vor Ort sowie darüber, ob es sich bei Ihrer Kindertagespflegestelle um eine Einrichtung zur Gemeinschaftsverpflegung, die besonders empfindliche Personen mit Lebensmitteln versorgt handelt.

Hygienepraxis auf Grundlage der HACCP-Grundsätze:

Eine gute Hygienepraxis bezieht folgende Punkte ein:

persönliche Hygiene Händehygiene
Schulung nach Infektionsschutzgesetz (Gesundheitszeugnis) Gemäß den „Aktuellen Empfehlungen des Landesjugendamtes" sowie der „Empfehlungen des Landesjugendamtes Sachsen zu Leistungen der Jugendhilfe in Form von Kindertagespflegepersonen" unterliegen KTPP die in der Regel selbst Essen für die betreuten Kinder zubereiten, der Belehrungspflicht gemäß § 35 bzw. §§ 42-43 IfSG. Die Überprüfung erfolgt im Rahmen der Erlaubniserteilung.
Hinweise dazu finden Sie im Schreiben des Sächsischen Staatsministeriums für Kultus und Sport „Anwendung §§ 33-35 und 42-43 Infektionsschutzgesetz in der Kindertagespflege [...]".
Hygieneschulung Alle Personen die mit Lebensmitteln umgehen, müssen die allgemeine Hygieneschulung (VO (EG) 852/2004, Anhang II, Kapitel XII (1) in Verbindung mit der Anlage 1 zu § 4 Abs. 1 Satz 1 der LMHV) nachweisen können, d. h. auch ggf. weitere Mitarbeiter:innen neben der KTPP.
Saubere oder abgedeckte Kleidung beim Umgang mit Lebensmittel tragen
Betriebshygiene auf Ordnung und Sauberkeit achten Regelmäßige und gründliche Reinigung der Küche sowie der zur Be- oder Verarbeitung von Lebensmitteln verwendeten Hilfsmittel/Geräte
Abfallbeseitigung
Ausstattung der Küche Hinweise zur Ausstattung der Küche finden Sie im Punkt 1.3 "Merkblatt über Lebensmittelhygiene in der Kindertagespflege"
Eigenkontrollen durchführen Temperaturen prüfen etc.
geeigneter Umgang mit Lebensmitteln Berücksichtigung von Risikolebensmitteln und den Empfehlungen zum Umgang mit Lebensmitteln Übersicht: „Risikolebensmittel für KinderBild_Risikolebensmittel1
Übersicht: „Empfehlungen zum Umgang mit LebensmittelnBild_Umgang_mit_Lebensmitteln1

Achtet die KTPP auf die Einhaltung der Anforderungen und die Realisierung der Kontrollen inkl. Maßnahmenumsetzung, kann auf die vollständige Umsetzung eines HACCP-Konzeptes verzichtet werden.

Weitere Hinweise zu folgenden Themen erhalten Sie durch Klick auf den jeweiligen Titel:
Umfassende Hinweise finden Sie hier:

Information des Sächsischen Staatsministerium für Kultus: „Anforderungen zur Lebensmittelhygiene im Zusammenhang mit der Prüfung bzw. Erteilung der Erlaubnis für Kindertagespflegepersonen

Broschüre der SLfG „Essen und Trinken in der Kindertagespflege. Eine Handlungsempfehlung für Tageseltern

Bundesverband für Kindertagespflege e. V.: „Die Leitlinie für eine Gute Lebensmittelhygienepraxis in der Kindertagespflegestelle.

L - Lebensmittelhygiene Verordnung

Link: LMHV.pdf

Abkürzung: LMHV

Ausfertigungsdatum: 08.08.2007

Vollzitat: "Lebensmittelhygiene-Verordnung vom 8. August 2007 (BGBl. I S. 1816, 1817), die zuletzt durch Artikel 1 der Verordnung vom 14. Juli 2010 (BGBl. I S. 929) geändert worden ist"

Stand: Zuletzt geändert durch Art. 1 V v. 14.7.2010 I 929

M
M - Marte Meo

Die IKS empfiehlt zur Beobachtung, Dokumentation und Auswertung die MarteMeo-Methode.

„Ein Bild sagt mehr als 1000 Worte – bewegte Bilder sagen ein Vielfaches davon.“

Marte Meo basiert auf der starken Kraft der Bilder. Mit Hilfe von Videoaufnahmen werden konkrete, alltagsnahe Handlungsweisen im Umgang von pädagogischen Fachkräften mit Kindern kleinschrittig beobachtet und ausgewertet. Anhand dieser Momentaufnahmen werden wirksame Gelegenheiten zur Unterstützung emotionaler und sozialer Fähigkeiten sichtbar und erfahrbar gemacht. Sie bilden die Grundlage für Beziehung, Bindung und somit für Bildung.

Lesen Sie hier eine Ausgabe des MarteMeo-Magazins zum Thema "Was braucht das Kind für die Welt von morgen?"

Vorschau%20MarteMeoMagazin

M - Masernschutzgesetz

Das Gesetz für den Schutz vor Masern und Stärkung der Impfprävention (Masernschutzgesetz) tritt zum 1. März 2020 in Kraft.

Das Gesetz sieht vor, dass alle Kinder ab dem vollendeten ersten Lebensjahr beim Eintritt in Kindertageseinrichtung, Hort sowie in die erlaubnispflichtige Kindertagespflege die von der Ständigen Impfkommission empfohlenen Masern-Impfungen vorweisen müssen. Gleiches gilt für Personen, die in Gemeinschaftseinrichtungen oder medizinischen Einrichtungen tätig sind wie Erzieher:innen, Kindertagespflegepersonen und medizinisches Personal (soweit diese Personen nach 1970 geboren sind).

Kindertagespflegestellen gelten durch das Masernschutzgesetz künftig in Bezug auf das Infektionsschutzgesetz als Gemeinschaftseinrichtungen. Die Pflichten, welche sich daraus für die Kindertagespflege ergeben, sind in Anlage 3 dargestellt.

Die Umsetzung des Gesetzes obliegt im System der Kindertagespflege den Kindertagespflegepersonen selbst sowie den örtlichen Trägern der öffentlichen Jugendhilfe. Anzuraten ist, dass letztere von der Möglichkeit des § 20 Abs. 9 Satz 3 des Infektionsschutzgesetzes Gebrauch machen und regeln, dass der Nachweis der Kindertagespflegepersonen ihnen gegenüber zu erbringen ist.

Für die Umsetzung des Gesetzes im Freistaat Sachsen stehen folgende Anlagen und Formulare zur Verfügung:

Bisherige Urteile und Beschlüsse finden Sie auf unserer Homepage unter U - Urteil: Masernimpfpflicht.

Das Bundesministeriums für Gesundheit stellt darüber hinaus weitere Informationen unter folgenden Links bereit:

M - Medikamentengabe

Link: 974e05cf4ed1334d0d432783e2e69884.pdf

Ausfertigungsdatum: 27.04.2005

Vollzitat: Empfehlungen zur Medikamentengabe des Sächsischen Staatsministeriums für Soziales in Kindertageseinrichtungen in Sachsen

M - Meldepflicht für Gemeinden

Mit der Einführung des Amtshilferichtlinie-Umsetzungsgesetzes (2013) ist ab dem Veranlagungszeitraumes 2016 ein neues elektronisches Datenvermittlungsverfahren geregelt.

Das Gesetz soll sicherstellen, dass steuerfreie Zuschüsse zu Vorsorgeaufwendungen (besonders Beiträge zu Kranken-, Pflege- und Rentenversicherung sowie der Erstattung dieser Beiträge) steuerlich zutreffend erfasst werden.

Hier finden Sie eine Übersicht, welche alle wesentlichen Informationen anschaulich zusammenfasst.

Das grundlegende Gesetz können Sie hier abrufen.

M - Merkblatt über Lebensmittelhygiene in der Kindertagespflege

Link:Lebensmittelhygiene KTP

Ausfertigungsdatum: Mai 2017

Vollzitat: Information des Sächsischen Staatsministeriums für Kultus und Sport Anforderungen an die Lebensmittelhygiene in Zusammenhang mit der Prüfung bzw. Erteilung der Erlaubnis für Kindertagespflegepersonen - Merkblatt über Lebensmittelhygiene in der Kindertagespflege

M - Mitbringen von Speisen in die Kindertagespflegestelle

Der Zustand der Speisen und Lebensmittel sollte durch die Kindertagespfleegperson (KTPP) geprüft werden, da sie im Rahmen ihrer Tätigkeit die Verantwortung für die Sicherheit und Hygiene trägt.

Wichtige Hinweise für die Eltern können bspw. in einem Elternabend thematisiert werden und/oder in einem kurzen Hinweisschreiben bereits im Aufnahmegespräch übergeben werden. Die wichtigsten Aspekte dafür finden Sie in einem Schreiben des Projektes FIT KID. Dieses finden Sie hier.

Muttermilch

Abgepumpte Muttermilch trägt ein besonders hohes Risiko für die Entwicklung von Keimen. Wie bereits benannt trägt die KTPP die Verantwortung für den Zustand der an die betreuten Kinder abgegebenen Lebensmittel und Speisen - in dieser Bedeutung auch für mitgebrachte Muttermilch, die sie an das Kind weiterreicht. Es wird empfohlen, klare Verhaltensweisen im Umgang mit abgepumpter Muttermilch mit der Mutter zu besprechen/schriftlich zu vereinbaren. Dazu gehören unter anderem ein hygienisch einwandfreies Abpumpen sowie eine ununterbrochene Kühlkette beim Transport. Zur Ausreichung von mitgebrachter Muttermilch, sollte sich die KTPP Empfehlungen durch eine Still-/Laktationsberaterin einholen.

Weitere Hinweise zum hygienischen Umgang mit Lebensmitteln finden Sie hier.

M - Mittelbare pädagogische Tätigkeit

Mit der Änderungen des SächsKitaG durch Artikel 22 des Haushaltsbegleitgesetz 2019/2020 tritt die Regelung zur Finanzierung der Vor- und Nachbereitungszeit in Kindertagespflege, Krippe, Kita und Hort ab dem 1. Juni 2019 in Kraft.

Gemäß § 12 Absatz 4 SächsKitaG in der ab 1. Juni 2019 geltenden Fassung des SächsKitaG ist Kindertagespflegepersonen für mittelbare pädagogische Tätigkeiten eine halbe Stunde je aufgenommenes Kind und Woche zu finanzieren. Gemäß der ab 1. Juni 2019 geltenden Regelung in § 14 Absatz 6 Satz 4 SächsKitaG haben Kindertagespflegepersonen ab diesen Zeitpunkt einen Anspruch auf einen „zusätzlichen monatlichen Betrag in Höhe eines Zwölftels des in § 18 Absatz 3 SächsKitaG genannten Betrages“. Das heißt, sie erhalten zu ihrer bisherigen laufenden Geldleistung einen zusätzlichen Betrag in Höhe von 1/12 von 420 Euro, also 35 Euro, pro aufgenommenes Kind und Monat.

Mit der gewählten Formulierung wird zum Ausdruck gebracht, dass der Anspruch der Kindertagespflegeperson auf diesen zusätzlichen Betrag immer dann besteht, wenn sie Kinder betreut, und unabhängig davon ist, ob der zusätzliche Landeszuschuss nach § 18 Absatz 3 SaechsKitaG bereits tatsächlich gezahlt wird. Sofern die Gemeinde noch keinen Landeszuschuss erhält, wäre dieser Betrag aus kommunalen Mitteln zu finanzieren. Die Finanzierung für die mittelbaren pädagogischen Tätigkeiten ist an die tatsächliche Betreuungsleistung geknüpft, die Betreuungsstunden sind jedoch unerheblich. Eine Kindertagespflegeperson hat Anspruch auf diesen zusätzlichen monatlichen Betrag, unabhängig davon, ob sie ein Kind für vier oder neun Stunden am Tag betreut. Die zusätzliche Finanzierung sollte diejenige Kindertagespflegeperson erhalten, die das Kind tatsächlich betreut, im Vertretungsfall also oder die Ersatzkindertagespflegeperson. Denn Grundlage für die Bemessung des zusätzlichen Landeszuschusses nach § 18 Absatz 3 SaechsKitaG sind die in Kindertagespflege aufgenommenen Kinder. Bei Ausfallzeiten der Kindertagespflegeperson wäre zum Beispiel eine anteilige Kürzung des Monatsbetrages pro Betreuungstag um jeweils 1/20 denkbar. Dementsprechend würde die Ersatzkindertagespflegeperson taganteilig 1/20 des Monatsbetrages im Falle der tatsächlichen Ersatzbetreuung erhalten. Andere gemeindliche Regelungen sind selbstverständlich möglich.

Die Gemeinden erhalten vom Land einen zusätzlichen jährlichen Landeszuschuss zur Finanzierung der mittelbaren pädagogischen Tätigkeiten der Kindertagespflegeperson für jedes in Kindertagespflege aufgenommene Kind in Höhe von 420 Euro. Dieser Betrag ist an die Kindertagespflegeperson monatsanteilig weiterzureichen

Da der zusätzliche monatliche Betrag für mittelbare pädagogische Tätigkeiten Bestandteil der Finanzierung der Kindertagespflegepersonen ist, wäre die Finanzierungsvereinbarung zwischen Gemeinde und Kindertagespflegeperson entsprechend anzupassen.

Download der Erläuterungen des SMK:

M - Muster-Vereinbarung zwischen Kommune und Kindertagespflegeperson

Link: Mustervereinbarung

Ausfertigungsdatum: 22. März 2012

Vollzitat: Muster - Vereinbarung zwischen Kommune und Kindertagespflegeperson gemäß § 1 Abs. 6, § 3 Abs. 3 und § 14 Abs. 6 SächsKitaG

Stand: vom 22. März 2013

M - Mutterschaftsgeld

Wann haben Kindertagespflegepersonen Anspruch auf Mutterschaftsgeld?

Selbständige in der privaten Krankenversicherung (PKV) haben in der Regel keinen Anspruch auf Mutterschaftsgeld. Bei entsprechender Versicherung besteht gegebenenfalls Anspruch auf Krankentagegeld.

Krankenversicherte bzw. Selbständige, welche in der gesetzlichen Krankenversicherung (GKV) versichert sind, haben mit Krankengeldanspruch auch Anspruch auf Mutterschaftsgeld. Der Antrag auf Mutterschaftsgeld ist bei der jeweiligen Krankenkasse zu stellen.
Die Höhe des Krankengeldes wird auf Grundlage des Einkommens der Versicherten berechnet. Da das Einkommen bei Selbständigen in der Regel stark schwankt, wird ein halbjährlicher Einkommensdurchschnitt errechnet. Von diesem werden 70 Prozent als Krankengeld durch die Krankenkasse an die versicherte Person gezahlt.

Ist eine Kindertagespflegeperson gesetzlich krankenversichert, zahlt aber nur den ermäßigten Beitragssatz von 14 Prozent (Stand: 2020), hat sie keinen Anspruch auf Mutterschaftsgeld.

Selbstständige und geringfügig Beschäftigte mit Familienversicherung haben gegebenenfalls Anspruch auf einen einmaligen Pauschalbetrag bis zu 210 Euro.

Wir empfehlen Ihnen, Kontakt zu Ihrer Krankenkasse aufzunehmen. Sehr gerne können Sie auch nochmals um ein persönliches Gespräch in Ihrer Kommune bitten. Teilen Sie dort Ihre aktuelle Situation mit. Es gibt wenige Beispiele in denen die Kommune eine Unterstützungsmöglichkeit für die Tagesmutter anbietet. Das ist jedoch freiwillig. Ein gesetzlicher Anspruch besteht nicht.

P
P - Parenting & Co-Parenting

Titel: Parenting & Co-Parentingunter Einbeziehung der Studie Stendaler Tagesbetreuung und der Wiener Krippenstudie

Autor: Ahnert, L.; Supper, B.

Quellenangabe: Ahnert, L.; Supper, B. (2012): Studie der Universität Wien, AB Entwicklungspsychologie Parenting & Co-Parenting unter Einbeziehung der Studie Stendaler Tagesbetreuung und der Wiener Krippenstudie

In der Studie "Parenting & Co-Parenting" wurden Familien einbezogen, die ihre Kinder zu Hause betreuen, aber auch Familien deren Kinder in Kindertagespflege betreut werden. Untersucht werden sollte bei diesen Kindern, wie ihre Entwicklung vor allem im kognitiven und kommunikativen Bereich verläuft. Dabei sollte ein Vergleich zwischen der Betreuung zu Hause und in der Kindertagespflege erzielt werden.

Folgende Ergebnisse konnte dabei gewonnen werden:

  1. Entwicklungsangemessene Kleinkindbetreuung zeichnet sich durch Anregung, Geborgenheit und Strukturiertheit aus.
  2. Kleinkindbetreuung muss an den natürlichen kindlichen Kompetenzen und Lernfähigkeiten anknüpfen und eine stabile Gefühlswelt entwickeln. Weiterhin bedarf es vorhersehbarer Tagesabläufe.
  3. Interaktionsprozesse stehen im Mittelpunkt, die zu Bindungsbeziehungen führen.
  4. Zu Tagesmüttern entwickeln Kleinkinder häufiger sichere Beziehungen als zu Erzieher(inne)n in Krippen.
  5. Emotionale Sicherheit, Explorationsunterstützung, individualisierte Kommunikationsabläufe und Körpernähe erfahren Kleinkinder ausgeprägter in der Tagespflege als in Krippen. Jungen sind danach in Krippen besonders benachteiligt.
  6. Kleinkinder entwickeln ihre Kompetenzen zügiger in Tagespflege als in Krippen.
  7. Bessere Absprachen (zwischen Eltern und ihrer Kindertagespflegeperson bzw. Erzieher(in)) sind mit besserer Verhaltensanpassung verbunden.

Grafik_Broschuere_Dokumentation_Fachtagung_Nov2012

Als Referentin gestaltete Frau Liselotte Ahnert den Fachtag der Informations- und Koordinierungsstelle Kindertagespflege in Sachsen (IKS) 2012 unter dem Titel "Wenn private Betreuung öffentlich wird – Spannungsfelder zwischen privatem Raum, Selbstständigkeit und öffentlicher Förderung" mit. Zu diesem Fachtag stellte Sie Ergebnisse ihrer Studie "Parenting & Co-Parenting" vor.

Die Dokumentation dieser Fachtagung finden Sie hier.

Ahnert_Studie

Weitere Informationen zur Studie finden Sie hier.

P - Personenbeförderung

Benötigen Kindertagespflegepersonen einen Personenbeförderungsschein, wenn sie die Kinder im Pkw "befördern", um z. B. zu einem Ausflugsziel zu gelangen?

Grundlage bildet § 1 des Personenbeförderungsgesetzes (PBefG), in welchem folgendes ausgeführt ist: „Den Vorschriften dieses Gesetzes unterliegt die entgeltliche oder geschäftsmäßige Beförderung von Personen mit […] Kraftfahrzeugen.“

In § 1 Abs. 2 Nr. 1 wird hierzu eine Ausnahme formuliert: „Diesem Gesetz unterliegen nicht Beförderungen mit Personenkraftwagen, wenn diese unentgeltlich sind oder das Gesamtentgelt die Betriebskosten der Fahrt nicht übersteigt“

Dies gilt ausdrücklich auch dann, wenn die Beförderungen geschäftsmäßig sind.

Eine geschäftsmäßige Beförderung muss bei Kindertagespflegepersonen in Betracht gezogen werden, wenn bspw. ein Bring- und Abholdienst Bestandteil der Tätigkeit ist oder die Kindertagespflegeperson im Rahmen ihrer Tätigkeit regelmäßig Ausflüge mit den Kindern unternimmt.

Die o. g. Ausnahmeregelung ist jedoch auch bei geschäftsmäßiger Beförderung anwendbar. Das heißt, solange eine Tagespflegeperson die Beförderung unentgeltlich übernimmt bzw. lediglich einen Aufwendungsersatz geltend macht, der die Betriebskosten der Fahrt nicht übersteigt, benötigt sie keinen Personenbeförderungsschein. (Quelle: Online Beratung Kindertagespflege)

Um nicht unter die Voraussetzungen des Personenbeförderungsgesetzes (PBeFG § 1 Nr. 1) zu fallen, sollten für die Fahrten mit dem PKW außer den Betreuungskosten keine Extrakosten von den Eltern verlangt werden. Die reinen Verbrauchskosten z. B. für Benzin sind bereits in den Betriebskostenpauschalen enthalten. _(Quelle: http://www.tageselternverein.de/download/BroschuereTM.pdf)

P - Pflegeerlaubnis

Möchte eine Person gemäß § 43 Abs. 1 SGB VIII ein Kind oder mehrere Kinder außerhalb des Haushalts des Erziehungsberechtigten während eines Teils des Tages und mehr als 15 Stunden wöchentlich gegen Entgelt länger als drei Monate betreuen, bedarf es der Erlaubnis, unabhängig davon, wie die Finanzierung erfolgt (privat/öffentliche Mittel). Zur Erteilung einer Erlaubnis sind zusätzlich zur Eignung als Kindertagespflegeperson (KTPP), d. h. der Erfüllung persönlicher, gesundheitlicher sowie fachlicher Voraussetzungen, kindgerechte Räumlichkeiten vorzuweisen. Die Erlaubnis ist gemäß § 43 Abs. 3 SGB VIII auf fünf Jahre befristet.

Bild_Grafik_Erlaubniserteilung1

Eine Grafik zum Verfahren der Eignungs- und Erlaubniserteilung finden Sie hier. Ausführliche Hinweise zu den einzelnen Stufen der Grafik (Voraussetzungen) finden Sie in Kapitel 2 der Qualitätskriterien für die Kindertagespflege im Freistaat Sachsen.

Zuständigkeit der Erlaubniserteilung bei abweichendem Wohnort der Kindertagespflegeperson und dem Ort der Kindertagespflegestelle

Das Sächsische Staatsministerium für Kultus (SMK) veröffentlichte eine Positionierung zur „Zuständigkeit der Erlaubniserteilung Kindertagespflege bei abweichendem Wohnort der Kindertagespflegeperson und dem Ort der Kindertagespflegestelle“. Darin wird mitgeteilt, dass „örtlich zuständig für die Erlaubnis nach § 43 SGB VIII oder alternativ die Eignungsfeststellung der Kindertagespflegeperson ist in diesen Fällen in teleologisch erweiterter Auslegung von § 87a Abs. 1 SGB VIII der örtliche Träger der öffentlichen Jugendhilfe, in dessen Zuständigkeitsbereich die Kindertagespflegestelle gelegt ist.“ Begründet wird dies unter anderem mit der räumlichen Nähe und dem Kontakt zum Jugendamt vor Ort, welche für eine gute fachliche Zusammenarbeit unerlässlich sind. Weiterhin wird darauf hingewiesen, dass eine enge Abstimmung zwischen beiden Jugendämtern erfolgen sollte.

P - Pflegekinder

Nähere Informationen zu der Aufnahme von Pflegekindern als Kindertagespflegeperson finden Sie unter dem Punkt: "Vollzeitpflege vs. Kindertagespflege".

P - Praktikanten in der Kindertagespflegestelle
Ausgangssituation:
  • Kindertagespflegeperson (KTPP) mit eigener Kindertagespflegestelle
Anfrage:
  • Darf die KTPP eine:n Praktikant:in unentgeltlich beschäftigen?
  • Der/Die Praktikant:in möchte die Zeit zur Überbrückung und Berufsorientierung nutzen.
  • Welche vertraglichen und versicherungstechnischen Sachverhalte müssen beachtet werden?
Antwort:

Auch in Kindertagespflegestellen können Praktika abgeleistet werden.

Allgemein Anforderungen:

Bei der Beschäftigung einer Praktikantin bzw. eines Praktikanten ist zu beachten:

  • Eine Person ohne Pflegeerlaubnis darf nicht die Beaufsichtigung der Gruppe übertragen werden
  • Die KTPP muss immer anwesend sein, um ihrer Aufsichtspflicht nachzukommen
Führungszeugnis:

Die/Der Praktikant/in ist gesetzlich nicht verpflichtet ein Führungszeugnis vorzulegen, wenn die KTPP als Einzelpersonen Leistungen für den öffentlichen Träger der Kinder- und Jugendhilfe erbringen. Ist die KTPP einen freien Träger unterstellt, kann dieser die Vorlage eines Führungszeugnisses gemäß § 72a Abs. 2 und 4 SGB VIII verlangen, entscheidend dafür ist die Art, Intensität und Dauer des Kontaktes mit den Kinder.

Mindestlohn:

Weiterhin ist es zwingend erforderlich, dass bei Beschäftigung eines Praktikanten/ einer Praktikantin das Mindestlohngesetz beachtet wird. Hierbei muss von der KTPP geprüft werden, ob Mindestlohngezahlt werden muss oder nicht. Entscheidungskriterien dafür sind:

  • Alter des Praktikanten/ der Praktikantin
  • Steht das Praktikum in Verbindung mit einer schulischen/beruflichen Ausbildung
  • Zweck des Praktikums
  • Dauer des Praktikums
  • War die Person vor Aufnahme des Praktikums langzeitarbeitslos?

Bitte beachten Sie die beiliegende Fachinformation zum Thema Mindestlohn. Darin finden Sie sowohl genaue Kriterienbeschreibungen, wer Mindestlohn erhalten muss.

Praktikumsvertrag:

Hat der/die Praktikant/in Anspruch auf Mindestlohn ist zwingend ein Praktikumsvertrag abzuschließen. Besteht dieser Anspruch nicht, ist es trotz dem empfehlenswert, grundlegende Dinge vertraglich zu regeln. Mindestanforderung an Praktikumsverträge:

  • Name und Anschriften der Vertragsparteien
  • mit dem Praktikum verfolgten Lern- und/oder Ausbildungsziele/ Zweck
  • Beginn und Dauer des Praktikums
  • Dauer der regelmäßigen, täglichen Praktikumszeit
  • Zahlung und Höhe der Vergütung (wenn keine Zahlung erforderlich, kann auch dies Inhalt des Vertrages sein)
  • Dauer des Urlaubs
  • allgemeiner Hinweis auf anzuwendende Betriebsvereinbarungen/ Tarifverträge/ Regelungen in der Kindertagespflegestelle (z. B. Beachtung der Konzeption, Hausordnung, internen Regelungen etc.)
  • ebenfalls Bestandteil des Vertrages können Datenschutzregelungen, Gesundheitsanforderungen, Belehrungen, Aufgaben des Praktikanten/ der Praktikantin sein
Infektionsschutzgesetz (IfSG):
  • Die Belehrungspflicht nach dem IfSG bezieht sich zum einen auf die Betreuung von Kindern (§ 35 IfSG) und zum anderen auf die Zubereitung von Speisen (§§ 42-43 IfSG). Beides trifft nicht auf Praktikant/innen zu, da sie weder eigenständig und ohne Aufsicht Kinder betreuen noch Speisen zubereiten dürfen. Insofern ist hier keine Belehrung erforderlich. Allerdings muss die Kindertagespflegeperson darauf achten, dass der/die Praktikant/in frei von ansteckenden Krankheiten ist. (beiliegend Info-Schreiben des SMK von 2010)
Sonstiges:
  • Je nach Alter des Praktikanten/ der Praktikantin ist das Jugendarbeitsschutzgesetz zu beachten
  • Erhält der Praktikant/ die Praktikantin eine Vergütung für seine Tätigkeit, ist die Zahlung der Sozialabgaben zu beachten
P - Profil der Kindertagespflege - Familiennahes Profil

In Sachsen orientiert sich die Kindertagespflege (KTP) an einem „familiennahen Profil“. Familiennah impliziert eine Betreuung in einer kleinen Gruppe, von maximal fünf fremden, gleichzeitig anwesenden Kindern. Die Nutzung privater Räume kann mit einer engeren Anbindung an das familiäre Umfeld der Kindertagespflegeperson (KTPP) einhergehen.

Die Betreuung von Kindern innerhalb einer kleinen Gruppe ist flexibel, individuell und überschaubar. Eltern und Kinder haben eine feste Bezugsperson, eine(n) Ansprechpartner(in). Diese wechselt i. d. R. tagsüber nicht. Dadurch wird die Tagesorganisation und das Umfeld für das Kind überschaubar. Es finden intensive Interaktionen zwischen der KTPP und dem einzelnen Kind statt. Das Kind erlebt dadurch einen familienähnlichen Alltag. Es kann sich in einer ruhigen, geborgenen Atmosphäre behütet entwickeln. Orientiert am Entwicklungsstand des Kindes bietet die KTPP eine anregende, alltagsnahe Bildungsumgebung.

Besonderheit: Die familiennahe Betreuung in der KTP leistet einen, in nationalen und internationalen Studien nachgewiesenen qualitativ hochwertigen Beitrag zur individuellen Förderung und selbstbestimmten Entwicklung der Kinder. Die Qualität der Beziehungen in der KTP ist durch nur eine Bezugsperson außerhalb der familiären Betreuung und deren Verständnis zum Zusammenhang von Bindung und Bildung geprägt und garantiert.

Q
Q - QHB: Kompetenzorientiertes Qualifizierungshandbuch für die Kindertagespflege

Das Kompetenzorientierte Qualifizierungshandbuch Kindertagespflege (QHB) ist neue Grundlage für die Qualifizierung von Kindertagespflegepersonen.

Es knüpft an das bisherige DJI-Curriculums an.

Das QHB zielt darauf angehende Kindertagespflegepersonen dabei zu begleiten und zu unterstützen, die Kompetenzen zu erwerben, die sie für die Tätigkeit als Kindertagespflegeperson benötigen.

Nachfolgend finden Sie weiterführende Links zum Thema QHB:

Hinweise des SMK zur Einführung und Umsetzung des QHB Begleitbroschüre für Fachberatung des BVKTP QHB Perspektiven zur Einführung des Kompetenzorientierten Qualifizierungshandbuchs Kindertagespflege (Martina Heitkötter) Hinweise des BVKTP Hinweise des DJI

Q - Qualifizierte Kindertagespflegeperson

§ 23 Abs. 3 SGB VIII gibt Auskunft dazu, wer mit welchen Voraussetzungen als geeignete Kindertagespflegeperson gilt. Neben der entsprechenden Persönlichkeit, sollte über Sachkompetenz, entsprechende Räumlichkeiten sowie die notwendige und Kooperationsbereitschaft gegenüber Eltern und KTPP vorhanden sein. Weiterhin wird an dieser Stelle im Gesetz gefordert:

„[…] Sie sollen über vertiefte Kenntnisse hinsichtlich der Anforderungen der Kindertagespflege verfügen, die sie in qualifizierten Lehrgängen erworben oder in anderer Weise nachgewiesen haben.“

Vertiefende Kenntnisse können angehende KTPP durch die Teilnahme an einer Qualifizierung in der Kindertagespflege auf Grundlage des DJI-Curriculum „Fortbildung von Tagespflegepersonen“ erwerben und nachweisen.

Das DJI-Curriculum wurde einer Überarbeitung unterzogen. Hinweise zu Inhalten, Einführung und Umsetzung das neuen DJI-Curriculum (Kompetenzorientiertes Qualifizierungshandbuch für die Kindertagespflege - QHB) finden Sie hier.

Die Qualifizierung auf Grundlage des DJI-Curriculum beinhaltet folgende Qualifizierungsschwerpunkte:

Einführungsphase
Kindertagespflege – die Perspektive der KTPP
  • Erwartungen
  • Rechtliche/ finanzielle Grundlagen
  • Aufgaben und Alltag
Kindertagespflege – die Perspektive der Kinder
  • Das Kind in zwei „Familien“
Eingewöhnungsphase
Kindertagespflege – die Perspektive der Eltern
  • Erstkontakt
  • Rechtliche/ finanzielle Grundlagen (Betreuungsvertrag)
  • Zwischenbilanz
Vertiefungsphase
Förderung von Kinder
  • Dialog mit Säuglingen und Kleinkindern
Entwicklung von Kinder beobachten und wahrnehmen
  • Altersgemäßer Entwicklungsverlauf
  • Beobachtung und Dokumentation
  • Umgang mit Diversität
Betreuung von Kinder
  • Sicherheit
  • Gefahrenquellen
  • Gesundheit
  • Ernährung
Erziehung
  • Reflexion der eigenen Biografie
  • Erziehungserfahrungen
  • Erziehungswerte
  • Beziehungsgestaltung
  • Umgang mit negativen Gefühlen
  • Gewaltfreie Erziehung
  • Schwierige Erziehungssituationen
  • Kindeswohl und Kindeswohlgefährdung
Bildung
  • Bildungsauftrag
  • Bildungsplan
  • Spielen
  • Spielmaterialien
  • Entwicklungsräume
  • Bücher
  • Medien
Besondere Herausforderungen
  • Eigene und fremde Kinder
  • KTP-Stelle managen
  • Übergang in Kita
Kooperation und Kommunikation zwischen KTPP und Eltern
  • Erziehungspartnerschaft
  • Nähe/ Distanz
  • Kommunikation
  • Elterngespräch
  • Konflikte
  • Schweigepflicht
Arbeitsbedingungen der KTPP
  • Beruf
  • Rechtliche/ finanzielle Grundlagen
  • Vernetzung/ Kooperation
  • Eigene Gesunderhaltung
Reflexion
Q - Qualitätskriterien für die Kindertagespflege im Freistaat Sachsen

Link: Download

Ausfertigungsdatum: Juli 2013

R
R - Radonmessung

Liegt eine Kindertagespflegestelle in einem Radonvorsorgegebiet, müssen in dieser ab dem 31. Dezember 2020 besondere Pflichten zum Schutz vor Radom wahrgenommen werden.

Kindertagespflegepersonen sind demnach verpflichtet, eine Radon-Messung vorzunehmen. Betroffen sind die Räume in denen die Kinder betreut werden, solange sich diese im Erdgeschoss bzw. Keller befinden und der tägliche Aufenthalt darin länger als eine Stunde ist. In jeden Zimmer müsste ein entsprechendes Messgerät aufgestellt werden. Die Messung erfolgt dann über einen Zeitraum von 12 Monaten.

Die Kosten belaufen sich auf ca. 25 bis 50 Euro pro Messung (also pro Gerät inklusive Auswertung). Eine Übersicht über die anerkannten Anbieter von Radon-Messungen findet man unter folgendem Link: https://www.bfs.de/DE/themen/ion/service/radon-messung/anerkennung/anerkennung.html. Es ist ratsam, sich ein paar Vergleichsangebote der verschieden Anbieter einzuholen.

Bei weiterem Beratungsbedarf, gibt es zudem die Möglichkeit sich an die Radonberatungsstelle zu wenden.

Weitere Informationen: www.strahlenschutz.sachsen.de/radon-vorkommen-auswirkungen-und-schutz-10074.html

R - Raum
Räumliche Anforderungen

Die Betreuung der Kinder kann im Haushalt der Eltern, im Haushalt der Kindertagespflegeperson (KTPP) oder mit Zustimmung der Gemeinde und des örtlichen Trägers der öffentlichen Jugendhilfe in angemieteten Räumen erfolgen.

Für KTP (Kindertagespflege) die im Haushalt der Eltern stattfindet, können keine räumlichen Anforderungen definiert werden. Findet KTP im Haushalt der KTPP oder in angemieteten Räumen statt, müssen diese entsprechend § 23 Abs. 3 SGB VIII sowie § 43 Abs. 2 Satz 2 SGB VIII kindgerecht sein.

Da es sich bei der KTP um ein familiennahes Betreuungsangebot handelt, können räumliche Regelungen der institutionellen Betreuung in Krippe und Kindergarten nicht 1: 1 auf die KTP angewandt werden. In der KTP ist der Haushalt der Bildungsort. Findet KTP im Haushalt der KTPP statt, ist dieser außerdem Lebens- und Gestaltungsraum der KTPP und deren Familie.

Es sollte ein Raumkonzept (welches Teil der Gesamtkonzeption sein kann) vorhanden sein welches veranschaulicht, dass den Kindern in den Räumen eine selbständige Erforschung und Erkundung möglich ist und die Raumgestaltung auf die Bedürfnisse der Kinder abgestimmt ist. Der Raum ist an die Bedürfnisse, Fähigkeiten und Grenzen der Kinder anzupassen. Der Raum soll Geborgenheit sowie Impuls für Herausforderung und Aktivität bieten. Dabei ist es wichtig, dass die Gestaltung des Raumes die Selbständigkeit der Kinder unterstützt.

Tip_Raumgestaltung2

Bild_Checkliste_Raum Eine Checkliste zu den Anforderungen an die Raumgestaltung unterstützt sie bei der Orientierung.

Bild_DGUV_Information Der Unfallversicherungsträger gibt mit seiner Broschüre "Kindertagespflege - damit es allen gut geht" eine Übersicht an Hinweisen, zur sicheren Raumgestaltung.

Das_sichere_Haus1 Broschüre "Kinder sicher betreuen" der Aktion DAS SICHERE HAUS.

Informationen zur Raumgestaltung können Sie zudem den Qualitätskriterien für die Kindertagespflege im Freistaat Sachsen (Kap. 2.3) sowie dem Sächsischen Bildungsplan entnehmen.

R - Recht am eigenen Bild
Das Recht am eigenen Bild
Das Recht am eigenen Bild ist ein im Grundgesetz definierter Teil der Persönlichkeitsrechte.

Wichtige Hinweise für den Umgang mit Foto- und Videoaufnahmen und die Nutzung von WhatsApp im Rahmen Ihrer Tätigkeit, finden Sie im Artikel von Juristin Frau Prof. Naake hier.

Eine Muster-Einwilligung in Foto- und Filmaufnahmen finden Sie hier.

R - Rechtsanspruch

Ab dem 1. August 2013 gilt gemäß § 24 SGB VIII der Rechtsanspruch auf Förderung in einer Kindertageseinrichtung oder in Kindertagespflege für Kinder ab Vollendung des ersten Lebensjahres. Mit diesem Recht besteht einen Anspruch auf einen Betreuungsplatz entsprechend des persönlichen Bedarfes. Dieser kann stellvertretend durch die Eltern in Anspruch genommen werden. Der Anspruch in Verbindung mit dem persönlichen, individuellen Bedarf zielt nicht vorrangig auf die Deckung der elterlichen Bedarfe bspw. hinsichtlich der Betreuung während der Arbeitszeit, sondern viel mehr auf den Anspruch des Kindes auf Förderung. Daher sollte die Wahl des entsprechenden Betreuungsplatzes mit dem Fokus auf die Bedürfnisse des Kindes ausgewählt werden, d. h. Zusammensetzung der Gruppe, Bezugsperson, etc. Hierbei ist insbesondere die differenzierte gesetzliche Aussage im § 24 SGB VIII zu beachten. Der Umfang der täglichen Förderung richtet sich dabei nach dem von den Eltern definierten individuellen Bedarf, welcher begrenzt wird durch das Kindeswohl. Während bei dem Rechtsanspruch für Kinder ab dem 3. Lebensjahr auf ein bedarfsgerechtes Angebot an Ganztagsplätzen hinzuwirken ist, spricht das Gesetzt ab Vollendung des ersten Lebensjahres von einem individuellen Anspruch auf Förderung.

BVKTP_Schlaglicht_2013_09

Weitere Ausführung dazu finden Sie im Schlaglicht des Bundesverband für Kindertagespflege hier.

Ein Urteil zur Kostenübernahme bei Selbstbeschaffung eines Betreuungsplatzes finden Sie hier.

R - Rentenalter

Eine generelle Altersgrenze für das Ausüben der Tätigkeit als Kindertagespflegeperson kann es aufgrund des Grundrechtes der Berufsfreiheit gemäß Art. 12 GG nicht geben. Alleiniges Kriterium bildet die fachliche, persönliche und gesundheitliche Eignung, welche durch das zuständige Jugendamt geprüft wird. Wurde eine Eignung erteilt, erlischt diese nicht automatisch beim Erreichen eines gewissen Alters.

Liegen Anhaltspunkte vor, dass die Eignung aus jedweden Gründen infrage gestellt werden muss, kann diese durch das zuständige Jugendamt überprüft werden. Dies betrifft:

  • Kriterien, die das Erweiterte Führungszeugnis (gemäß § 3 SächsQualiVO) und das Gesundheitszeugnis (gemäß § 3 SächsQualiVO) betreffen
  • Mitbringen persönlicher Voraussetzungen in Beziehung zu Kindern und Erwachsenen sowie persönliche Eigenschaften und Fähigkeiten (gemäß § 23 Abs. 3, § 43 Abs. 2 SGB VIII)
  • allgemein geordnete Lebenssituation
  • zuverlässig, belastbar, flexibel
  • Erziehungskompetenz und Freude am verantwortungsbewussten, einfühlsamen Umgang mit Kindern
  • Achtung und Interesse gegenüber dem Kind
  • gute sprachliche und kognitive Fähigkeiten
  • Erkennen und Eingehen auf die individuellen Bedürfnisse der Kinder
  • Absicherung einer kindgerechten Ernährung
  • Bereitschaft und Fähigkeit zur kooperativen Zusammenarbeit mit den Eltern
  • Toleranz gegenüber anderen Lebensstilen
  • Kritikfähigkeit und konstruktiver Umgang mit Konflikten
  • Reflexion des eigenen Handelns
  • Kooperationsbereitschaft mit dem örtlichen Jugendamt und ggf. dem Träger der freien Jugendhilfe
  • Bereitschaft zur Teilnahme an Qualifizierungsmaßnahmen, Fortbildungen und zum Erfahrungsaustausch mit anderen Tagespflegepersonen
  • Beziehen und Lesen einer Fachzeitschrift

(Quelle: Empfehlung des Landesjugendamtes Sachsen zu Leistungen der Jugendhilfe in Form von Kindertagespflege - 2. Fortschreibung)

Die Festlegung von Altersgrenzen ist unwirksam. Ein Urteil vom Verwaltungsgericht Magdeburg zum Thema finden Sie hier.

Weitere Kriterien für die Eignungsfeststellung finden Sie in den Qualitätskriterien für die Kindertagespflege im Freistaat Sachsen.

R - Rentenversicherung

Kindertagespflegepersonen, die Kindertagespflege gemäß § 3 Abs. 3 SächsKitaG sowie § 23 SGB VIII anbieten, haben Anspruch auf Erstattung der hälftigen Beiträge zur Alterssicherung, wenn die Kosten als angemessen gelten. Diese Erstattung ist nach § 3 Nr. 9 EStG steuerfrei.

Maßstab für die Angemessenheit bildet der Beitragssatz der gesetzlichen Rentenversicherung (zum Urteil). Den aktuell erstattungsfähigen Jahresbeitrag finden Sie unter Download der aktualisierten Versicherungsbeiträge.

Auch private Vorsorge ist unter Umständen nach individueller Entscheidung teilweise erstattungsfähig. Hier empfiehlt der Sächsische Städte- und Gemeindetag pro betreutem Kind eine Beteiligung von 20 Euro (zu den Empfehlungen zur laufenden Geldleistung für Kindertagespflege). Unter bestimmten Umständen kann auch eine Lebensversicherung angemessen sein (zum Urteil).

Rentenversicherung bei selbständiger Tätigkeit mit zu versteuerndem Einkommen von über 400,00€

Selbständig tätige (öffentlich geförderte und private) KTPP haben gemäß § 2 Satz 1 Nr. 1 SGB VI eine Versicherungspflicht in der gesetzlichen Rentenversicherung, wenn sie im Zusammenhang mit ihrer Tätigkeit als KTPP keinen versicherungspflichtigen Arbeitnehmer beschäftigen.

Innerhalb von 3 Monaten muss eine Anmeldung bei der gesetzlichen Rentenversicherung erfolgen.

Beiträge werden in Höhe des Regelbetrages (2016: monatlich 543,24 € alte Bundesländer, 471,24 € neue Bundesländer) erhoben. Bei Nachweis des tatsächlichen Einkommens kann eine einkommensgerechte Beitragsbemessung beantragt werden.

Rentenversicherung bei selbständiger Tätigkeit mit zu versteuerndem Einkommen von 400,00€ und weniger

Es besteht keine Versicherungspflicht in der gesetzlichen Rentenversicherung. Jedoch ist eine freiwillige Versicherung in der gesetzlichen Rentenversicherung sowie eine private Absicherung möglich. Bei Angemessenheit der Beitragshöhe sowie der Art der Alterssicherung ist eine hälftige Erstattung der Kosten gemäß § 23 Abs. 2 Nr. 3 SGB VIII möglich.

Rentenversicherung der KTPP bei Tätigkeit im Anstellungsverhältnis

KTPP innerhalb eines Anstellungsverhältnisses haben gemäß § 2 Satz 1 Nr. 1 SGB VI eine Versicherungspflicht in der gesetzlichen Rentenversicherung. Entsprechend der Höhe des Verdienstes übernehmen Arbeitgeber und Angestellte(r) (KTPP) je zur Hälfte die Beiträge der gesetzlichen Rentenversicherung bzw. bei geringfügiger Beschäftigung (bis 400,00 €) wird der Rentenversicherungsbeitrag allein durch den Arbeitgeber als Pauschale beglichen.

Verantwortlichkeiten

Bei Anstellung bei einem Träger/Arbeitgeber liegt die Verantwortung u. a. für die Beitragszahlungen in die Rentenversicherung bei dem Arbeitgeber.

Bei selbstständiger Tätigkeit sorgt die Kindertagespflegeperson (KTPP) eigenständig für die Abschlüsse und Beitragszahlungen in die Pflichtversicherungen (u. a. Rentenversicherung).

Ausführliche Hinweise zu Versicherungen können sie in den "Fakten und Empfehlungen zu den Neuregelungen in der Kindertagespflege" nachlesen.

R - Rundfunkbeitrag
Kindertagespflege in privaten Räumen:

„Eine Betriebsstätte ist jede ortsfeste Raumeinheit, die zu nicht ausschließlich privaten Zwecken bestimmt ist. […] Betriebsstätten in privaten Wohnungen sind beitragsfrei, wenn für die Wohnung bereits ein Beitrag entrichtet wird.“

„Selbstständige oder Freiberufler, die ihren Arbeitsplatz – also ihre Betriebsstätte – in der privaten Wohnung eingerichtet haben, profitieren von Entlastungen: Wird für die Wohnung bereits ein Rundfunkbeitrag geleistet, fällt für die Betriebsstätte kein gesonderter Beitrag an. Es ist nur ein Rundfunkbeitrag für nicht ausschließlich privat genutzte Kraftfahrzeuge zu leisten: Pro Fahrzeug ist ein Drittelbeitrag – monatlich 5,83 Euro (bis zum 31.03.2015: 5,99 Euro) zu zahlen.“

(Quelle: http://www.rundfunkbeitrag.de/)

-> Aus dieser Regelung ergibt sich, dass Kindertagespflegepersonen, die Kinder im eigenen Haushalt betreuen und privat den Rundfunkbeitrag entrichten, keinen zusätzlichen Rundfunkbeitrag im Rahmen ihrer Tätigkeit bezahlen müssen.

Kindertagespflege in angemieteten Räumen:

Betrachtung als Unternehmen: „Die Höhe des Rundfunkbeitrags für Unternehmen und Institutionen orientiert sich an der Anzahl der Betriebsstätten. Pro Betriebsstätte richtet sich die Beitragshöhe nach der durchschnittlichen Anzahl der Beschäftigten im Jahr. Klein- und Kleinstunternehmen mit durchschnittlich bis zu acht Beschäftigten (Staffel 1) zahlen für jede Betriebsstätte nur einen Drittelbeitrag – monatlich 5,83 Euro. Pro beitragspflichtige Betriebsstätte ist ein betrieblich genutztes Kraftfahrzeug frei.“

„Als Beschäftigte gelten alle sozialversicherungspflichtig Voll- und Teilzeitbeschäftigten sowie Bedienstete in einem öffentlich-rechtlichen Dienstverhältnis. Nicht mitgerechnet werden Auszubildende und geringfügig Beschäftigte.“

Betrachtung als Einrichtung des Gemeinwohls:

„Der Rundfunkbeitrag pro Betriebsstätte ist gedeckelt. Die Höhe des Beitrags richtet sich nach der Anzahl der sozialversicherungspflichtig Beschäftigten pro Betriebsstätte. Die auf die Einrichtung zugelassenen Kraftfahrzeuge sind mit dem Beitrag für die Betriebsstätte abgedeckt. Um Anspruch auf den gedeckelten Beitrag zu haben, müssen die Einrichtungen den Nachweis der Gemeinnützigkeit im Sinne der Abgabenordnung erbringen.“

„Was sind Einrichtungen des Gemeinwohls? Als Einrichtungen des Gemeinwohls gelten [u. a.]:

  • gemeinnützige Einrichtungen der Jugendhilfe im Sinne des Kinder- und Jugendhilfegesetzes (achtes Buch des Sozialhilfegesetzbuches) […]“

Bei bis zu acht Beschäftigten wird ein Beitrag in Höhe von 5,83 € verlangt.

(Quelle: http://www.rundfunkbeitrag.de/)

-> Gleich welche Bewertungsgrundlage (Unternehmen oder gemeinnützige Einrichtung) genutzt wird, werden für die Kindertagespflegeperson im Rahmen der Tätigkeit Kosten in Höhe von 5,83 € für die angemieteten Räume anfallen.

R - Richtlinie SächsKiTaQualiRL - Zur Sicherung und Weiterentwicklung der Qualität in Kindertageseinrichtungen und in der Kindertagespflege

Veröffentlicht am 06. Juli 2023 im Sächsischen Amtsblatt als Zweite Verwaltungsvorschrift des Sächsischen Staatsministeriums für Kultus zur Änderung der Richtlinie zur Sicherung und Weiterentwicklung der Qualität in Kindertageseinrichtungen und in der Kindertagespflege (SächsKitaQualiRL)

Über die Richtlinie zur Sicherung und Weiterentwicklung der Qualität in Kindertageseinrichtungen und in der Kindertagespflege werden folgende Bereiche gefördert:

  1. Projekte mit überregionaler Bedeutung und Modellprojekte, Fachtagungen im Bereich Kindertagesbetreuung und Kindertagespflege
  2. Fachberatung für Kindertageseinrichtungen freier Träger
  3. Teambezogene Fortbildungen und Fortbildungen für Kindertagespflegepersonen zur Umsetzung des Sächsischen Bildungsplans, die die pädagogischen Fachkräfte bei der praxisnahen Umsetzung des Sächsischen Bildungsplanes und der Gestaltung des Schulvorbereitungsjahres unterstützen und der Weiterentwicklung der pädagogischen Arbeit dienen sowie der Stärkung der persönlichen Kompetenz bei Kindertagespflegepersonen dienen.
  4. Pädagogische Maßnahmen zur Umsetzung des Sächsischen Bildungsplans in Kindertageseinrichtungen, insbesondere pädagogische Projekte und praxisorientierte Erfahrungsaustausche
  5. Angebote von Lernwerkstätten

    Der KSV Sachsen ist für diese Richtlinie die Bewilligungsbehörde. Anträge sind, wie bisher bis 30. November des Vorjahres einzureichen. Sie sind auf der Homepage des KSV abrufbar: Antrag

    Die aktuelle Richtlinie SächsKitaQualiRL ist unter folgendem Link zu finden: Richtlinie SächsKitaQualiRL
S
S - SAB-Förderung - Weiterbildungsscheck

Die Sächsische AufbauBank (SAB) fördert verschiedene Weiterbildungsmaßnahmen mittels Zuschüssen. Dafür stehen zwei verschiedene Fördermöglichkeiten zur Verfügung:

Weiterbildungsscheck
– individuell
Weiterbildungsscheck
– betrieblich
richtet sich an Privatpersonen (u. a. Beschäftigte, Auszu-bildende, Wiedereinsteiger, Berufsrückkehrer), die sich mittels einer passenden Weiterbildung beruflich weiter-entwickeln möchten. richtet sich an sächsische Unternehmen mit weniger als 250 Mitarbeitern. Mit der Förderung können sowohl Unternehmer bzw. Selbst- ständige u.a. bei einer Maßnahme der betrieblichen Weiterbildung unterstützt werden.
Die Förderung erfolgt vorrangig an Arbeitnehmer. Die Förderung erfolgt vorrangig an Selbständige.
Link zum Flyer Link zum Flyer

Hier finden Sie eine Übersicht mit den wichtigsten Informationen zur SAB-Förderung.

S - Sächsische Integrationsverordnung

Link: https://www.revosax.sachsen.de/vorschrift/3210-Saechsische-Integrationsverordnung

Abkürzung: SächsIntegrVO

Ausfertigungsdatum: 13.12.2002

Vollzitat: Verordnung des Sächsischen Staatsministeriums für Kultus zur Integration von behinderten und von Behinderung bedrohten Kindern in Tageseinrichtungen (Sächsische Integrationsverordnung – SächsIntegrVO)

Stand: Fassung gültig ab 19. Oktober 2010, Fassung gültig bis: 21. Juni 2017

S - Sächsische Kindertageseinrichtungen-Finanzierungsverordnung

Link: http://www.revosax.sachsen.de/vorschrift/12051#ef

Abkürzung: SächsKitaFinVO

Ausfertigungsdatum: 13.07.2011

Vollzitat: Verordnung des Sächsischen Staatsministeriums für Kultus zur Finanzierung von Kindertageseinrichtungen und Kindertagespflege (Sächsische Kindertageseinrichtungen-Finanzierungsverordnung – SächsKitaFinVO)

Stand: Fassung gültig ab 01.09.2015

S - Sächsische Qualifikations- und Fortbildungsverordnung pädagogischer Fachkräfte

Link: http://www.revosax.sachsen.de/vorschrift/11517-Saechsische_Qualifikations__und_Fortbildungsverordnung_paedagog

Abkürzung: SächsQualiVO

Ausfertigungsdatum: 20.09.2010

Vollzitat: Verordnung des Sächsischen Staatsministeriums für Kultus über die Anforderungen an die Qualifikation und Fortbildung der pädagogischen Fachkräfte in Kindertageseinrichtungen, der Kindertagespflegepersonen und der Fachberater (Sächsische Qualifikations- und Fortbildungsverordnung pädagogischer Fachkräfte – SächsQualiVO)

Stand: zuletzt durch Artikel 2 der Verordnung vom 6. Juni 2017 geändert worden ist; Fassung gültig ab: 22. Juni 2017

Ergänzung

Das Sächsische Staatsministerium für Kultus (SMK) veröffentlichte ein Informationsschreiben zur Änderung der Sächsischen Qualifikations- und Fortbildungsverordnung pädagogischer Fachkräfte am 3. Februar 2017. In diesem Schreiben befindet sich folgender Hinweise zu § 3 SächsQualiVO (Qualifikation der Kindertagespflegepersonen):

In Nr. 4 des § 3 SächsQualiVO finden Sie als Qualifikationsvoraussetzung die Qualifizierung nach dem Kompetenzorientierten Qualifizierungshandbuch (QHB). Bitte beachten Sie, dass die bisherigen Qualifikationsanforderungen (Nr. 1 – 3 des § 3 SächsQualiVO) weiterhin bestehen bleiben. Damit führt die Neuregelung nicht dazu, dass Sie für eine Neubeantragung Ihrer Erlaubnis die Qualifizierung nach dem QHB absolvieren oder vorweisen müssen.

Das Informationsschreiben steht hier zum Download bereit.

S - Sächsischer Bildungsplan

Link

Ausfertigungsdatum: 2007

Der Sächsische Bildungsplan dient als Orientierungshilfe, um kindliche Entwicklungsprozesse professionell zu begleiten und anzuregen. Neben dem „neuen Bild vom Kind“ gehört zum Inhalt des Sächsischen Bildungsplanes eine differenzierte Betrachtung, der einzelnen Bildungsbereiche (somatische, soziale, kommunikative, ästhetische, naturwissenschaftliche und mathematische Bildung). Gemäß § 2 SächsKitaG ist der Sächsische Bildungsplan Grundlage des pädagogischen Handelns in Krippe, Kindergarten, Hort sowie in Kindertagespflegestellen.

Begleitheft zum Sächsischen Bildungsplan

S - Sächsisches Kindergesundheits- und Kinderschutzgesetz

Link: http://www.revosax.sachsen.de/vorschrift/11432-SaechsKiSchG

Abkürzung: SächsKiSchG

Ausfertigungsdatum: 11.06.2010

Vollzitat: Sächsisches Kindergesundheits- und Kinderschutzgesetz (SächsKiSchG) = Artikel 1 des Zweiten Gesetzes zur Förderung der Teilnahme von Kindern an Früherkennungsuntersuchungen vom 11. Juni 2010

S - Säuglingsnahrung

Bei der Zubereitung von Speisen für Säugling sollten zu den allgemein gültigen Maßnahmen im Umgang mit Lebensmittel, besonders auf eine hygienische Zubereitung geachtet werden. Bei Säuglingen handelt es sich um eine besonders sensible Verbrauchergruppe, da ihr Immunsystem noch nicht ausgereift ist. Aus diesem Grund sollten folgende Aspekte bei der Zubereitung einer Säuglingsnahrung zusätzlich zu den Lebensmittelhygiene-Vorschriften eingehalten werden:

Pulvernahrung & Babykost (Gläschen):

  • Immer frisch zubereiten
  • Hände vor Zubereitung gründlich reinigen
  • Säuglingsnahrung nicht aufbewahren oder wieder verwenden, Reste entsorgen

Pulvernahrung:

  • Zubereitung getrennt von rohen Lebensmitteln
  • Für Zubereitung abgekochtes Trinkwasser verwenden
  • Zubereitungsgegenstände nach jeder Verwendung gründlich reinigen, Gummisauger regelmäßig abkochen

Babykost (Gläschen):

  • Angefangene Gläschen im Kühlschrank max. 1 Tag aufbewahren
  • Jedes Kind hat einen eigenen Löffel und ein eigenes/n Gläschen/Teller

Weitere Hinweise zum Umgang mit Lebensmitteln finden Sie hier.

Besondere Hinweise für den Umgang mit in die Kindertagespflegestelle mitgebrachte Speisen sowie Muttermilch finde Sie hier.

S - Schlüssel zu guter Bildung, Erziehung und Betreuung

Titel: Schlüssel zu guter Bildung, Erziehung und Betreuung – Bildungsaufgaben, Zeitkontingente und strukturelle Rahmenbedingungen in Kindertageseinrichtungen –

Autor: Susanne Viernickel, Iris Nentwig-Gesemann, Katharina Nicolai, Stefanie Schwarz, Luise Zenker

Quellenangabe: Viernickel, S.; Nentwig-Gesemann, I.; Nicolai, K.; Schwarz, S.; Zenker, L. (2013): Schlüssel zu guter Bildung, Erziehung und Betreuung – Bildungsaufgaben, Zeitkontingente und strukturelle Rahmenbedingungen in Kindertageseinrichtungen – 1. Aufl., Berlin: Der Paritätische Gesamtverband, Diakonie Deutschland – Evangelischer Bundesverband, Gewerkschaft Erziehung und Wissenschaft.

Herausgeber: Der Paritätische Gesamtverband, Diakonie Deutschland – Evangelischer Bundesverband, Gewerkschaft Erziehung und Wissenschaft

Hinweis: Die Erstellung der Expertise wurde durch die Aktion Mensch gefördert.

Bild_GEW_Bildung

Der Forschungsverbund untersuchte seit 2007 in Zusammenarbeit mit Wissenschaftler(inne)n der Alice Salomon Hochschule Berlin die Bedingungen für Kinder und pädagogische Fachkräfte in Deutschland. Ziel ist, die Bedingungen zu verbessern und mehr Transparenz in der Debatte um die Qualität in Kindertageseinrichtungen zu erhalten. Mit einer quantitativen und qualitativen Befragung von Fachkräften, öffentlichen und freien Trägern aus dem gesamten Bundesgebiet macht der vorliegende Bericht nunmehr wissenschaftlich fundierte Aussagen zu den Bildungsaufgaben, Zeitkontingenten und den vorhandenen strukturellen Rahmenbedingungen in Kindertageseinrichtungen.

Die Studie als Download finden Sie hier.

S - Schulvorbereitungsjahr

Mit der Änderungen des SächsKitaG durch Artikel 22 des Haushaltsbegleitgesetz 2019/2020 tritt die Regelung zur Absenkung der Elternbeiträge im Schulvorbereitungsjahr ab dem 1. Juni 2019 in Kraft.

Die vorläufige Fassung der Änderungen im SächsKitaG finden Sie hier. Erläuterungen zu den Änderungen finden Sie im Schreiben des SMK hier.

S - Selbstgebaute Spielgeräte im Außengelände

Selbstgebaute Spielgeräte im Außengelände

Wie ist die Rechtslage bei selbstgebauten Spielgeräten im Außengelände? Was ist bei selbstgebauten Spielgeräten im Außenbereich haftungsrechtlich zu beachten?

Viele Kindertagespflegepersonen legen in ihrer Konzeption besonderen Wert auf Bewegung und Spiel an der frischen Luft und sind mit den Kindern gern draußen. Kindertagespflegepersonen, die die anvertrauten Kinder in eigenen Räumlichkeiten betreuen, nutzen auch den eigenen Garten und die dort befindlichen Spielgeräte.

Mit der wertvollen Unterstützung durch Prof. Beate Naake möchten wir Ihnen dazu folgende Informationen geben:

Was ist zu beachten?
DIN-Normen

Die europaweit geltenden EN-Normen 1176-1 „Spielplatzgeräte“ und die nachfolgende Norm EN 1177 „Stoßdämpfende Spielplatzböden“ gelten für öffentliche Spielplatze. Diese Normen gelten aber nicht für Geräte, die eine Kindertagespflegeperson zur nichtöffentlichen Nutzung in ihrem Garten aufstellt.

Verkehrssicherungspflicht

Auch wenn die DIN-Normen für öffentliche Spielplätze nicht einschlägig sind, hat die Kindertagespflegeperson, die Spielgeräte in ihrem Garten aufstellt, sogenannte Verkehrssicherungspflichten zu beachten. Die Verkehrssicherungspflicht greift immer dann ein,wenn der Pflichtige eine von ihm zu „verantwortende Gefahrenquelle dem Verkehr für andere eröffnet“. Der Betreiber muss dafür Sorge tragen, dass niemand durch diese Gefahrenquelle zu Schaden kommt. Die Rechtsprechung formuliert allgemein: Es ist „derjenige, der eine Gefahrenlage – gleich welcher Art – schafft, grundsätzlich verpflichtet, die notwendigen und zumutbaren Vorkehrungen zu treffen, um eine Schädigung anderer möglichst zu vermindern. Die rechtlich gebotene Verkehrssicherung umfasst diejenigen Maßnahmen, die ein umsichtiger und verständiger, in vernünftigen Grenzen vorsichtiger Mensch für notwendig und ausreichend hält, umandere vor Schäden zu bewahren“, so der Bundesgerichtshof in seiner Rechtsprechung (Urteil des BGH vom 25. Februar 2014, Aktenzeichen: VI ZR 299/13). Die von Kindertagespflegepersonen selbst her- und aufgestellten Außenspielgeräte können eine solche Gefahrenquelle darstellen und sind darum hinreichend zu überwachen. Wird die Verkehrssicherungspflicht verletzt, besteht eine

Ersatzpflicht für eingetretene Schäden. Andererseits fordert die Rechtsprechung nicht, dass nur völlig risikofreie Geräte genutzt werden dürfen, da die Kinder sich nur an neuen Herausforderungen steigern und messen können.

Welche Maßnahmen muss eine Kindertagespflegeperson ergreifen, um einer hinreichenden Sicherung nachzukommen?
  • Spielgeräte müssen standsicher aufgebaut sein.
  • Schrauben und Muttern sollten versenkt sein.
  • Die mögliche Fallhöhe sollte nicht zu hoch sein.
  • Der Untergrund sollte angemessen sein, insbesondere Rasen oder Mulch, keine Betonpflastersteine.
  • Fangestellen, bei denen die Gefahr besteht, mit Kopf oder Extremitäten hängen zu bleiben, sind zu vermeiden.
  • Die Spielgeräte sollten gut einsehbar sein.

Auch wenn die DIN-Normen für Spielplätze nicht gelten, nennen die Normen, doch viele Regelungen, die auch zum Einhalten der Verkehrssicherungspflichten führen. Insoweit bietet die Broschüre, der Deutschen Gesetzlichen Unfallversicherung „GUV-Information: Außenspielflächen und Spielplatzgeräte“, wichtige Informationen, um die der Kindertagespflegepersonen obliegende Verkehrssicherungspflicht nachzukommen.

Betreuungspflichten

Neben der Verkehrssicherungspflicht hat die Kindertagespflegeperson auch die Aufsicht über die anvertrauten Kinder. Diese Pflicht obliegt aber jeder Kindertagespflegeperson, also nicht nur derjenigen, die eigene Spielgeräte nutzt. Konkret heißt das, die Kindertagespflegeperson hat bei jedem einzelnen Kind zu ermitteln, ob es fähig ist, die Spielgeräte gefahrlos nutzen zu können, oder ob es motorisch dazu noch nicht in der Lage ist. Ebenso muss die Kindertagespflegeperson gewährleisten, dass Spielgeräte nicht überlastet werden. Dies bedeutet die Kindertages- pflegeperson muss darauf achten, dass Spielgeräte ggf. nur einzeln von den Kindern benutzt und aufgestellte Regeln zum Nutzen der Geräte eingehalten werden.

Haftungsausschluss

Gelegentlich stellen Kindertagespflegepersonen die Frage, ob es generell möglich ist, die Haftung bei der Nutzung von Spielgeräten, auszuschließen. Eine generelle Haftungsfreizeichnung kann nicht wirksam vereinbart werden, da die Betreuung zu den originären Aufgaben einer Kindertagespflegeperson gehört. Ein Haftungsausschluss für grobe Fahrlässigkeit ist nicht möglich. Außerdem ist zu beachten, dass die Kinder auch bei Unfällen in der Kindertagespflege über die gesetzliche Unfallversicherung abgesichert sind.

Zusammenfassung

Für Kindertagespflegepersonen, die selbst gebaute Spielgeräte im Freien für die zu betreuenden Kinder zur Verfügung stellen, gelten nicht die für Spielplätze relevanten DIN-Normen. Allerdings sind Verkehrssicherungs- und Betreuungspflichten zu beachten, damit die anvertrauten Kinder nicht zu Schaden kommen.

Quelle zum Nachlesen:

  • Deutsche Gesetzliche Unfallversicherung: GUV-Information: Außenspielflächen und Spielplatzgeräte, GUV-SI 8017, Mai 2005, aktualisierte Fassung September 2008. Die Broschüre finden Sie hier.
  • Eine weitere Publikation zum Thema finden Sie hier.
S - Sell, S.; Kukula, N. (Follow up-Studie 2015)

Titel: Laufende Geldleistungen in der öffentlich geförderten Kindertagespflege. Ergebnisse einer Follow up-Studie 2015

Autor: Stefan Sell, Nicole Kukula

Quellenangabe: Kukula, N.; Sell, S. (2015): Laufende Geldleistungen in der öffentlich geförderten Kindertagespflege. Ergebnisse einer Follow up-Studie 2015. Remagen: Institut für Bildungs- und Sozialpolitik der Hochschule Koblenz (IBUS)

Herausgeber: Institut für Bildungs- und Sozialpolitik der Hochschule Koblenz (IBUS)

Hinweis: Im Auftrag des Bundesverbandes für Kindertagespflege. Die Erstellung der Expertise wurde durch das Bundesministerium für Familien, Senioren, Frauen und Jugend gefördert.

Bild_Studie_2015

Im Jahr 2012 legten Nicole Kukula und Prof. Dr. Stefan Sell vom Institut für Bildungs- und Sozialpolitik der Hochschule Koblenz (IBUS) im Auftrag des Bundesverbandes für Kindertagespflege Zahlen zur leistungsorientierten Vergütung in der Kindertagespflege vor. Die damalige Studie erregte viel Aufmerksamkeit, denn zum ersten Mal gab es eine deutschlandweite Erhebung, die belastbare Fakten zur Höhe und Struktur der Bezahlung von Kindertagespflegepersonen lieferte.

Für den Bundesverband ist von besonderem Interesse, wie sich die Vergütung seit 2012 entwickelt hat. Deshalb hat sich der Bundesverband entschlossen, das IBUS mit der Durchführung einer Follow up-Studie zu beauftragen, um die Dynamik der Entwicklung erkennen zu können.

Die Untersuchung zeigt nicht nur die ausgesprochene Heterogenität der Entwicklungen in den einzelnen Bundesländern auf, sie macht auch deutlich, dass die im § 23 SGB VIII festgeschriebene leistungsgerechte Ausgestaltung der Förderungsleistung noch nicht erreicht ist.

Die Studie steht zum kostenlosen download zur Verfügung auf der Seite des Bundesverbandeszur Verfügung. Sie finden den Link hier.

Bild_Studie_Sell

Die vorangegangene Studie aus dem Jahr 2012 "Vergütung der Kindertagespflege. Bestandsaufnahme und Modelle einer leistungsorientierten Vergütungssystematik" von Stefan Sell und Nicole Kukula finden Sie hier.

S - Sell, S.; Kukula, N. (Studie 2012)

Titel: Vergütung der Kindertagespflege. Bestandsaufnahme und Modelle einer leistungsorientierten Vergütungssystematik

Autor: Stefan Sell, Nicole Kukula

Quellenangabe: Sell, S.; Kukula, N.(2013): Vergütung der Kindertagespflege. Bestandsaufnahme und Modelle einer leistungsorientierten Vergütungssystematik. 1. Aufl., Remagen: ibus-Verlag.

Herausgeber: Institut für Bildungs- und Sozialpolitik der Hochschule Koblenz (ibus)

Hinweis: Eine Expertise im Auftrag des Bundesverbandes für Kindertagespflege. Die Erstellung der Expertise wurde durch das Bundesministerium für Familien, Senioren, Frauen und Jugend gefördert.

Bild_Studie_Sell

In der Studie "Vergütung der Kindertagespflege. Bestandsaufnahme und Modelle einer leistungsorientierten Vergütungssystematik" von Stefan Sell und Nicole Kukula wurde die Vergütung von Kindertagespflegepersonen erhoben. Weiterhin werden verschiedene Vergütungsmodelle vorgestellt sowie die betriebswirtschaftlicher Vergleich zwischen (Kindertagespflege) KTP und institutioneller Betreuung in der Kindereinrichtung aufgestellt. Abschließend werden Potenziale der KTP vorgestellt.

Die Studie als Download finden Sie hier.

Bild_Studie_2015

Die Follow up-Studie "Laufende Geldleistungen in der öffentlich geförderten Kindertagespflege. Ergebnisse einer Follow up-Studie 2015 " aus dem Jahr 2015 finden Sie zum download hier.

S - SLAP: Aktionsplan der Sächsischen Staatsregierung zur Umsetzung der UN-Behindertenrechtskonvention (UN-BRK)

Link: http://behindern.verhindern.sachsen.de/download/Kampagnenmaterial/Aktionsplan.pdf

Abkürzung: SLAP

Ausfertigungsdatum: 2016

Stand: Version 1.0

Weitere Informationen zum Aktionsplan der Sächsischen Staatsregierung zur Umsetzung der UN-Behindertenrechtskonvention (UNBRK) finden Sie hier.

S - Sozialgesetzbuch III

Link: http://www.gesetze-im-internet.de/bundesrecht/sgb_3/gesamt.pdf

Abkürzung: SGB III

Ausfertigungsdatum: 24.03.1997

Vollzitat: "Das Dritte Buch Sozialgesetzbuch – Arbeitsförderung – (Artikel 1 des Gesetzes vom 24. März 1997, BGBl. I S. 594, 595), das zuletzt durch Artikel 11 des Gesetzes vom 19. Oktober 2013 (BGBl. I S. 3836) geändert worden ist"

Stand: Zuletzt geändert durch Art. 11 G v. 19.10.2013 I 3836

S - Sozialgesetzbuch V

Link: http://www.gesetze-im-internet.de/bundesrecht/sgb_5/gesamt.pdf

Abkürzung: SGB V

Ausfertigungsdatum: 20.12.1988

Vollzitat: "Das Fünfte Buch Sozialgesetzbuch – Gesetzliche Krankenversicherung – (Artikel 1 des Gesetzes vom 20. Dezember 1988, BGBl. I S. 2477, 2482), das durch Artikel 2 des Gesetzes vom 15. April 2015 (BGBl. I S. 583) geändert worden ist"

Stand: Zuletzt geändert durch Art. 2a G v. 17.12.2014 I 2222

S - Sozialgesetzbuch VI

Link: http://www.gesetze-im-internet.de/bundesrecht/sgb_6/gesamt.pdf

Abkürzung: SGB VI

Ausfertigungsdatum: 18.12.1989

Vollzitat: "Das Sechste Buch Sozialgesetzbuch – Gesetzliche Rentenversicherung – in der Fassung der Bekanntmachung vom 19. Februar 2002 (BGBl. I S. 754, 1404, 3384), das zuletzt durch Artikel 12 des Gesetzes vom 19. Oktober 2013 (BGBl. I S. 3836) geändert worden ist"

Stand: Neugefasst durch Bek. v. 19.2.2002 I 754, 1404, 3384;zuletzt geändert durch:Art. 12 G v. 19.10.2013 I 3836

S - Sozialgesetzbuch VII

Link: http://www.gesetze-im-internet.de/bundesrecht/sgb_7/gesamt.pdf

Abkürzung: SGB VII

Ausfertigungsdatum: 07.08.1996

Vollzitat: "Das Siebte Buch Sozialgesetzbuch – Gesetzliche Unfallversicherung – (Artikel 1 des Gesetzes vom 7. August 1996, BGBl. I S. 1254), das durch Artikel 7 des Gesetzes vom 23. Dezember 2014 (BGBl. I S. 2462) geändert worden ist"

Stand: Zuletzt geändert durch Art. 6 G v. 19.10.2013 I 3836, dieser geändert durch Art. 3 Nr. 3 G v. 30.7.2014 I 1311; Änderung durch Art. 7 G v. 23.12.2014 I 2462 (Nr. 64) noch nicht berücksichtigt

S - Sozialgesetzbuch VIII (inkl. KiCK; TAG; KiföG)

Link: http://www.gesetze-im-internet.de/sgb_8/index.html

Abkürzung: SGB VIII

Ausfertigungsdatum: 26.06.1990

Vollzitat: "Das Achte Buch Sozialgesetzbuch – Kinder und Jugendhilfe – in der Fassung der Bekanntmachung vom 11. September 2012 (BGBl. I S. 2022), das zuletzt durch Artikel 2 Absatz 8 des Gesetzes vom 21. Januar 2015 (BGBl. I S. 10) geändert worden ist"

Stand: Neugefasst durch Bek. v. 11.9.2012 I 2022;zuletzt geändert durch Art. 2 Abs. 8 G v. 21.1.2015 I 10

S - Spiel
Die Bedeutung des Spielens

"In jedem Kind steckt ein Wissenschaftler"

  • Spielend entdecken Kinder die Welt.
  • Spielen ist die Arbeit der Kinder.
  • Spielen ist Bildung.

Im Spielen lernen sie was sie für ihre Entwicklung brauchen. Sie lernen ihre Möglichkeiten kennen, sammeln Erfahrungen (bspw. über physikalische Gesetzmäßigkeiten) und erproben das soziale Miteinander, aber auch die Wahrnehmung, der Tastsinn und die Feinmotorik werden dabei geschult.

Eine bewusste und begrenzte Auswahl an Spielzeugen fördert die Kreativität und Fantasie der Kinder und regt die Entwicklung sozialer Kompetenzen an. Kinder nutzen besonders gern Alltagsgegenstände zum Spielen. Mit größter Phantasie werden Gegenstände zweckentfremdet. Der Einfallsreichtum kennt dabei keine Grenzen.

Mögliches Alltagsspielzeug:

  • Geschirr und Küchenutensilien
  • Trockenlebensmittel (bspw. zum Sortieren)
  • Pappkartons/Pappröhren
  • Knöpfe
  • Wäscheklammern
  • leere Plastikgefäße/-flaschen
  • Fühlsäckchen
S - SSG-Muster-Vereinbarung zwischen Kommune und Kindertagespflegeperson

Link: Mustervereinbarung

Ausfertigungsdatum: 22.03.2012

Vollzitat: Muster - Vereinbarung zwischen Kommune und Kindertagespflegeperson gemäß § 1 Abs. 6, § 3 Abs. 3 und § 14 Abs. 6 SächsKitaG

Stand: vom 22.03.2013

S - Statistische Angaben zur Kindertagespflege in Sachsen

Nach Angaben des Sächsischen Landesamtes für Statistik wurden – mit Stand 01.03.2022 – 6.022 Kinder in öffentlich geförderter Kindertagespflege nach SächsKitaG durch 1.419 Kindertagespflegepersonen betreut.

Weitere statistische Informationen finden Sie hier.

Quellen: Freistaat Sachsen: Statistik der Kinder- und Jugendhilfe - Teil III.1: Kinder und tätige Personen in Tageseinrichtungen und III.3: Kinder und tätige Personen in öffentlich geförderter Kindertagespflege am 1. März 2022

S - Steuerliche Behandlung der Kindertagespflege

Am 11. November 2016 veröffentlichte das Bundesministerium für Finanzen eine aktuelle Information zur ertragssteuerlichen Behandlung der Kindertagespflegepersonen. Folgende Informationen sind darin u. a. enthalten:

  • Kindertagespflegepersonen können weiterhin statt der tatsächlichen Betriebsausgaben von den erzielten Einnahmen 300 € je Kind und Monat pauschal als Betriebsausgaben abziehen
  • Regelungen zum Umgang mit der Betriebskostenpauschale im Vertretungsfall und bei Finanzierung eines Freihalteplatzes

Die Information des Bundesministeriums steht Ihnen hier und hier zum Download bereit.

Ein ergänzendes Schreiben des Sächsischen Staatsministeriums für Kultus finden Sie hier. Sowie ein dazughöriges Rechenbeispiel hier.

Des weiteren können Sie hier einzelne Fragen und Antworten um das Thema einkommensteuerpflichtige Einnahmen von KTPP finden.

Beachtung steuerliche Regelungen:

Wir möchten Sie darüber informieren, dass zwingend alle Einnahmen im Rahmen der Kindertagespflege angeben werden müssen. Hierzu zählen u. a. auch alle Einnahmen des Essengeldes – auch, wenn sie selbst kochen. Das Finanzamt hat die Möglichkeit Rückforderungen bis zu 10 Jahre zu erheben.

S - Steuerliche Behandlung der Sozialversicherungsbeiträge
Frage:

Ist die hälftige Erstattung der Sozialversicherungsbeiträge durch die Kommune als Einnahme bzw. Leistung definiert und ist sie somit zu versteuern?

Antwort:

Nein, die hälftige Erstattung der Sozialversicherungsbeiträge sind steuerfrei.

Hintergrund:

Aus der "Empfehlung des Landesjugendamtes Sachsen zu Leistungen der Jugendhilfe in Form von Kindertagespflege" geht hervor:

  • „9.5 Hälftige Erstattung nachgewiesener Aufwendungen zu einer angemessenen Kranken- und Pflegeversicherung: Gemäß § 23 Abs. 2 Nr. 4 SGB VIII sind nachgewiesene Aufwendungen zu einer angemessenen Kranken- und Pflegeversicherung der Kindertagespflegeperson hälftig zu erstatten. Aufgrund der Formulierung ‚sind … hälftig zu erstatten‘ hat die Kindertagespflegeperson einen Rechtsanspruch auf diese Zahlung. Auslegungsbedürftig ist nur der Begriff ‚angemessen‘.“(vgl. Empfehlung des LJA, 2019, S.38)
  • "10 Besteuerung der Einkünfte: Bei selbstständigen Kindertagespflegepersonen sind die Einnahmen aus Sachaufwand und Förderleistung steuerpflichtige Einkünfte aus selbstständiger Tätigkeit nach § 18 Abs. 1 Nr. 1 EStG. […] Die Erstattung für die Unfallversicherung sowie die hälftigen Erstattungen für die Alterssicherung, die Kranken- und Pflegeversicherung sind gemäß § 3 Nummer 9 EStG steuerfrei.“ (vgl. Empfehlung des LJA, 2019, S.39)

Das Einkommenssteuergesetz regelt in § 3 EStG: „Steuerfrei sind 9. Erstattungen nach § 23 Abs. 2 Satz 1 Nr. 3 und 4 sowie nach § 39 Abs. 4 Satz 2 des Achten Buches Sozialgesetzbuch.“ Das sind für die Kindertagespflege konkret:

  • § 23https://www.sozialgesetzbuch-sgb.de/sgbviii/23.html Abs. 2 Satz 1 Nr. 3: Unfallversicherung sowie hälftige Erstattung angemessene Alterssicherung
  • § 23 Abs. 2 Satz 1 Nr. 4: Krankenversicherung + Pflegeversicherung
S - Steuerrechtliche Behandlung von Freihalteplätzen

Das Bundesministerium der Finanzen veröffentlichte 2016 Hinweise zur Ertragsteuerliche Behandlung der Kindertagespflege. Unter anderem ging es dabei um die steuerrechtliche Behandlung von Freihalteplätzen. Diese Hinweise finden Sie hier.

Ein ergänzendes Schreiben zur Behandlung von Freihalteplätzen wurde durch das Sächsische Staatsministerium für Kultus veröffentlicht. Dieses sowie ein dazugehöriges Rechenbeispiel hier.

S - Studie zum Entscheidungsverhalten von Dresdner Eltern: "Erstwunsch Kindertagespflege"

Der Eigenbetrieb Kindertageseinrichtungen Dresden sowie die Beratungs- und Vermittlungsstelle für Kindertagespflege des Malwina e. V. stellen in einer Studie das Entscheidungsverhalten von Dresdner Eltern hinsichtlich der gewählten Betreuungsform für ihre Kinder vor.

Für die Studie wurden ca. 1700 Eltern in Dresden-Blasewitz, Dresden-Pieschen und Dresden-Neustadt befragt. 50 Prozent der Eltern nahmen an der Befragung teil.

Mittels Fragebogen wurden für die Eltern wichtige Betreuungsmerkmale sowie die Wahrscheinlichkeit deren Umsetzung erfragt.

Im Ergebnis der Studie konnte u. a. festgestellt werden, dass vor allem die individuelle Betreuung durch eine einzelne Bezugsperson sowie die vertrauensvolle Atmosphäre entscheidend für die Wahl des Angebotes waren und sind. Im Allgemeinen sind über 90 Prozent der Dresdner Eltern mit ihrer gewählten Betreuungsform sehr zufrieden.

Sabine Bibas, Betriebsleiterin des Eigenbetriebs Kindertageseinrichtungen Dresden, sagte zu den Ergebnissen: „Die hohe Zufriedenheit der Eltern aus Kindertagespflegestellen verdeutlicht erneut, dass Kindertagespflege sehr geeignet für unter dreijährige Kinder ist. Wir haben erkannt, dass die frühzeitige Information von Eltern zu den jeweiligen Struktur- und Qualitätsmerkmalen sie noch besser befähigt, das beste Angebot für ihre Familien zu finden.“

Die Studie wurde vom Institut für Soziologie der TU Dresden durchgeführt.

Weitere Informationen können Sie dem Presseartikel der Dresdner Neueste Nachrichten (DNN) am 25.06.2015 entnehmen. Sie finden den Artikel hier.

Weitere Inhalte zur Studie finden Sie hier.

S - Studien

Zum Themenfeld Kindertagespflege wurden bereits verschiedene wissenschaftliche Studien geführt. Eine Auswahl möchten wir Ihnen hier anbieten:

Ahnert, L.; Supper, B. (2012):

Ahnert_Studie

Parenting & Co-Parenting unter Einbeziehung der Studie Stendaler Tagesbetreuung und der Wiener Krippenstudie

Einen Überblick über die Inhalte der Studie finden Sie hier.

Nähere Informationen zur Studie erhalten Sie hier.

Bundesverband Kindertagespflege e. V. (2017):

fuer_alle_faelle

Für alle Fälle: Fachberatung in der Kindertagespflege. Eine Bestandsaufnahme.

Die Studie zum Download finden Sie hier.

DESI-Institut / Deutsche Kinder- und Jugendstiftung:

Kindersicht

KitaQualitaetKita-Qualität aus Kindersicht (QuaKi-Studie) - Eine Studie des DESI-Instituts im Rahmen von Qualität vor Ort

Deutsches Jugendinstitut (2018)

Brosch%C3%BCre%20Titelbild%20Was%20passiert%20in%20KTP

Was passiert in Kindertageseinrichtungen und Kindertagespflege?

Die Studie zum Download finden Sie hier.

Institut für Soziologie der TU Dresden (2013):

Detail%20Studie%20Dresden

Erstwunsch Kindertagespflege - Eine Studie zum Entscheidungsverhalten von Dresdner Eltern

Nähere Informationen zur Studien erhalten Sie hier.

Weitere Informationen erhalten Sie in einem Artikel hier.

Kühnert, S. (2011):

IKS_Broschuere_Untersuchung

Untersuchung und Empfehlungen der Informations- und Koordinierungsstelle Kindertagespflege in Sachsen

Die Studie zum Download finden Sie hier.

Schoyerer, G.; Wiesinger, J. (2017):

Brosch%C3%BCre%20Titelbild%20Praxis%20der%20FB

Die Praxis der Fachberatung für Kindertagespflege. Ergebnisse aus dem Forschungsprojekt „Qualitätsbedingungen von Fachberatung Kindertagespflege“ (QualFa)

Die Studie zum Download finden Sie hier.

Die Publikation kann in gedruckter Form kostenfrei bestellt werden unter: Kontakt

Nähere Informationen zur Studie erhalten Sie hier.

Sell, S.; Kukula, N. (2013):

Bild_Studie_Sell

Vergütung der Kindertagespflege. Bestandsaufnahme und Modelle einer leistungsorientierten Vergütungssystematik.

Die Studie zum Download finden Sie hier.db68e21b7185a8bfbfad5cc336bb85d4.pdf

Nähere Informationen zur Studie erhalten Sie hier.

Sell, S.; Kukula, N. (2015):

Bild_Studie_2015

Laufende Geldleistungen in der öffentlich geförderten Kindertagespflege. Ergebnisse einer Follow up-Studie 2015

Die Studie zum Download finden Sie hier.

Nähere Informationen zur Studie erhalten Sie hier.

Viernickel, S.; Nentwig-Gesemann, I.; Nicolai, K.; Schwarz, S.; Zenker, L. (2013):

Bild_GEW_Bildung

Schlüssel zu guter Bildung, Erziehung und Betreuung – Bildungsaufgaben, Zeitkontingente und strukturelle Rahmenbedingungen in Kindertageseinrichtungen –

Die Studie zum Download finden Sie hier.

Nähere Informationen zur Studie erhalten Sie hier.

Viernickel, S.; Ihm, M.; Böhme, M. (2019):

Gute%20Gesunde%20KTP%20Titelbild

Gute gesunde Kindertagespflege - Bildung und Gesundheit in der Kindertagespflege

Die Studie zum Download finden Sie hier.

U
U - UN-Kinderrechtskonvention
Link: http://www.bmfsfj.de/RedaktionBMFSFJ/Broschuerenstelle/Pdf-Anlagen/_C3_9Cbereinkommen-_C3_BCber-die-Rechte-des-Kindes,property=pdf,bereich=bmfsfj,sprache=de,rwb=true.pdf
Ausfertigungsdatum: 20.11.1989
Vollzitat: "Übereinkommen über die Rechte des Kindes"
Stand: am 26. Januar 1990 von der Bundesrepublik Deutschland unterzeichnet (Zustimmung von Bundestag und Bundesrat durch Gesetz vom 17. Februar 1992 – BGBl. II S. 121); am 6. März 1992 Hinterlegung der Ratifikationsurkunde beim Generalsekretär der Vereinten Nationen; am 5. April 1992 für Deutschland in Kraft getreten (Bekanntmachung vom 10. Juli 1992 – BGBl. II S. 990); am 15. Juli 2010 Rücknahme der Vorbehalte zum Übereinkommen (Beschluss Bundesrat vom 26. März 2010; Kabinettsbeschluss vom 3. Mai 2010; formale Übergabe des Rücknahmeschreibens an die Vereinten Nationen am 15. Juli 2010)
U - Unbegleitete ausländische Kinder und Jugendliche

Der Freistaat Sachsen plante ab 2016 rund 1500 minderjährige Kinder und Jugendliche mit Fluchterfahrungen aufzunehmen, die allein nach Deutschland eingereist sind. Zuständig für deren Unterbringung und Betreuung sind die örtlichen Jugendämter.

Die Bundesregierung hatte im Juli 2015 einen entsprechenden Gesetzentwurf vorgelegt. Das Kabinett hat zur Umsetzung des bundesweiten Verteilungsverfahrens die notwendigen Weichenstellungen für die Unterbringung in Sachsen beschlossen.

Seit 2017 sind die Zahlen der zugegangenen Asylerstanträge von unbegleiteten Minderjährigen rückläufig. 2016 waren es 35.939, 2018 noch 1.325. (Quelle: BAMF: Zahlen, Daten, Fakten zu unbegleiteten Minderjährigen (UM) 1. Quartal 2018 - https://www.bamf.de/SharedDocs/Anlagen/DE/Downloads/Infothek/Asyl/um-zahlen-entwicklung.pdf?__blob=publicationFile)

Weitere Informationen dazu finden Sie hier.

Durch das Erzbistum Köln wurde eine orientierungshilfe zur Betreuung von Kindern mit Fluchterfahrungen in Kindertageseinrichtungen veröffentlicht. Diese finden Sie hier.

U - Unfallversicherung

Hinsichtlich des Unfallversicherungsschutzes bedarf es folgender Unterteilung:

  • Unfallversicherungsschutz der betreuten Kinder
  • Unfallversicherungsschutz der Kindertagespflegeperson
Unfallversicherung der betreuten Kinder:

Die gesetzliche Unfallversicherung der betreuten Kinder ist sowohl für Eltern als auch für Kindertagespflegeperson (KTPP) kostenfrei. Der zuständige Versicherungsträger der Unfallversicherung der betreuten Kinder ist die Unfallkasse im Freistaat Sachsen. Gemäß § 2 Abs. 1 Nr. 8 a SGB VII sind Kinder seit 01.10.2005 während der Betreuung durch eine geeignete1 KTPP (sowohl bei Betreuung nach § 3 Abs. 3 SächsKitaG als auch nach § 23 SGB VIII) gesetzlich unfallversichert. D. h. mit Beginn des Betreuungsvertrages sind die Kinder automatisch versichert und müssen nicht durch Ihre Eltern oder die KTPP extra angemeldet werden. Es bedarf lediglich einer Erstanmeldung durch die KTPP bei Aufnahme der Tätigkeit mit dem ersten zu betreuenden Kind. Die Geeignetheit1 der KTPP ist die Voraussetzung für den Versicherungsschutz, unabhängig, ob es sich um öffentlich oder privat finanzierte KTPP handelt. Dies ist besonders in Vertretungssituationen zu beachten.

1Die Feststellung der Geeignetheit wird durch den zuständigen Träger der öffentlichen Jugendhilfe (Jugendamt) gemäß § 23 Abs. 3 SGB VIII festgestellt.

Der Versicherungsschutz der Kinder2 gilt:

  • während des gesamten Aufenthalts bei der KTPP
  • bei Ausflügen
  • auf dem Weg zur KTPP und auf dem Heimweg (unabhängig davon, ob das Kind den Unfall selbst verschuldet hat)
  • wenn die Betreuung der Kinder im Haushalt der Eltern stattfindet, sobald die KTPP im Haushalt der Eltern die Betreuung übernimmt

    2Der Kind-Begriff endet gemäß § 7 Abs. 1 Nr. 1 SGB VIII mit Vollendung des 14. Lebensjahres.

Der Versicherungsschutz der Kinder gilt nicht, bei:

  • Betreuung der Kinder in privat organisierter Kindertagespflege (§ 25 SGB VIII)
  • Betreuung der eigenen Kinder durch die KTPP selbst (fehlende Fremdbetreuung)

Haftungsansprüche Geschädigter gehen, bei Vorliegen der notwendigen Voraussetzungen, auf den Träger der gesetzlichen Unfallversicherung über. Handelt die KTPP jedoch grob fahrlässig, bspw. bei Vernachlässigung der Aufsichtspflicht, kann der Träger der gesetzlichen Unfallversicherung Regressforderungen gegenüber der KTPP geltend machen.

Weitere Informationen finden Sie als Merkblatt hier.

Unfallversicherung der Kindertagespflegeperson:

Der Versicherungsschutz der KTPP gilt:

  • bei Arbeitsunfällen
  • Berufskrankheiten
  • Wegeunfällen (im Rahmen der Tätigkeit als KTPP)

Bezüglich der Unfallversicherung muss zwischen einer Tätigkeit im Anstellungsverhältnis und einer selbständigen Tätigkeit unterschieden werden:

Unfallversicherung der KTPP bei Tätigkeit im Anstellungsverhältnis

Der Arbeitgeber ist für die Absicherung durch eine Unfallversicherung verantwortlich.

  • Tätigkeit im Haushalt der Eltern:

Es besteht ein gesetzl. Unfallversicherungsschutz über den Haushalt der Erziehungsberechtigten, in welchem die KTPP tätig ist. Dafür muss der Arbeitgeber (in diesem Fall die Erziehungsberechtigten des Haushaltes) die KTPP bei der Unfallkasse Sachsen versichern und die entsprechenden Beiträge entrichten.

  • Anstellung bei Träger/Unternehmen:

Der Arbeitgeber ist für die versicherungsrechtliche Absicherung für den Fall eines Unfalles verantwortlich. Dafür muss die angestellte KTPP bei der Unfallkasse Sachsen versichert werden. Der Arbeitgeber entrichtet dafür die Beiträge.

Unfallversicherung der KTPP bei Selbständiger Tätigkeit

Selbständig Tätige sind gemäß § 2 Abs. 1 Nr. 9 SGB VII in der gesetzlichen Unfallversicherung pflichtversichert (gesetzl. Pflichtversicherung). Zuständiger Träger der gesetzlichen Unfallversicherung ist die Berufsgenossenschaft für Gesundheitsdienst und Wohlfahrtspflege (BGW). Bei dieser muss sich die KTPP innerhalb einer Woche nach Aufnahme der Tätigkeit anmelden. Die Beiträge werden rückwirkend für das vergangene Kalenderjahr erhoben. Bei öffentlich geförderter Kindertagespflege werden die Kosten mit der Erstattung der laufenden Geldleistung für das erste Kind übernommen. Bei KTP nach § 3 Abs. 3 SächsKitaG erfolgt dies durch die Kommune, bei KTP nach § 23 SGB VIII durch den örtlichen Träger der öffentlichen Jugendhilfe (Jugendamt). Hierbei handelt es sich um eine steuerfreie Einnahme gemäß § 3 Nr. 9 EStG. Eine private Versicherung entbindet nicht von der gesetzlichen Unfallversicherungspflicht.

Den aktuell erstattungsfähigen Jahresbeitrag finden Sie hier. Bei diesem ist zu beachten, dass es sich hierbei gemäß § 23 Abs. 2 Nr. 3 SGB VIII, um die Erstattung der tatsächlichen Kosten handelt. D. h. auch ein über den erstattungsfähigen Jahresbeitrag hinausgehender Betrag ist vollständig zu erstatten.

Hinweise zum Thema Erste-Hilfe finden Sie hier.

Unfallversicherung von Angestellten in einer Kindertagespflegestelle

Hinweise zur Unfallverssicherung von Angestellten in einer Kindertagespflegestelle finden Sie hier.

Auf der Internetseite der BGW unter www.bgw-online.de/arbeitsschutzbetreuung finden sich unter anderem Hinweise zu den Betreuungsformen und Musterverträgen.

U - Urteil: Altersgrenze
Altersgrenzen bei der Erlaubniserteilung nicht zulässig

Medieninformation: Beschluss auf www.landesrecht.sachsen-anhalt.de

Ausfertigungsdatum: 18.07.2012

Aktenzeichen: 4 B 158/12

Die Anwendung einer durch eine Verwaltungsvorschrift festgelegten allgemeinen Altersgrenze zur Erlaubnis der Kindertagespflege nach § 43 SGB VIII stellt einen unzulässigen Eingriff in das Grundrecht der Berufsfreiheit nach Art. 12 Abs. 1 GG dar. Aus der gesetzlichen Regelung des § 43 SGB VIII über die Erlaubnis zur Kindertagespflege lässt sich nicht darauf schließen, dass die persönliche Eignung nach allgemeinen Kriterien unter Anwendung einer generellen Altersgrenze bestimmt werden könnte.

U - Urteil: Angemessenheit der Beiträge zur Alterssicherung

Link: https://openjur.de/u/608352.html

Ausfertigungsdatum: 30.07.2013, VG Stuttgart

Aktenzeichen: 7 K 3281/10

Nach dem Urteil vom VG Stuttgart richtet sich der Maßstab für die Angemessenheit nach dem Beitragssatz der gesetzlichen Rentenversicherung.

U - Urteil: Anspruch des sorgeberechtigten Elternteils auf Löschung von Fotos des gemeinsamen Kindes im Internet
Anspruch des sorgeberechtigten Elternteils auf Löschung von Fotos des gemeinsamen Kindes im Internet

Link: http://www.rechtsprechung.niedersachsen.de/jportal/portal/page/bsndprod.psml;jsessionid=2F77DDA96AFFDE41FEB7CF7DCEA396D3.jp18?printview=true&doc.id=KORE213622018&st=null&showdoccase=1

Ausfertigungsdatum: 24.05.2018

Aktenzeichen: 13 W 10/18

Tenor

  1. Die sofortige Beschwerde des Antragstellers gegen den Beschluss der 5. Zivilkammer des Landgerichts Oldenburg vom 09. April 2018 wird zurückgewiesen.
  2. Der Antragsteller hat die nicht ermäßigte Gerichtsgebühr für das Beschwerdeverfahren zu tragen; außergerichtliche Kosten werden nicht erstattet (§§ 97 Abs. 1, 127 Abs. 4 ZPO i.V.m. Nr. 1812 KV zum Gerichtskostengesetz).
U - Urteil: Anstellung einer Kindertagespflegeperson in einer Kindertagespflegestelle
Anspruch auf Betreibung einer Großkindertagespflege mit angestellten Kindertagespflegepersonen

Link: http://lrbw.juris.de/cgi-bin/laender_rechtsprechung/document.py?Gericht=bw&GerichtAuswahl=VGH+Baden-W%FCrttemberg&Art=en&sid=e9a0abc90912f4bd2b428f878af78fda&nr=22599&anz=1&pos=0&Blank=1

Ausfertigungsdatum: 12.07.2017

Aktenzeichen: 12 S 102/15

Eine Tagespflegeperson darf eine Großtagespflege auch mit bei ihr abhängig beschäftigten Kindertagespflegepersonen durchführen. Damit wird das bisher bestehende Urteil vom VG Stuttgart vom 5. November 2014 (/ K 459/13) aufgehoben.

U - Urteil: Aufhebung einer Erlaubnis zur Kindertagespflege - Betreuung in nichtgenehmigten Privaträumen
Widerruf der Aufhebung der Erlaubnis zur Kindertagespflege; Eignung der Tagespflegeperson

Medieninformation: http://www.dbovg.niedersachsen.de/jportal/portal/page/bsndprod.psml;jsessionid=A0BB5FBF5BFD4D4B81FBC89906ACBFDE.jp18?doc.id=MWRE200003848&st=null&doctyp=juris-r&showdoccase=1&paramfromHL=true#focuspoint

Ausfertigungsdatum: 09.10.2020

Aktenzeichen: 3 B 4086/20

Betreut eine Kindertagespflegeperson die Kinder in der privaten Wohnung, obwohl diese Räumlichkeiten zur Kinderbetreuung nicht genehmigt sind, so stellt dies eine Pflichtverletzung dar. Jedoch rechtfertigt der einmalige Verstoß keine Aufhebung der Erlaubnis zur Kindertagespflege. Ein solcher Verstoß lasse nicht den Schluss auf mangelnde Sorgfalt im Umgang mit den Kindern zu. Dies hat das Ober­verwaltungs­gericht Lüneburg entschieden.

U - Urteil: Aufhebung einer Erlaubnis zur Kindertagespflege - fehlende Kooperationsbereitschaft mit Eltern
Aufhebung einer Erlaubnis zur Kindertagespflege rechtmäßig

Medieninformation: https://www.juris.de/jportal/portal/page/homerl.psml?nid=jnachr-JUNA200200384&cmsuri=%2Fjuris%2Fde%2Fnachrichten%2Fzeigenachricht.jsp

Ausfertigungsdatum: 13.02.2020

Aktenzeichen: 12 B 1351/19

"Das OVG Münster hat entschieden, dass eine Erlaubnis zur Kindertagespflege aufzuheben ist, wenn die Tagespflegeperson es an der notwendigen Kooperationsbereitschaft und Transparenz gegenüber den Erziehungsberechtigten fehlen lässt."

U - Urteil: Aufhebung einer Erlaubnis zur Kindertagespflege - Überschreitung Kinderzahl
Widerruf der Erlaubnis zur Kindertagespflege wegen Ungeeignetheit der Pflegeperson

Medieninformation: Beschluss auf http://www.landesrecht.rlp.de/jportal/portal/t/7qe/page/bsrlpprod.psml?pid=Dokumentanzeige&showdoccase=1&doc.id=MWRE180002041&doc.part=L

Ausfertigungsdatum: 11.06.2018

Aktenzeichen: 7 B 10412/18

Eine Person, die in Tagespflege über einen längeren Zeitraum wiederholt mehr Kinder betreut als erlaubt war, ist für deren Betreuung ungeeignet.

Wenn eine Person ihre persönliche Eignung verliert, ist eine früher erteilte Erlaubnis zur Kindertagespflege zu widerrufen; das in § 47 Abs. 1 SGB X (juris: SGB 10) eröffnete Ermessen ist dann auf Null reduziert.

U - Urteil: Aufsichtspflichtverletzung
Schwerwiegende Verletzung der Aufsichtspflicht rechtfertigt sofortigen Entzug der Betreuungserlaubnis für Tagesmutter

Link: http://www.justiz.sachsen.de/ovg/download/PM30.5.2014.pdf

Ausfertigungsdatum: 27.05.2014

Aktenzeichen: 4 B 48/14

Das sächsische Oberverwaltungsgericht bestätigt am 27. Mai 2014 die Auffassung des Verwaltungsgerichtes Leipzig, dass zur Wahrung des Kindeswohls, nach einer gravierenden Aufsichtspflichtverletzung der sofortige Entzug der Pflegeerlaubnis gerechtfertigt ist.

Die betreffende Kindertagespflegeperson ließ, die ihr anvertrauten Kinder, für einen Zeitraum von ca. 30 Minuten unbeaufsichtigt in der Kindertagespflegestelle, um in einer - nach Angaben der Kindertagespflegeperson – naheliegenden Physiotherapiepraxis einen Termin zu vereinbaren. Daraufhin entzog die Stadt Leipzig mit sofortiger Wirkung die Pflegeerlaubnis.

Durch das sächsische Oberverwaltungsgericht wurden besonders folgende Faktor hervorgehoben:-Es handelt sich hierbei um eine gravierende Verletzung der Aufsichtspflicht, da die Kinder in der Kindertagespflegestelle im Notfall nicht in der Lage gewesen wären, Hilfe zu holen.-Die Kindertagespflegeperson verließ aus einem geringfügigen Anlass die Kindertagespflegestelle und stellt damit eigene Interessen über das Wohl der Kinder.-Das Gericht geht an dieser Stelle nicht davon aus, dass die Person als Kindertagespflegeperson geeignet ist.m 27. Mai 2014)

U - Urteil: Aufwendungsersatz für selbstgesuchten Betreuungsplatz
Anspruch auf Übernahme der erforderlichen Aufwendungen für einen selbstbeschafften Kinderbetreuungsplatz

Link: http://www.bverwg.de/entscheidungen/pdf/120913U5C35.12.0.pdf

Ausfertigungsdatum: 12.09.2013

Aktenzeichen: 5 C 35/12

Das Bundesverwaltungsgericht (BVerwG) hat mit dem Urteil vom 12.09.2013 entschieden, dass ein Anspruch auf Übernahme der erforderlichen Aufwendungen für einen selbstbeschafften Kinderbetreuungsplatz sich aus dem Bundesrecht in analoger Anwendung des § 36a Abs. 3 SGB VIII ergibt, wenn dessen Voraussetzungen erfüllt sind: Dafür muss der Leistungsberechtigte den Träger der öffentlichen Jugendhilfe von der Selbstbeschaffung rechtzeitig über den Bedarf in Kenntnis gesetzt haben, die Voraussetzungen für die Gewährung der Leistungen vorgelegen haben und die Deckung des Bedarfes keinen zeitlichen Aufschub geduldet haben. Dabei werden nur die tatsächlich entstandenen Aufwendungen erstattet, sodass etwas eingesparte Elternbeiträge nach § 90 Abs. 1 SGB VIII anzurechnen sind. (Quelle. Schreiben des Sächsischen Staatsministeriums für Kultus, Arnfried Schlosser, Dresden, 25.07.2014)

Link: https://polit-x.de/documents/644606/bund/bundesgerichte/bverwg/urteile-2018-02-06-urteil-vom-26102017-bverwg-5-c-1916-ersatz-von-aufwendungen-fur-einen-selbstbeschafften-platz-in-einer-kindertageseinrichtung

Ausfertigungsdatum: 26.10.2017

Aktenzeichen: 5 C 19.16

U - Urteil: Ausgestaltung der laufenden Geldleistung

Gemäß § 23 Abs. 2 Nr. 1 SGB VIII sind einer Kindertagespflegeperson die angemessenen Kosten, die für den Sachaufwand entstehen, zu erstatten.

Das Bundesverwaltungsgericht veröffentlicht mit der Pressemitteilung Nr. 71/2022 vom 24.11.2022 das abschließende Urteil zur Ausgestaltung der laufenden Geldleistung. Demnach sind gemäß § 23 Abs. 2 Nr. 1 SGB VIII einer Kindertagespflegeperson die angemessenen Kosten, die für den Sachaufwand entstehen, zu erstatten. Dabei schreibt das Gericht keine bestimmte Methodik vor, benennt aber, dass diese geeignet sein muss, die Kosten realitätsgerecht und ortsbezogen zu erfassen.

Die vollständige Pressemitteilung des Bundesverwaltungsgerichtes finden Sie hier

Die Verfahrensinformation zur Höhe der Vergütung von Tagespflegepersonen finden Sie hier

Weitere Informationen finden Sie bei beck-aktuell

U - Urteil: Betreuungsgeld
Ende für Betreuungsgeld nach Urteil des Bundesverfassungsgerichtes

Link: 2015_07_21_Urteil_Betreuungsgeld

Ausfertigungsdatum: 21.07.2015

Aktenzeichen: 1 BvF 2/13

Das Bundesverfassungsgericht (BVerfG) hat am 21. Juli sein Urteil zum, am 01.08.2013 in Kraft getretene, Betreuungsgeld gesprochen und das Gesetz für verfassungswidrig erklärt.

Die rechtlichen Regelungen zum Betreuungsgeld sind Teil des Gesetzes zum Elterngeld und zur Elternzeit (Bundeselterngeld- und Elternzeitgesetz - BEEG) und befinden sich in diesem Gesetz unter Abschnitt 2.

Laut den Richtern des BVerfG gehen die gesetzlichen Regelungen zum Betreuungsgeld nicht konform mit der deutschen Verfassung. Bei Betreuungsgeld handelt es sich um eine familienpolitische Leistung, gehört somit in die Familienpolitik und liegt in der Verantwortung der einzelnen Länder.

Offene Beträge aus bereits bewilligten Anträgen werden noch für den Bewilligungszeitraum ausgezahlt. Neu- oder Folgeantragen haben keine Aussicht auf Bewilligung.

Das Statement der Bundesfamilienministerin Manuela Schlesig finden Sie hier.

Die aktuelle Pressemitteilung des Bundesverbandes für Kindertagespflege zum Betreuungsgeldgesetz finden Sie hier.

Das Urteil steht Ihnen hier zum Download bereit.

U - Urteil: Elternbeiträge für Patchworkfamilien
Geschwister und Halbgeschwister in Patchworkfamilien sind gleichzustellen

Link: https://www.justiz.sachsen.de/ovg/download/Medieninformation_02_2019.pdf

Ausfertigungsdatum: 12.02.2019

Aktenzeichen: Az.: 4 A880/16 und 4 A881/16

Nach Auffassung des Oberverwaltungsgerichts ist bei dem in der Elternbeitragssatzung sowie im Gesetz über Kindertageseinrichtungen verwendeten Begriff "Eltern" nicht darauf abzustellen, ob eine leibliche oder rechtliche (etwa durch Adoption begründete) Verwandtschaft zwischen den Familienmitgliedern besteht, sondern darauf, ob mehrere Kinder in einem gemeinsamen Haushalt leben. Dies rechtfertige sich aus dem Sinn und Zweck der Vorschriften, die darauf abzielten, aus sozialen Erwägungen der Mehrbelastung von Haushalten mit mehreren Kindern eine Beitragsermäßigung zu gewähren. Diese Auslegung rechtfertige sich dadurch, dass nach der Elternbeitragssatzung und dem Gesetz über Kindertageseinrichtungen nicht nur Eltern mit mehreren Kindern, sondern auch Alleinerziehende beim Vorliegen der satzungsgemäßen Voraussetzungen eine Beitragsermäßigung in Anspruch nehmen könnten, ohne dass dabei auf verwandtschaftliche Beziehungen abgestellt werde.

U - Urteil: Festlegung der Sachkostenerstattung

Das Bundesverwaltungsgericht veröffentlicht mit der Pressemitteilung Nr. 71/2022 vom 24.11.2022 das abschließende Urteil zur Ausgestaltung der laufenden Geldleistung. Demnach sind gemäß § 23 Abs. 2 Nr. 1 SGB VIII einer Kindertagespflegeperson die angemessenen Kosten, die für den Sachaufwand entstehen, zu erstatten. Dabei schreibt das Gericht keine bestimmte Methodik vor, benennt aber, dass diese geeignet sein muss, die Kosten realitätsgerecht und ortsbezogen zu erfassen.

Die vollständige Pressemitteilung des Bundesverwaltungsgerichtes finden Sie hier.

Die Verfahrensinformation zur Höhe der Vergütung von Tagespflegepersonen finden Sie hier.

U - Urteil: Hälftige Erstattung einer angemessenen Alterssicherung
Kapital bildender Lebensversicherung kann nicht ausnahmslos Förderungsfähigkeit nach

§ 39 Abs. 4 Satz 2 SGB VIII abgesprochen werden

Link: 2010_02_23_Urteil_Angemessene_Alterssicherung.pdf http://www.bverwg.de/entscheidungen/entscheidung.php?ent=230210U5C29.08.0

Ausfertigungsdatum: 23.02.2010

Aktenzeichen: BVerwG 5 C 29.08, OVG 7 A 10142/08

"Kapital bildende Lebensversicherungen gehören zu den nach § 39 Abs. 4 Satz 2 SGB VIII zu fördernden privaten Maßnahmen der Alterssicherung, wenn ihnen eine der gesetzlichen Rente vergleichbare Altersvorsorgefunktion zukommt. Hierfür muss vertraglich sichergestellt sein, dass die Ansprüche aus der Versicherung nicht vor dem Zeitpunkt, ab dem die gesetzliche Altersrente frühestens in Anspruch genommen werden kann [...] fällig werden und sie auch nicht anderweitig verwertet werden können." (Quelle: http://www.bverwg.de/entscheidungen/entscheidung.php?ent=230210U5C29.08.0)

U - Urteil: Hälftige Erstattung Krankenversicherungsbeitrag
Hälftige Erstattung der tatsächlichen Kosten

Link: de80b34b811b976e6eaaaf3198478a0b.pdf

Ausfertigungsdatum: 23.05.2012

Aktenzeichen: 6 K 801/10

Das Verwaltungsgericht in Münster entschied, dass die Hälfte der tatsächlichen Kosten der Krankenversicherungsbeiträge erstatten werden muss, wenn diese Kosten angemessen (erforderlich, aber ausreichend) und nachweislich gezahlt wurden.

Das BVerwG hat das Urteil des OVG Sachsen vom 08.11.2017 (4 A 890/16) bestätigt, so dass nachgewiesene Beiträge zur Krankenversicherung hälftig erstattet werden müssen, auch wenn dies wie im Fall, bspw. durch die Berücksichtigung des Einkommens des:der Partner:in erhöht ist.

Die Pressemeldung des Bundesverwaltungsgerichtet zum Urteil vom 28.02.2019 finden Sie hier.

U - Urteil: Höhe der Vergütung für Tagesmütter und -väter

Link: http://www.bverwg.de/250118U5C18.16.0

Verkündet am: 25.01.2018

Aktenzeichen: BVerwG 5 C 18.16

Die Pressemitteilung zum Urteil finden Sie hier.

Vorinstanzen: VG Düsseldorf - 20.01.2015 - AZ: VG 19 K 6520/14, OVG Münster - 30.08.2016 - AZ: OVG 12 A 599/15

U - Urteil: Kindergerechte Räumlichkeit - Außengelände
Zahlung eines Mietzuschusses aus FAG-Mitteln für Kindertagespflege in anderen geeigneten Räumlichkeiten; Definition der kindergerechten Räumlichkeit

Link: 984000cb6187297fce9f214869dc02e4.pdf

Ausfertigungsdatum: 02.07.2018

Aktenzeichen: 4 K 5368/17

"[...] dem Merkmal kindgerechter Räumlichkeiten in § 43 Abs. 2 SGB VIII [lässt sich nach Aussagen des VG Freiburg] nicht das Erfordernis unmittelbar angrenzender Außenanlagen entnehmen. Außer Frage steht zwar, dass Kindertagespflegestellen, die über eigene kindgerechte Außenanlagen verfügen, dem natürlichen Bewegungsdrang von Kindern und ihrem großen Interesse am Spielen und Erleben in der Natur in besonderem Maße entgegen kommen und wegen der gesundheitsfördernden Wirkungen von Bewegung an der frischen Luft besonders gute Rahmenbedingungen für die (Klein-)Kinderbetreuung bieten. Zweck des § 43 SGB VIII ist es jedoch nicht, eine denkbar optimale Betreuung und Versorgung von Kindern zu gewährleisten; Ziel der Regelung ist es vielmehr [...], eine gefahrenabwehrrechtlich geprägte Mindeststandardsicherung der Kindertagespflege zur Gewährleistung des Kindeswohls sicherzustellen [...]. Eine dem Wohl des Kindes entsprechende Betreuung aber hängt nicht davon ab, dass die Räumlichkeiten der Kindertagespflege über ein angemessenes Außengelände verfügen" (Urteil 4 K 5368/17 vom 02.07.2018; Entscheidungsgründe Nr. 32)

U - Urteil: Laufende Geldleistungen für Kindertagespflegepersonen nach § 23 Abs. 2 SGB VIII

Link: http://openjur.de/u/730701.print

Verkündet am: 22.08.2014

Aktenzeichen: 12 A 591/14, 19 K 6016/13 Düsseldorf

Eine Zusammenfassung des Landesarbeitskreis Kindertagespflege in Sachsen zum Urteil finden Sie hier.

Da es sich im Urteil um ein Berufungsverfahren handelt, finden Sie das vorausgegangene Urteil hier.

U - Urteil: Masernschutzgesetz
Urteil 1

Link: https://www.bundesverfassungsgericht.de/SharedDocs/Entscheidungen/DE/2020/05/rk20200511_1bvr046920.html

Ausfertigungsdatum: 11.05.2020

Aktenzeichen: 1 BvR 469/20 und 1 BvR 470/20

Das Bundesverfassungsgericht lehnt den Antrag mehrerer Eltern (Beschwerdeführer) ab, nachdem Kinder ohne entsprechenden Nachweis einer Masernschutzimpfung nicht in einer Kindertagesstätte oder Kindetagespflege nach § 43 SGB VIII betreut bzw. aufgenommen werden dürfen. In beiden Verfahren sind die Beschwerdeführer sorgeberechtigte Eltern einjähriger Kinder, welche zeitnah in einer kommunalen Kindertagesstätte beziehungsweise in der erlaubnispflichtigen Kindertagespflege nach § 43 SGB VIII betreut werden sollen. Die Kinder sind nicht gegen Masern geimpft. Es besteht keine medizinische Kontraindikation gegen eine Masernschutzimpfung. Auch verfügen sie nicht über eine entsprechende Immunität.

Beschluss

Link: https://www.justiz.sachsen.de/vgc/content/284.htm

Ausfertigungsdatum des Beschlusses: 29.05.2020

Aktenzeichen: 6 L 268/20

Das Verwaltungsgericht Chemnitz entschied, dass auch bei dem Wechsel eines Kindes nach dem 01.03.2020 von der Kindertagespflege in eine Kita der Nachweis des Masernschutzes erst bis zu 31.07.2021 zu erbringen sei. Der Beschluss ist noch nicht rechtskräftig.

Entsprechend der gerichtlichen Entscheidung wäre der Nachweis des Masernschutzes ab dem 01.03.2020 nur bei Erstaufnahme eines Kindes in eine Gemeinschaftseinrichtung zu erbringen. Im Falle eines Einrichtungswechsels würde demnach die Übergangsregelung greifen.

Da es sich um ein Eilverfahren handelte, bleibt abzuwarten, ob diese Entscheidung in der Hauptsache Bestand hat.

Aktualisierter Beschluss:

Das OVG Bautzen hat nunmehr die Entscheidung VG Chemnitz durch den beigefügten Beschluss geändert.

Demnach greift der in § 20 Absatz 10 IfSG geregelte Aufschub zum Führen eines Nachweises eine Masernschutzimpfung oder Immunität gegen Masern (bis zum 31. Juli 2021) nicht bei einem Wechsel zwischen Gemeinschaftseinrichtungen i. S. von § 33 Nummer 1 bis 3 IfSG. Es wird klargestellt, dass der Anwendungsbereich des § 20 Absatz 10 IfSG sich nur auf diejenigen Personen beschränkt, die seit dem Stichtag 1. März 2020 in derselben Gemeinschaftseinrichtung betreut werden oder tätig sind und der vorübergehende Aufschub der Nachweispflicht bis zum 31. Juli 2021 an die Betreuung und den Verbleib in einer bestimmten Gemeinschaftseinrichtung seit dem Stichtag 1. März 2020 gebunden ist (vgl. S. 6 ff.).

Der Beschluss OVG Bautzen ist unanfechtbar.

Link: 21a02221151c7bcb64c3c531b42457b1.pdf

Ausfertigungsdatum des Beschlusses: 20.08.2020

Aktenzeichen: 3 B 233/20 und 6 L 268/20

Anlage 2 Übersicht Masernschutzgesetz aktual. 31-08-2020

U - Urteil: Mutterschaftsgeld für Tagesmütter
Kein Zuschuss zum Mutterschaftsgeld für Tagesmütter

Pressemitteilung Nr. 24/18: https://juris.bundesarbeitsgericht.de/cgi-bin/rechtsprechung/document.py?Gericht=bag&Art=pm&pm_nummer=0024/18

Ausfertigungsdatum: 23.05.2018

Aktenzeichen: 5 AZR 263/17

Das Bundesarbeitsgericht entschied, dass eine Kindertagespflegeperson welche Kinder in der Kindertagespflege betreut und dafür eine laufende Anerkennungsleistung nach dem Kinder- und Jugendhilferecht erhält, nach der Geburt eines eigenen Kindes keinen Anspruch auf Zuschuss zum Mutterschaftsgeld hat. Bei einer solchen Tätigkeit fehlt es mangels Weisungsgebundenheit an der nach dem Mutterschutzgesetz erforderlichen Arbeitnehmereigenschaft.

U - Urteil: Rechtsanspruch
Rechtsanspruch auf frühkindliche Förderung

Link: https://polit-x.de/documents/644606/bund/bundesgerichte/bverwg/urteile-2018-02-06-urteil-vom-26102017-bverwg-5-c-1916-ersatz-von-aufwendungen-fur-einen-selbstbeschafften-platz-in-einer-kindertageseinrichtung

Ausfertigungsdatum: 26.10.2017

Aktenzeichen: 5 C 19.16

Link: https://www.bverwg.de/entscheidungen/pdf/231018U5C15.17.0.pdf

Ausfertigungsdatum: 23.10.2018

Aktenzeichen: 5 C 15/17

Link: https://www.justiz.sachsen.de/ovgentschweb/documents/18B134.pdf

Ausfertigungsdatum: 23.05.2018

Aktenzeichen: 4 B 134/18

Im Auftrag des Landesverbandes Kindertagespflege NRW e.V. hat die Rechtsanwältin Iris Vierheller eine Stellungnahme zu dem Rechtsanspruch auf frühkindliche Förderung nach § 24 Abs. 2 SGB VIII erstellt. Die Stellungnahme finden Sie auf der Homepage des Landesverbanedes Kindertagespflege NRW.

U - Urteil: Sachkostenpauschale
Stadt Leipzig muss die Sachkostenpauschale für „Tagesmütter“ neu regeln

Link: 6c7fbd33faa38318f30d1e7774bfef13.pdf

Ausfertigungsdatum: 21.04.2016

Aktenzeichen: 5 K 634/15

Mit Urteil vom 21. April 2016 - 5 K 634/15 - hat die 5. Kammer des Verwaltungsgerichts Leipzig auf die Klage einer Tagesmutter entschieden, dass die Stadt Leipzig die laufende Geldleistung für den Sachaufwand nach § 23 Abs. 2 Nr. 1 SGB VIII neu festsetzen muss.

U - Urteil: Satzung über Kindertageseinrichtungen vom 23. Juni 2011 (hier: Normenkontrolle)
Unwirksamkeit der Satzung und Stärkung der Trägerhoheit und Selbstständigkeit

Medieninformation: http://www.justiz.sachsen.de/ovg/download/Kita.pdf

Ausfertigungsdatum: 21.03.2013

Aktenzeichen: 1 C 15/12

Zur Unwirksamkeit der Kita-Satzung der Landeshauptstadt Dresden, wurde durch das sächsische Ober-verwaltungsgericht Bautzen am 21. März 2013 ein Normenkontroll-Urteil gesprochen.

Mit einem Stadtratsbeschluss der Stadt Dresden vom 23.06.2011 wurde die bestehende Satzung der Landeshauptstadt Dresden zur Förderung von Kindern in Tageseinrichtungen und in der Kindertagespflege und über die Erhebung von Elternbeiträgen geändert.

In dieser geänderten Fassung sah der PARITÄTISCHE Sachsen u. a. in den Regelungen zu den Schließ-, Öffnungs- und Betreuungszeiten sowie der damit verbundenen Flexibilisierung der Arbeitszeit einen rechtswidrigen Eingriff in die Trägerhoheit. Mit dem Normenkontroll-Urteil vom 21.03.2013 wurde die Satzung für unwirksam erklärt. Die Satzung verstieß in mehrfacher Hinsicht gegen höherrangiges Recht.

Durch dieses Urteil wurden die Rechte und die Position der freien Träger gestärkt.

U - Urteil: Wunsch- und Wahlrecht
Erfolgreicher Antrag auf den Besuch des Wunschkindergartens eines auswärtigen Kindes trotz allgemeiner Mangelsituation Wunsch- und Wahlrecht der Eltern gestärkt

Medieninformation: http://www.justiz.sachsen.de/ovg/download/Wunschkindergarten.pdf

Ausfertigungsdatum: 21.06.2013

Aktenzeichen: 1 B 336/13 und 1 L 75/13

Zur Durchsetzung des Rechtsanspruches auf Kita-Betreuung und des Wunsch- und Wahlrechtes gemäß § 5 SGB VIII und § 4 SächsKitaG bei Betreuung eines Kindes außerhalb der Heimatgemeinde, wurde durch das sächsische Oberverwaltungsgericht Bautzen am 21. Juni 2013 ein Urteil gesprochen.

Ursprung dieses Urteils war die Untersagung der Aufnahme eines ortsfremden Kindes in eine Kita durch die Landeshauptstadt Dresden. Diese Untersagung wurde durch das Verwaltungsgericht Dresden bestätigt, wogegen die Eltern des betreffenden Kindes Beschwerde einlegten. Im Wege einer einstweiligen Verfügung entschied das Sächsische Oberverwaltungsgericht, dass die Beschwerde Erfolg hat. Mit diesem Urteil wurde das Wunsch- und Wahlrecht der Eltern gestärkt, vor allem im Fall einer Betreuung außerhalb der Wohnortgemeinde bspw. auf Grund des auswärts liegenden Arbeiterplatzes der Eltern.

Mit dem Urteil des Verwaltungsgerichtes Düsseldorf vom 05.07.2016 wurde noch einmal das Wunsch- und Wahlrecht der Eltern gestärkt. Demnach dürfen Jugendhilfeträger einen vorhandenen Betreuungsplatz in einer Kindertagespflegestelle nicht ablehnen, um freie Einrichtungsplätze zu belegen. Lediglich der Mehrkostenvorbehalt ist hierfür ausschlaggebend. In diesem finden jedoch anfallende Kosten wegen nicht belegter Einrichtungsplatz keine Berücksichtigung.

Das vollständige Urteil finden Sie hier.

Eine Zusammenfassung des Urteils finden Sie auf der Internetseite der Rechtsanwältin Iris Vierheller hier.

U - Urteil: Zuzahlungen
Zuzahlungen unterliegen dem Recht der freien Berufsausübung

Link: 2014_07_10_Urteil_Zuzahlungen.pdf

Ausfertigungsdatum: 10.07.2014

Aktenzeichen: 3 K 1064/13

Das Verwaltungsgericht in Bremen entschied nach einer mündlichen Verhandlung am 10.07.2014, dass private Zuzahlungen zusätzlich zu den Betreuungskosten der Eltern von Tagesmütter und –väter erhoben werden dürfen. Begründet wird dies u.a. mit dem Recht der freien Berufsausübung nach Art. 12 GG.

Bei der Anwendung dieses Urteils sollte Folgendes beachtet werden:

  • Was kann den Eltern finanziell zugemutet werden?
  • Für was fallen tatsächlich zusätzliche Kosten an?
  • Zuzahlungen gelten als Einnahme und sind zu versteuern.
  • Welches Image könnten Sie als Kindertagespflegeperson durch die Er-/Anhebung von Zusatz kosten erhalten?
  • Wie entwickelt sich die Nachfrage der angebotenen Betreuungsplätze, bei der Er-/ Anhebung von Zusatzkosten?
Ü - Übereinkommen über die Rechte des Kindes
UN-Kinderrechtskonvention

Link: http://www.bmfsfj.de/RedaktionBMFSFJ/Broschuerenstelle/Pdf-Anlagen/_C3_9Cbereinkommen-_C3_BCber-die-Rechte-des-Kindes,property=pdf,bereich=bmfsfj,sprache=de,rwb=true.pdf

Ausfertigungsdatum: 20.11.1989

Vollzitat: "Übereinkommen über die Rechte des Kindes"

Stand: am 26. Januar 1990 von der Bundesrepublik Deutschland unterzeichnet (Zustimmung von Bundestag und Bundesrat durch Gesetz vom 17. Februar 1992 – BGBl. II S. 121); am 6. März 1992 Hinterlegung der Ratifikationsurkunde beim Generalsekretär der Vereinten Nationen; am 5. April 1992 für Deutschland in Kraft getreten (Bekanntmachung vom 10. Juli 1992 – BGBl. II S. 990); am 15. Juli 2010 Rücknahme der Vorbehalte zum Übereinkommen (Beschluss Bundesrat vom 26. März 2010; Kabinettsbeschluss vom 3. Mai 2010; formale Übergabe des Rücknahmeschreibens an die Vereinten Nationen am 15. Juli 2010)

V
V - Vergütung der Kindertagespflege. Bestandsaufnahme und Modelle einer leistungsorientierten Vergütungssystematik

Titel: Vergütung der Kindertagespflege. Bestandsaufnahme und Modelle einer leistungsorientierten Vergütungssystematik

Autor: Stefan Sell, Nicole Kukula

Quellenangabe: Sell, S.; Kukula, N.(2013): Vergütung der Kindertagespflege. Bestandsaufnahme und Modelle einer leistungsorientierten Vergütungssystematik. 1. Aufl., Remagen: ibus-Verlag.

Herausgeber: Institut für Bildungs- und Sozialpolitik der Hochschule Koblenz (ibus)

Hinweis: Eine Expertise im Auftrag des Bundesverbandes für Kindertagespflege. Die Erstellung der Expertise wurde durch das Bundesministerium für Familien, Senioren, Frauen und Jugend gefördert.

Bild_Studie_Sell

In der Studie "Vergütung der Kindertagespflege. Bestandsaufnahme und Modelle einer leistungsorientierten Vergütungssystematik" von Stefan Sell und Nicole Kukula wurde die Vergütung von Kindertagespflegepersonen erhoben. Weiterhin werden verschiedene Vergütungsmodelle vorgestellt sowie die betriebswirtschaftlicher Vergleich zwischen (Kindertagespflege) KTP und institutioneller Betreuung in der Kindereinrichtung aufgestellt. Abschließend werden Potenziale der KTP vorgestellt.

Die Studie als Download finden Sie hier.

Die Follow up-Studie "Laufende Geldleistungen in der öffentlich geförderten Kindertagespflege. Ergebnisse einer Follow up-Studie 2015 " aus dem Jahr 2015 finden Sie zum download hier.

V - Verordnung des Sächsischen Staatsministeriums für Kultus über die Anforderungen an die Qualifikation u. Fortbildung der päd. Fachkräfte in Kita, der KTP u. der Fachberater
Link: http://www.revosax.sachsen.de/vorschrift/11517-Saechsische_Qualifikations__und_Fortbildungsverordnung_paedagog
Abkürzung: SächsQualiVO
Ausfertigungsdatum: 20.09.2010
Vollzitat: Verordnung des Sächsischen Staatsministeriums für Kultus über die Anforderungen an die Qualifikation und Fortbildung der pädagogischen Fachkräfte in Kindertageseinrichtungen, der Kindertagespflegepersonen und der Fachberater (Sächsische Qualifikations- und Fortbildungsverordnung pädagogischer Fachkräfte – SächsQualiVO)
Stand: Rechtsbereinigt mit Stand vom 31. Dezember 2013
_v-verordnung-des-saechsischen-staatsministeriums-fuer-kultus-zur-finanzierung-von-kindertageseinrichtungen-und-kindertagespflege-saechsische-kindertageseinrichtungen-finanzierungsverordnung
V - Verordnung (EG) Nr. 852/2004 des europäischen Parlamentes und des Rates vom 29. April 2004 über Lebensmittelhygiene

Link: http://eur-lex.europa.eu/legal-content/DE/TXT/PDF/?uri=CELEX:32004R0852&from=DE

Abkürzung: VO (EG) 852/2004

Ausfertigungsdatum: 29.04.2004

Vollzitat: Verordnung (EG) Nr. 852/2004 des europäischen Parlamentes und des Rates vom 29. April 2004 über Lebensmittelhygiene

V - Versicherung

Übersicht:

  1. Zuständigkeiten

  2. Unfallversicherung

2.1 Unfallversicherung der betreuten Kinder

2.2 Unfallversicherung der Kindertagespflegeperson

2.2.1 Unfallversicherung der KTPP bei Tätigkeit im Anstellungsverhältnis

2.2.2 Unfallversicherung der KTPP bei Selbständiger Tätigkeit

  1. Rentenversicherung

3.1 Rentenversicherung bei selbständiger Tätigkeit

3.1.1 Rentenversicherung bei selbständiger Tätigkeit mit zu versteuerndem Einkommen von über 400,00€

3.1.2 Rentenversicherung bei selbständiger Tätigkeit mit zu versteuerndem Einkommen von 400,00€ und weniger

3.2 Rentenversicherung der KTPP bei Tätigkeit im Anstellungsverhältnis

  1. Kranken-/Pflegeversicherung

  2. Arbeitslosenversicherung

  3. Berufshaftpflichtversicherung

  4. Zuständigkeiten

Bei Anstellung bei einem Träger/Arbeitgeber liegt die Verantwortung für die Beitragszahlungen in die Unfall-, Renten-, Pflege-, Kranken- und Arbeitslosenversicherung bei dem Arbeitgeber.

Bei selbstständiger Tätigkeit sorgt die Kindertagespflegeperson (KTPP) eigenständig für die Abschlüsse und Beitragszahlungen in die Pflichtversicherungen (Renten-, Pflege- und Krankenversicherung).

Ausführliche Hinweise zu Versicherungen können sie in den "Fakten und Empfehlungen zu den Neuregelungen in der Kindertagespflege" nachlesen.

  1. Unfallversicherung

Hinsichtlich des Unfallversicherungsschutzes bedarf es folgender Unterteilung:

Unfallversicherungsschutz der betreuten Kinder
Unfallversicherungsschutz der Kindertagespflegeperson
  1. 1 Unfallversicherung der betreuten Kinder

Die gesetzliche Unfallversicherung der betreuten Kinder ist sowohl für Eltern als auch für Kindertagespflegepersonen (KTPP) kostenfrei. Der zuständige Versicherungsträger der Unfallversicherung der betreuten Kinder ist die Unfallkasse im Freistaat Sachsen. Gemäß § 2 Abs. 1 Nr. 8 a SGB VII sind Kinder seit 01.10.2005 während der Betreuung durch eine geeignete1 KTPP (sowohl bei Betreuung nach § 3 Abs. 3 SächsKitaG als auch nach § 23 SGB VIII) gesetzlich unfallversichert. D. h. mit Beginn des Betreuungsvertrages sind die Kinder automatisch versichert und müssen nicht durch Ihre Eltern oder die KTPP extra angemeldet werden. Es bedarf lediglich einer Erstanmeldung durch die KTPP bei Aufnahme der Tätigkeit mit dem ersten zu betreuenden Kind. Die Geeignetheit1 der KTPP ist die Voraussetzung für den Versicherungsschutz, unabhängig, ob es sich um öffentlich oder privat finanzierte KTPP handelt. Dies ist besonders in Vertretungssituationen zu beachten.

1Die Feststellung der Geeignetheit wird durch den zuständigen Träger der öffentlichen Jugendhilfe (Jugendamt) gemäß § 23 Abs. 3 SGB VIII festgestellt.

Der Versicherungsschutz der Kinder2 gilt:

während des gesamten Aufenthalts bei der KTPP
bei Ausflügen
auf dem Weg zur KTPP und auf dem Heimweg (unabhängig davon, ob das Kind den Unfall selbst verschuldet hat)
wenn die Betreuung der Kinder im Haushalt der Eltern stattfindet, sobald die KTPP im Haushalt der Eltern die Betreuung übernimmt

2Der Kind-Begriff endet gemäß § 7 Abs. 1 Nr. 1 SGB VIII mit Vollendung des 14. Lebensjahres.

Der Versicherungsschutz der Kinder gilt nicht, bei:

Betreuung der Kinder in privat organisierter Kindertagespflege (§ 25 SGB VIII)
Betreuung der eigenen Kinder durch die KTPP selbst (fehlende Fremdbetreuung)

Haftungsansprüche Geschädigter gehen, bei Vorliegen der notwendigen Voraussetzungen, auf den Träger der gesetzlichen Unfallversicherung über. Handelt die KTPP jedoch grob fahrlässig, bspw. bei Vernachlässigung der Aufsichtspflicht, kann der Träger der gesetzlichen Unfallversicherung Regressforderungen gegenüber der KTPP geltend machen.

Weitere Informationen finden Sie als Merkblatt hier.

2.2 Unfallversicherung der Kindertagespflegeperson

Der Versicherungsschutz der KTPP gilt:

bei Arbeitsunfällen
Berufskrankheiten
Wegeunfällen (im Rahmen der Tätigkeit als KTPP)

Bezüglich der Unfallversicherung muss zwischen einer Tätigkeit im Anstellungsverhältnis und einer selbständigen Tätigkeit unterschieden werden:

2.2.1 Unfallversicherung der KTPP bei Tätigkeit im Anstellungsverhältnis

Der Arbeitgeber ist für die Absicherung durch eine Unfallversicherung verantwortlich.

Tätigkeit im Haushalt der Eltern: 

Es besteht ein gesetzl. Unfallversicherungsschutz über den Haushalt der Erziehungsberechtigten, in welchem die KTPP tätig ist. Dafür muss der Arbeitgeber (in diesem Fall die Erziehungsberechtigten des Haushaltes) die KTPP bei der Unfallkasse Sachsen versichern und die entsprechenden Beiträge entrichten.

Anstellung bei Träger/Unternehmen:

Der Arbeitgeber ist für die versicherungsrechtliche Absicherung für den Fall eines Unfalles verantwortlich. Dafür muss die angestellte KTPP bei der Unfallkasse Sachsen versichert werden. Der Arbeitgeber entrichtet dafür die Beiträge.

2.2.2 Unfallversicherung der KTPP bei Selbständiger Tätigkeit

Selbständig Tätige sind gemäß § 2 Abs. 1 Nr. 9 SGB VII in der gesetzlichen Unfallversicherung pflichtversichert (gesetzl. Pflichtversicherung). Zuständiger Träger der gesetzlichen Unfallversicherung ist die Berufsgenossenschaft für Gesundheitsdienst und Wohlfahrtspflege (BGW). Bei dieser muss sich die KTPP innerhalb einer Woche nach Aufnahme der Tätigkeit anmelden. Die Beiträge werden rückwirkend für das vergangene Kalenderjahr erhoben. Bei öffentlich geförderter Kindertagespflege werden die Kosten mit der Erstattung der laufenden Geldleistung für das erste Kind übernommen. Bei KTP nach § 3 Abs. 3 SächsKitaG erfolgt dies durch die Kommune, bei KTP nach § 23 SGB VIII durch den örtlichen Träger der öffentlichen Jugendhilfe (Jugendamt). Hierbei handelt es sich um eine steuerfreie Einnahme gemäß § 3 Nr. 9 EStG. Eine private Versicherung entbindet nicht von der gesetzlichen Unfallversicherungspflicht.

Den aktuell erstattungsfähigen Jahresbeitrag finden Sie hier. Bei diesem ist zu beachten, dass es sich hierbei gemäß § 23 Abs. 2 Nr. 3 SGB VIII, um die Erstattung der tatsächlichen Kosten handelt. D. h. auch ein über den erstattungsfähigen Jahresbeitrag hinausgehender Betrag ist vollständig zu erstatten.

Hinweise zum Thema Erste Hilfe finden Sie hier.

  1. Rentenversicherung

Kindertagespflegepersonen, die Kindertagespflege gemäß § 3 Abs. 3 SächsKitaG sowie § 23 SGB VIII anbieten, haben Anspruch auf Erstattung der hälftigen Beiträge zur Alterssicherung, wenn die Kosten als angemessen gelten. Diese Erstattung ist nach § 3 Nr. 9 EStG steuerfrei.

Maßstab für die Angemessenheit bildet der Beitragssatz der gesetzlichen Rentenversicherung (zum Urteil). Den aktuell erstattungsfähigen Jahresbeitrag finden Sie unter Download der aktualisierten Versicherungsbeiträge).

Auch private Vorsorge ist unter Umständen nach individueller Entscheidung teilweise erstattungsfähig. Hier empfiehlt der Sächsische Städte- und Gemeindetag pro betreutem Kind eine Beteiligung von 20 Euro (zu den Empfehlungen zur laufenden Geldleistung für Kindertagespflege). Unter bestimmten Umständen kann auch eine Lebensversicherung angemessen sein (zum Urteil). 3.1 Rentenversicherung bei selbständiger Tätigkeit 3.1.1 Rentenversicherung bei selbständiger Tätigkeit mit zu versteuerndem Einkommen von über 400,00€

Selbständig tätige (öffentlich geförderte und private) KTPP haben gemäß § 2 Satz 1 Nr. 1 SGB VI eine Versicherungspflicht in der gesetzlichen Rentenversicherung, wenn sie im Zusammenhang mit ihrer Tätigkeit als KTPP keinen versicherungspflichtigen Arbeitnehmer beschäftigen.

Innerhalb von 3 Monaten muss eine Anmeldung bei der gesetzlichen Rentenversicherung erfolgen.

Beiträge werden in Höhe des Regelbetrages (2016: monatlich 543,24 € alte Bundesländer, 471,24 € neue Bundesländer) erhoben. Bei Nachweis des tatsächlichen Einkommens kann eine einkommensgerechte Beitragsbemessung beantragt werden.

3.1.2 Rentenversicherung bei selbständiger Tätigkeit mit zu versteuerndem Einkommen von 400,00€ und weniger

Es besteht keine Versicherungspflicht in der gesetzlichen Rentenversicherung. Jedoch ist eine freiwillige Versicherung in der gesetzlichen Rentenversicherung sowie eine private Absicherung möglich. Bei Angemessenheit der Beitragshöhe sowie der Art der Alterssicherung ist eine hälftige Erstattung der Kosten gemäß § 23 Abs. 2 Nr. 3 SGB VIII möglich.

3.2 Rentenversicherung der KTPP bei Tätigkeit im Anstellungsverhältnis

KTPP innerhalb eines Anstellungsverhältnisses haben gemäß § 2 Satz 1 Nr. 1 SGB VI eine Versicherungspflicht in der gesetzlichen Rentenversicherung. Entsprechend der Höhe des Verdienstes übernehmen Arbeitgeber und Angestellte(r) (KTPP) je zur Hälfte die Beiträge der gesetzlichen Rentenversicherung bzw. bei geringfügiger Beschäftigung (bis 400,00 €) wird der Rentenversicherungsbeitrag allein durch den Arbeitgeber als Pauschale beglichen.

  1. Kranken-/Pflegeversicherung

Eine KTPP gilt gemäß § 10 SGB V sowie § 240 SGB V als nicht hauptberuflich selbständig tätige Person. Weiterführende Hinweise zu dieser Sonderregelung für Kindertagespflegepersonen finden Sie hier.

KTPP haben die Möglichkeit in der gesetzlichen Krankenversicherung über ihren Ehepartner einer Familienversicherung beizutreten. Für Mitglieder einer Familienversicherung gelten monatliche Einkommenshöchstgrenzen.

Weiterhin besteht die Möglichkeit sich freiwillig zu versichern. Maßgeblich für die Beitragshöhe ist die Höhe des steuerrechtlichen Gewinns bzw. der Einkünfte. KTPP die gemäß § 23 SGB VIII bzw. § 3 Abs. 3 SächsKitaG tätig sind haben Anspruch auf Erstattung der hälftigen Beiträge zur Pflege- und Krankenversicherung. KTPP haben kein Anrecht auf Krankengeld, außer es besteht eine freiwillige Absicherung, zu welcher der öffentliche Träger der Jugendhilfe einen angemessenen Beitrag gemäß § 23 Abs. 2 Nr. 4 SGB VIII erstatten muss, ist die KTPP nach § 23 SGB VIII bzw. § 3 Abs. 3 SächsKitaG tätig. Diese Erstattungen sind steuerfrei.

Den aktuell erstattungsfähigen Jahresbeitrag finden Sie unter Download der aktualisierten Versicherungsbeiträge.

Ein Urteil zur hälftigen Erstattung der Beiträge zur Krankenversicherung finden Sie hier.

Hinweise zum Krankversicherungsstatus von Kindertagespflegepersonen finden Sie hier.

  1. Arbeitslosenversicherung

Gemäß § 28a SBG III ist es möglich, als selbständig tätige Person bei einer Wochenarbeitszeit von mind. 15 Stunden einen Antrag auf eine Freiwillige Weiterversicherung gegen Arbeitslosigkeit (Versicherungspflichtverhältnis auf Antrag - selbständige Tätigkeit -) bei der Bundesagentur für Arbeit zu stellen.

Den aktuell erstattungsfähigen Jahresbeitrag finden Sie unter Download der aktualisierten Versicherungsbeiträge

  1. Berufshaftpflichtversicherung

Jede Gemeinde ist beim Kommunalen Schadensausgleich versichert. D. h. alle öffentlich geförderten Betreuungsverhältnisse sind in diesem Rahmen mitversichert.

Für Schäden die innerhalb der Tätigkeit als KTPP geschehen, trägt die private Haftpflichtversicherung kein Risiko, hierfür ist es empfohlen, eine Berufshaftpflichtversicherung abzuschließen. Bei dem zuständigen Jugendamt kann erfragt werden, ob eine Sammelhaftpflichtversicherung angeboten wird. Findet die Tagespflege nicht im Haushalt der Eltern oder der KTPP statt kann eine Betriebshaftpflichtversicherung notwendig werden.

V - Vertrags- & Kündigungsrecht

Tagespflegepersonen haben ein nachvollziehbares Interesse an einer möglichst optimalen Auslastung ihrer Einrichtung, um finanzielle Verluste infolge Minderauslastung zu vermeiden bzw. gering zu halten. Oft verwenden Tagespflegepersonen im Betreuungsvertrag bezüglich der Vertragslaufzeit eine Formulierung, „bis zur Vollendung des 3. Lebensjahres“ oder „bis zum Eintritt in den Kindergarten“. Beide Formulierungen können durchaus problematisch sein und zu einer vorzeitigen Auflösungsmöglichkeit durch die sorgeberechtigten Eltern führen. Die nachfolgenden Erörterungen sollen verdeutlichen, wo Schwächen derartiger Vertragsklauseln liegen können.

Der Betreuungsvertrag, der zwischen den Eltern und der Tagespflegeperson geschlossen wird, ist rechtlich gesehen ein Dienstvertrag nach § 611 BGB. Demzufolge richtet sich die rechtliche Beurteilung einer Befristung ebenfalls nach den Regelungen des Dienstvertrages. Der Gesetzgeber nennt in § 620 Abs. 1 BGB zunächst keine Einschränkung einer Befristung. So formuliert er in der genannten Vorschrift, dass das Dienstverhältnis mit dem Ablauf der Zeit endet, für die es eingegangen ist. Daraus könnte man schlussfolgern, dass eine zeitliche Befristung problemlos möglich ist.

Allerdings sind neben den gesetzlichen Regelungen des Dienstvertrages auch die Regelungen über die Allgemeinen Geschäftsbedingungen nach §§ 305 ff. BGB zu beachten. Ein Betreuungsvertrag, den die Tagespflegeperson verwendet, gilt als allgemeine Geschäftsbedingung, weil eine mehrfache Verwendung geplant ist und die selbständig tätige Tagespflegeperson rechtlich als „Verwender“ angesehen wird. Für Befristungen von Verträgen ist damit auch die Vorschrift von § 309 Nr. 9 a) BGB einschlägig. Eine länger als zwei Jahre bindende Vertragslaufzeit ist danach unwirksam. Für Kinder, die noch jünger als ein Jahr sind, wenn sie zur Tagespflegeperson kommen und die oben genannte Formulierung verwendet wird, bedeutet das, dass es sich um eine Befristung von länger als zwei Jahren handelt. In diesem Fall ist diese Klausel unwirksam. Für den Fall der Unwirksamkeit ordnet § 306 BGB an, dass dann die normalen gesetzlichen Regelungen gelten.

Das ist für die Tagespflegepersonen besonders misslich, denn dann können die Eltern den Betreuungsvertrag entsprechend § 621 Nr. 3 BGB spätestens am 15. eines Kalendermonats zum Ende des Monats kündigen, was eine zweiwöchigen Frist zum Monatsende bedeutet. Daher ist in Konstellationen, bei Kindern unter einem Jahr von einer Befristung bis zum dritten Lebensjahr auf jeden Fall abzuraten. Allenfalls in Kombination mit normalen Kündigungsfristen sollten derartige Klauseln verwendet werden.

Aber auch in den Konstellationen, in denen die Kinder das erste Lebensjahr schon vollendet haben, wenn sie zur Tagespflege kommen, ist eine Befristung, dann also für weniger als zwei Jahre, nicht ohne Risiken für die Tagespflegepersonen, wenn sie nicht noch zusätzlich eine fristgemäße Kündigung einräumen. Denn es gilt eine sogenannte Generalklausel in § 307 BGB, die besagt, dass bei einer unangemessenen Benachteiligung einer Partei, die fragliche Klausel unwirksam ist.

So wäre es denkbar, eine zweijährige Bindungsfrist im Rahmen eines Betreuungsvertrages könnte eine solche Benachteiligung darstellen, da auch die Befindlichkeiten der betreuten Kinder berücksichtigt werden müssen. Fühlen sie sich, aus welchen Gründen auch immer, in der Tagespflege nicht wohl, muss es eine Möglichkeit der Vertragsauflösung geben. Daher sollte stets eine ordentliche Kündigungsmöglichkeit eingeräumt werden.

Für die ordentliche, auch fristgerechte Kündigung genannt, stellt sich die Frage nach der Dauer der Kündigungsfrist. Die Kündigungsfrist sollte keinesfalls länger als drei Monate sein. Für beide Vertragsparteien scheint eine Kündigungsfrist von zwei Monaten angemessen. So hat die Tagespflegeperson die Möglichkeit, den Platz anderweitig zu besetzen. Eltern, die den Wunsch haben, den Betreuungsvertrag zu beenden, müssen sich noch eine überschaubare Zeit mit der Tagespflegeperson arrangieren. Eine einmonatige Frist, auf die manche Kommunen regelwidrig in den Betreuungsverträgen geregelt haben wollen, ist für die Tagespflegeperson deutlich zu kurz bemessen, um den freien Platz anderweitig zu vergeben.

Sind beide Vertragsparteien sich einig, kann in einem Aufhebungsvertrag auch einvernehmlich auf vertraglich vereinbarte Kündigungsfristen verzichtet werden. In der Praxis liegt bei einem einseitigen Auflösungswunsch einer Vertragspartei allerdings meist keine Bereitschaft zum Abschluss eines Aufhebungsvertrages vor. Befristungen in Verträgen sollten daher immer nur im Zusammenhang mit einer regulären Kündigungsmöglichkeit geregelt werden.

(Autorin: Frau Prof. Beate Naake - Evangelische Hochschule Dresden )

V - Vertretung

Damit Kinder auch in Ausfallzeiten der vertrauten Kindertagespflegeperson (KTPP) sicher und gut betreut werden, ist es wichtig, dass jede KTPP in ein funktionierendes Vertretungssystem eingebunden ist. Hierbei sollte beachtet werden, dass den Eltern und vor allem den Kindern die Ersatzbetreuungsperson vertraut ist und es möglich war, bereits im Vorfeld eine Beziehung zu dieser Person aufzubauen. Hierfür bedarf es einer intensiven Eingewöhnung.

Um Vertretungszeiten möglichst gering zu halten, sollten Urlaubszeiten und andere planbare Ausfallzeiten rechtzeitig mit den Eltern abgestimmt werden, so dass eine Ersatzbetreuung bestenfalls nur für kurzfristige, unvorhersehbare Ausfallzeiten genutzt werden muss.

Das Erheben eines zusätzlichen Elternbeitrages für die Ersatzbetreuung ist rechtlich nicht zulässig.

Wird Kindertagespflege (KTP) nach § 3 SächsKitaG angeboten handelt es sich um ein kommunales Angebot. Die Verantwortung für die Bereitstellung einer Vertretung sowie deren Finanzierung trägt die Kommune in Abstimmung mit dem Jugendamt.

Wird KTP nach § 23 SGB VIII - und nicht nach SächsiKitaG finanziert - angeboten, trägt der örtliche Träger der öffentlichen Jugendhilfe (Jugendamt) die Verantwortung für die Bereitstellung einer Vertretung sowie deren Finanzierung. Die Betreuung von Kindern einer zugelassenen KTPP durch eine nicht zugelassene Ersatzperson, in deren Abwesenheit, gilt als nicht gesetzeskonform und kann den fristlosen Entzug der Zulassung zur Folge haben.

Die Ausfallzeiten von KTPP sollten bereits in der Bedarfsplanung gemäß § 8 SächsKitaG berücksichtigt werden.

Weiterhin ist zu beachten, dass der Vertretungsperson die Geeignetheit für die Tätigkeit vom örtlichen Träger der öffentlichen Jugendhilfe (Jugendamt) bestätigt wurde. Dies erfolgt mittels Eignungsbescheid. Vertretungspersonen müssen immer vom Jugendamt zugelassen sein, ausgenommen davon sind Notfallsituationen.

Bild_Broschuere_Vertretung

Weitere Informationen zum Thema Vertretung (Vertretungsregelungen/-systeme) finden Sie in der Broschüre der Informations- und Koordinierungsstelle Kindertagespflege in Sachsen (IKS) "Vertretung in der Kindertagespflege. Grundlagen und Ansätze – eine sächsische Arbeitshilfe"

Sowie in der Handreichung des DJI zum Thema Vertretung in der Kindertagespflege. Diese finden Sie hier.

Hinweise zur steuerrechtlichen Behandlung von Freihalteplätzen finden Sie hier. Weiterhin finden Sie ein ergänzendes Schreiben des Sächsischen Staatsministerium für Kultus hier sowie ein dazugehöriges Rechenbeispiel hier.

Eine Arbeitshilfe der IKS für Sachsen

Jede Kommune ist gesetzlich verpflichtet, eine belastbare Vertretungslösung für die Kindertagespflege vorzuhalten und zu finanzieren. Die Arbeitshilfe gibt einen Überblick über rechtliche Grundlagen, Finanzierungsaspekte, Vertretungsmodelle und mittels Praxisbeispiel, Hinweise zum Abruf von Bundesmitteln.

Download Arbeitshilfe

V - Videodokumentation

Die IKS empfiehlt zur Beobachtung, Dokumentation und Auswertung die MarteMeo-Methode.

„Ein Bild sagt mehr als 1000 Worte – bewegte Bilder sagen ein Vielfaches davon.“

Marte Meo basiert auf der starken Kraft der Bilder. Mit Hilfe von Videoaufnahmen werden konkrete, alltagsnahe Handlungsweisen im Umgang von pädagogischen Fachkräften mit Kindern kleinschrittig beobachtet und ausgewertet. Anhand dieser Momentaufnahmen werden wirksame Gelegenheiten zur Unterstützung emotionaler und sozialer Fähigkeiten sichtbar und erfahrbar gemacht. Sie bilden die Grundlage für Beziehung, Bindung und somit für Bildung.

Lesen Sie hier eine Ausgabe des MarteMeo-Magazins zum Thema "Was braucht das Kind für die Welt von morgen?"

Vorschau%20MarteMeoMagazin

V - Viernickel, S.; Nentwig-Gesemann, I.; Nicolai, K.; Schwarz, S.; Zenker, L.:
Titel: Schlüssel zu guter Bildung, Erziehung und Betreuung – Bildungsaufgaben, Zeitkontingente und strukturelle Rahmenbedingungen in Kindertageseinrichtungen
Autor: Susanne Viernickel, Iris Nentwig-Gesemann, Katharina Nicolai, Stefanie Schwarz, Luise Zenker
Quellenangabe: Viernickel, S.; Nentwig-Gesemann, I.; Nicolai, K.; Schwarz, S.; Zenker, L. (2013): Schlüssel zu guter Bildung, Erziehung und Betreuung – Bildungsaufgaben, Zeitkontingente und strukturelle Rahmenbedingungen in Kindertageseinrichtungen – 1. Aufl., Berlin: Der Paritätische Gesamtverband, Diakonie Deutschland – Evangelischer Bundesverband, Gewerkschaft Erziehung und Wissenschaft.
Herausgeber: Der Paritätische Gesamtverband, Diakonie Deutschland – Evangelischer Bundesverband, Gewerkschaft Erziehung und Wissenschaft
Hinweis: Die Erstellung der Expertise wurde durch die Aktion Mensch gefördert.
Bild_GEW_Bildung Der Forschungsverbund untersuchte seit 2007 in Zusammenarbeit mit Wissenschaftler(inne)n der Alice Salomon Hochschule Berlin die Bedingungen für Kinder und pädagogische Fachkräfte in Deutschland. Ziel ist, die Bedingungen zu verbessern und mehr Transparenz in der Debatte um die Qualität in Kindertageseinrichtungen zu erhalten. Mit einer quantitativen und qualitativen Befragung von Fachkräften, öffentlichen und freien Trägern aus dem gesamten Bundesgebiet macht der vorliegende Bericht nunmehr wissenschaftlich fundierte Aussagen zu den Bildungsaufgaben, Zeitkontingenten und den vorhandenen strukturellen Rahmenbedingungen in Kindertageseinrichtungen.

Die Studie als Download finden Sie hier.

V - Vollzeitpflege vs. Kindertagespflege
Anfrage
Ausgangssituation:
  • Kindertagespflegeperson (KTPP) möchte ein Pflegekind aufnehmen
Anfrage:

Gibt es Ausschlusskriterien für die Aufnahme eines Pflegekindes in eine Familie und die gleichzeitige Ausübung von Kindertagespflege (KTP)?

Antwort:

Im Wesentlichen gibt es keine Ausschlusskriterien für die Aufnahme eines Pflegekindes in eine Familie und die gleichzeitige Ausübung von KTP.

Im Frankfurter Kommentar von Johannes Mündern zum SGB VIII wird diesbezüglich folgendes pointiert: „Abs.3 Satz 1 begrenzt die Betreuungsbefugnis auf max. fünf ‚fremde‘ Kinder. Leibliche und Adoptivkinder zählen nicht mit. Kinder in Vollzeitpflege, die bei der Kindertagespflegeperson leben, zählen ebenfalls nicht mit.“

In Berlin und Bremen beispielsweise wird die KTP institutionell von einem Pflege- und Kindertagespflegebüro koordiniert.

Beispiele:

  • BIP Bremen: https://www.pib-bremen.de/
  • Familien für Kinder Berlin: https://www.familien-fuer-kinder.de/

    Grundsätzlich sind das Pflegewesen und die KTP voneinander zu trennen. Das Pflegekind wird privat in die Familie der TagesEltern aufgenommen. Die Pflegeeltern müssen unabhängig von dieser Pflege, die Möglichkeit haben, einer Erwerbstätigkeit nachzukommen.

Im konkreten Fall übt die Person X die Tätigkeit einer KTPP aus und ist privat eine Pflegemutter bzw. ein Pflegevater.

Zu Beraten sind in diesen Fällen u.a.:

  • Wie alt ist das Pflegekind?
  • Welchen Bedarf hat das Pflegekind?
  • Wie gestaltet die KTPP den Prozess der Aufnahme des Pflegekindes in ihre Familie und die Weiterführung ihrer KTP-Stelle?
  • Führt die Aufnahme des Pflegekindes zu Veränderungen im Ablauf in der KTP-Stelle?

Diese und andere Fragen können ganz sicher unterstützend zwischen KTPP und Fachberater:in beraten werden.

V - Vor- und Nachbereitungszeit

Mit der Änderungen des SächsKitaG durch Artikel 22 des Haushaltsbegleitgesetz 2019/2020 tritt die Regelung zur Finanzierung der Vor- und Nachbereitungszeit in Kindertagespflege, Krippe, Kita und Hort ab dem 1. Juni 2019 in Kraft.

Gemäß § 12 Absatz 4 SächsKitaG in der ab 1. Juni 2019 geltenden Fassung des SächsKitaG ist Kindertagespflegepersonen für mittelbare pädagogische Tätigkeiten eine halbe Stunde je aufgenommenes Kind und Woche zu finanzieren. Gemäß der ab 1. Juni 2019 geltenden Regelung in § 14 Absatz 6 Satz 4 SächsKitaG haben Kindertagespflegepersonen ab diesen Zeitpunkt einen Anspruch auf einen „zusätzlichen monatlichen Betrag in Höhe eines Zwölftels des in § 18 Absatz 3 SächsKitaG genannten Betrages“. Das heißt, sie erhalten zu ihrer bisherigen laufenden Geldleistung einen zusätzlichen Betrag in Höhe von 1/12 von 420 Euro, also 35 Euro, pro aufgenommenes Kind und Monat.

Mit der gewählten Formulierung wird zum Ausdruck gebracht, dass der Anspruch der Kindertagespflegeperson auf diesen zusätzlichen Betrag immer dann besteht, wenn sie Kinder betreut, und unabhängig davon ist, ob der zusätzliche Landeszuschuss nach § 18 Absatz 3 SaechsKitaG bereits tatsächlich gezahlt wird. Sofern die Gemeinde noch keinen Landeszuschuss erhält, wäre dieser Betrag aus kommunalen Mitteln zu finanzieren. Die Finanzierung für die mittelbaren pädagogischen Tätigkeiten ist an die tatsächliche Betreuungsleistung geknüpft, die Betreuungsstunden sind jedoch unerheblich. Eine Kindertagespflegeperson hat Anspruch auf diesen zusätzlichen monatlichen Betrag, unabhängig davon, ob sie ein Kind für vier oder neun Stunden am Tag betreut. Die zusätzliche Finanzierung sollte diejenige Kindertagespflegeperson erhalten, die das Kind tatsächlich betreut, im Vertretungsfall also oder die Ersatzkindertagespflegeperson. Denn Grundlage für die Bemessung des zusätzlichen Landeszuschusses nach § 18 Absatz 3 SaechsKitaG sind die in Kindertagespflege aufgenommenen Kinder. Bei Ausfallzeiten der Kindertagespflegeperson wäre zum Beispiel eine anteilige Kürzung des Monatsbetrages pro Betreuungstag um jeweils 1/20 denkbar. Dementsprechend würde die Ersatzkindertagespflegeperson taganteilig 1/20 des Monatsbetrages im Falle der tatsächlichen Ersatzbetreuung erhalten. Andere gemeindliche Regelungen sind selbstverständlich möglich.

Die Gemeinden erhalten vom Land einen zusätzlichen jährlichen Landeszuschuss zur Finanzierung der mittelbaren pädagogischen Tätigkeiten der Kindertagespflegeperson für jedes in Kindertagespflege aufgenommene Kind in Höhe von 420 Euro. Dieser Betrag ist an die Kindertagespflegeperson monatsanteilig weiterzureichen

Da der zusätzliche monatliche Betrag für mittelbare pädagogische Tätigkeiten Bestandteil der Finanzierung der Kindertagespflegepersonen ist, wäre die Finanzierungsvereinbarung zwischen Gemeinde und Kindertagespflegeperson entsprechend anzupassen.

Download der Erläuterungen des SMK:

Erläuterungen der Änderungen im SächsKitaG durch Artikel 22HBG (Stand Februar 2019)

"Erläuterungen zur Umsetzung und Finanzierung der mittelbaren pädagogischen Tätigkeiten in der Kindertagespflege"(Stand Juni 2019)

Das SächsKitaG finden Sie hier.

V - Voraussetzungen (inkl. räumliche Anforderungen)
Eignungs- und Erlaubniserteilung

Um eine Eignung als Kindertagespflegeperson (KTPP) zu erhalten, bedarf es der Erfüllung persönlicher, gesundheitlicher und fachlicher Voraussetzungen. Zur Erteilung einer Erlaubnis sind zu dem kindgerechte Räumlichkeiten vorzuweisen.

Gemäß § 43 Abs. 1 SGB VIII bedarf eine Person, die ein Kind oder mehrere Kinder außerhalb des Haushalts des Erziehungsberechtigten während eines Teils des Tages und mehr als 15 Stunden wöchentlich gegen Entgelt länger als drei Monate betreuen will, der Erlaubnis, unabhängig davon, wie die Finanzierung erfolgt (privat/öffentliche Mittel).

Bild_Grafik_Erlaubniserteilung1

Eine Grafik zum Verfahren der Eignungs- und Erlaubniserteilung finden Sie hier. Ausführliche Hinweise zu den einzelnen Stufen der Grafik (Voraussetzungen) finden Sie in Kapitel 2 der Qualitätskriterien für die Kindertagespflege im Freistaat Sachsen.

Räumliche Anforderungen

Die Betreuung der Kinder kann im Haushalt der Eltern, im Haushalt der Kindertagespflegeperson (KTPP) oder mit Zustimmung der Gemeinde und des örtlichen Trägers der öffentlichen Jugendhilfe in angemieteten Räumen erfolgen.

Für KTP (Kindertagespflege) die im Haushalt der Eltern stattfindet, können keine räumlichen Anforderungen definiert werden. Findet KTP im Haushalt der KTPP oder in angemieteten Räumen statt, müssen diese entsprechend § 23 Abs. 3 SGB VIII sowie § 43 Abs. 2 Satz 2 SGB VIII kindgerecht sein.

Da es sich bei der KTP um ein familiennahes Betreuungsangebot handelt, können räumliche Regelungen der institutionellen Betreuung in Krippe und Kindergarten nicht 1: 1 auf die KTP angewandt werden. In der KTP ist der Haushalt der Bildungsort. Findet KTP im Haushalt der KTPP statt, ist dieser außerdem Lebens- und Gestaltungsraum der KTPP und deren Familie.

Es sollte ein Raumkonzept (welches Teil der Gesamtkonzeption sein kann) vorhanden sein welches veranschaulicht, dass den Kindern in den Räumen eine selbständige Erforschung und Erkundung möglich ist und die Raumgestaltung auf die Bedürfnisse der Kinder abgestimmt ist. Der Raum ist an die Bedürfnisse, Fähigkeiten und Grenzen der Kinder anzupassen. Der Raum soll Geborgenheit sowie Impuls für Herausforderung und Aktivität bieten. Dabei ist es wichtig, dass die Gestaltung des Raumes die Selbständigkeit der Kinder unterstützt.

Tip_Raumgestaltung2

Bild_Checkliste_Raum Eine Checkliste zu den Anforderungen an die Raumgestaltung finden Sie hier.

Bild_DGUV_Information Der Unfallversicherungsträger gibt mit seiner Broschüre "Kindertagespflege - damit es allen gut geht" eine Übersicht an Hinweisen, zur sicheren Raumgestaltung. Sie finden diese hier.

Das_sichere_Haus1 Die Broschüre "Kinder sicher betreuen. Informationen für Tagesmütter und Tagesväter." der Aktion DAS SICHERE HAUS finden Sie hier.

Informationen zur Raumgestaltung können Sie zu dem in den Qualitätskriterien für die Kindertagespflege im Freistaat Sachsen (Kap. 2.3) sowie dem Sächsischen Bildungsplan entnehmen.

V - Vorsorge

Kindertagespflegepersonen, die Kindertagespflege gemäß § 3 Abs. 3 SächsKitaG sowie § 23 SGB VIII anbieten, haben Anspruch auf Erstattung der hälftigen Beiträge zur Alterssicherung, wenn die Kosten als angemessen gelten. Diese Erstattung ist nach § 3 Nr. 9 EStG steuerfrei.

Maßstab für die Angemessenheit bildet der Beitragssatz der gesetzlichen Rentenversicherung (zum Urteil. Den aktuell erstattungsfähigen Jahresbeitrag finden Sie hier).

Auch private Vorsorge ist unter Umständen nach individueller Entscheidung teilweise erstattungsfähig. Hier empfiehlt der Sächsische Städte- und Gemeindetag pro betreutem Kind eine Beteiligung von 20 Euro (zu den Empfehlungen zur laufenden Geldleistung für Kindertagespflege). Unter bestimmten Umständen kann auch eine Lebensversicherung angemessen sein (zum Urteil).

Rentenversicherung bei selbständiger Tätigkeit mit zu versteuerndem Einkommen von über 400,00€

Selbständig tätige (öffentlich geförderte und private) KTPP haben gemäß § 2 Satz 1 Nr. 1 SGB VI eine Versicherungspflicht in der gesetzlichen Rentenversicherung, wenn sie im Zusammenhang mit ihrer Tätigkeit als KTPP keinen versicherungspflichtigen Arbeitnehmer beschäftigen.

Innerhalb von 3 Monaten muss eine Anmeldung bei der gesetzlichen Rentenversicherung erfolgen.

Beiträge werden in Höhe des Regelbetrages (2016: monatlich 543,24 € alte Bundesländer, 471,24 € neue Bundesländer) erhoben. Bei Nachweis des tatsächlichen Einkommens kann eine einkommensgerechte Beitragsbemessung beantragt werden.

Rentenversicherung bei selbständiger Tätigkeit mit zu versteuerndem Einkommen von 400,00€ und weniger

Es besteht keine Versicherungspflicht in der gesetzlichen Rentenversicherung. Jedoch ist eine freiwillige Versicherung in der gesetzlichen Rentenversicherung sowie eine private Absicherung möglich. Bei Angemessenheit der Beitragshöhe sowie der Art der Alterssicherung ist eine hälftige Erstattung der Kosten gemäß § 23 Abs. 2 Nr. 3 SGB VIII möglich.

Rentenversicherung der KTPP bei Tätigkeit im Anstellungsverhältnis

KTPP innerhalb eines Anstellungsverhältnisses haben gemäß § 2 Satz 1 Nr. 1 SGB VI eine Versicherungspflicht in der gesetzlichen Rentenversicherung. Entsprechend der Höhe des Verdienstes übernehmen Arbeitgeber und Angestellte(r) (KTPP) je zur Hälfte die Beiträge der gesetzlichen Rentenversicherung bzw. bei geringfügiger Beschäftigung (bis 400,00 €) wird der Rentenversicherungsbeitrag allein durch den Arbeitgeber als Pauschale beglichen.

Verantwortlichkeiten

Bei Anstellung bei einem Träger/Arbeitgeber liegt die Verantwortung u. a. für die Beitragszahlungen in die Rentenversicherung bei dem Arbeitgeber.

Bei selbstständiger Tätigkeit sorgt die Kindertagespflegeperson (KTPP) eigenständig für die Abschlüsse und Beitragszahlungen in die Pflichtversicherungen (u. a. Rentenversicherung).

Ausführliche Hinweise zu Versicherungen können sie in den "Fakten und Empfehlungen zu den Neuregelungen in der Kindertagespflege" nachlesen.

W
W - Weiterbildungsscheck - SAB-Förderung

Die Sächsische AufbauBank (SAB) fördert verschiedene Weiterbildungsmaßnahmen mittels Zuschüssen. Dafür stehen zwei verschiedene Fördermöglichkeiten zur Verfügung:

Weiterbildungsscheck – individuell Weiterbildungsscheck – betrieblich
richtet sich an Privatpersonen (u. a. Beschäftigte, Auszu-bildende, Wiedereinsteiger, Berufsrückkehrer), die sich mittels einer passenden Weiterbildung beruflich weiter-entwickeln möchten. richtet sich an sächsische Unternehmen mit weniger als 250 Mitarbeitern. Mit der Förderung können sowohl Unternehmer bzw. Selbst- ständige u.a. bei einer Maßnahme der betrieblichen Weiterbildung unterstützt werden.
Die Förderung erfolgt vorrangig an Arbeitnehmer. Die Förderung erfolgt vorrangig an Selbständige.
Link zum Flyer Link zum Flyer

Hier finden Sie eine Übersicht mit den wichtigsten Informationen zur SAB-Förderung.

W - Weiterbildungsstunden berechnen
Weiterbildungsstunden - Grundlage für die Berechnung

Eine Unterrichtseinheit entspricht 45 Minuten.

Nachlesen können Sie dies in den Qualitätskriterien für die Kindertagespflege im Freistaat Sachsen auf Seite 6 „In Anlehnung an § 4 der Verordnung des Sächsischen Staatsministeriums für Kultus zur Förderung der Weiterbildung (Weiterbildungsförderungsverordnung – WbFöVO) wird eine Unterrichtsstunde mit 45 Minuten angegeben“.

Das Sächsische Staatsministeriums für Kultus (SMK) sowie das Sächsische Staatsministeriums für Soziales und Verbraucherschutz (SMS, Landesjugendamt) bestätigen diese Aussage.

W - www.kita-bildungsserver.de

Der Sächsische Kita Bildungsserver hält für Sie weitere Informationen rund um das Themengebiet Kinderbetreuung unter www.kita-bildungsserver.de bereit:

  • Pädagogischen Themen
  • Weiterbildungen
  • Ansprechpartner
  • Aktuelles
Z
Z - Zubereitung von Speisen gemeinsam mit den Kindern

Essen und Trinken gehören zu den grundlegenden Bedürfnissen der Kinder. In der Vorbereitung, Durchführung und Nachbereitung der Mahlzeiten liegt ein besonderer Schatz der Kindertagespflege. Die kleine und überschaubare Gruppe bietet die Möglichkeit punkuell bspw. mit den Kindern einzukaufen oder Mahlzeiten gemeinsam vorzubereiten und so das Stillen der Grundbedürfnisse als natürliche Bildung zu erleben.

Das gemeinsames Zubereiten einer Mahlzeit und der Umgang mit Lebensmitteln bieten Kindern zahlreiche natürliche Lern- und Erfahrungsmöglichkeiten im Alltag der Kindertagespflege:

Somatische Bildung:

  • eigene Bedürfnisse kennenlernen (Was schmeckt mir? Wie schmeckt mir etwas?)
  • Feinmotorik
  • Esskultur erfahren
  • Aspekte gesunder Ernährung erleben

Soziale Bildung:

  • Gemeinschaft erleben und gemeinsam tätig sein

Kommunikative Bildung:

  • Austausch über Aufgabenverteilung, vorhandene Lebensmittel, eigene Wünsche etc.

Ästhetische Bildung:

  • Kennenlernen der Lebensmittel (Farbe, Konsistenz, Geruch, Geschmack etc.)

Naturwissenschaftliche Bildung:

  • Kennenlernen des Ursprungs der Lebensmittel (Was braucht es, damit Pfalnzen wachsen können? etc.)

Mathematische Bildung:

  • wiegen
  • zählen

Bei der Zubereitung von Speisen gemeinsam mit den Kindern sollte die Kindertagespflegeperson folgendes beachten, um einen hygienischen Umgang mit den Lebensmitteln sicherstellen zu können:

  • Sind die Kinder gesund?
  • Gibt es Verletzungen an den Händen der Kinder?
  • Haben die Kinder gereinigte Hände?
  • Wissen die Kinder, was im Umgang mit Lebensmitteln zu beachten ist (nicht anhusten etc.)
  • Haben die Kinder saubere und für den Umgang mit Lebensmitteln geeignete Kleidung (Schürze etc.) an?

Weitere Hinweise zum Umgang mit Lebensmittel finden Sie hier.